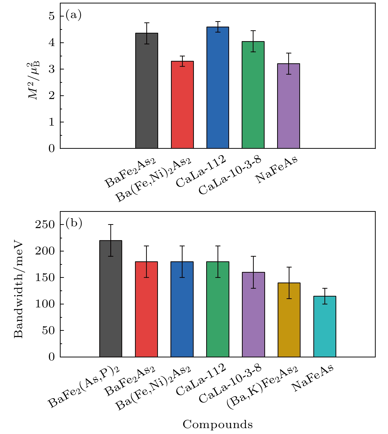
Spin fluctuations are often considered the most likely candidates for superconducting electron pairing media in unconventional superconductors. The iron-based superconductors provide a wide range of opportunities for studying the mechanism of unconventional superconductivity, as they have many systems with different structures and rich magnetisms. Taking the iron pnictide superconductors for example, this review summarizes the inelastic neutron scattering results of the spin excitation spectrum of iron-based superconductors, especially for their common features.Firstly, we introduce the direct connection between the low-energy spin excitations and superconductivity, which is so called the neutron spin resonance mode. This mode widely exists in the superconducting states of all iron-based superconductors, where the resonance energy ER is linearly proportional to the critical temperature Tc: ER = 4.9kBTc, and it has a universal c-axis preferred characteristic. The in-plane dispersion of spin resonance mode is not limited by the superconducting energy gap, which is in contrast to the traditional spin exciton model. The out-of plane dispersion of spin resonance mode is determined by the Fe-As interplanar distance, indicating that the three-dimensional spin correlation effect cannot be ignored, which may be the key to clarifying the role of spin fluctuations in superconductivity.Secondly, we summarize the energy dispersion, intensity distribution, and total fluctuating moment for high energy spin excitations. Although the Heisenberg model can roughly describe the similar dispersions in different systems based on the anisotropic in-plane nearest neighbor effective exchange couplings and the similar second nearest neighbor effective exchange coupling, the correlated Hubbard model based on itinerant magnetism can more accurately describe the spin wave behavior after degeneracy, thus the spin excitations are more likely to be understood from the perspective of itinerant magnetism. The spin excitation intensity varies greatly with energy in different systems, indicating a competitive relationship between itinerant and localized magnetic interactions. However, the total fluctuating moments are generally the same, indicating that the effective spin S = 1/2. The spin excitation bandwidth is in a range of 100–200 meV, probably is correlated with the height of As away from the Fe-Fe plane.Finally, we make a comprehensive comparison of the spin excitations in iron-based superconductors and copper oxide superconductors. The spin excitation spectra of iron-based superconductors have much richer physics than cuprates, due to the complex physics of multiple orbitals, Fermi surfaces, and energy gaps. These phenomena lead to the diversity of spin excitations, especially the prominent three-dimensional spin correlation effect. This indicates that interlayer pairing and intra layer pairing driven by spin interactions are equally important and must be fully considered in microscopic theories of high-Tc superconductivity.