-
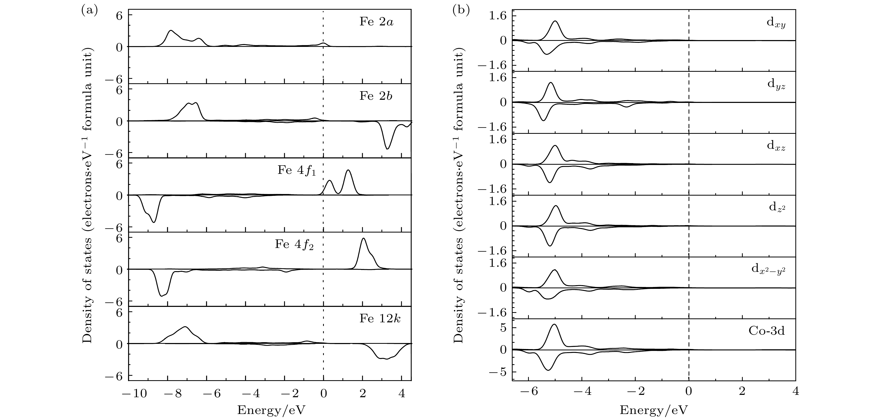
六角晶系磁铅石型(M型)锶铁氧体因其独特的磁性、介电性能和热稳定性, 在永磁材料领域备受关注. 但相比于稀土永磁Nd2Fe14B材料来说, M型锶铁氧体(SrFe12O19)永磁材料的综合磁性能较低, 这极大地限制了其使用范围. 本文基于密度泛函理论的第一性原理计算方法, 结合广义梯度近似(GGA+U), 系统研究了Ca-Co(Zn)共掺杂对M型锶铁氧体的电子结构、力学性能、导电性和磁性能的影响. 计算结果表明, Ca-Co(Zn)共掺杂SrFe12O19铁氧体均具有良好的结构稳定性和力学性能. Ca-Zn共掺杂可以使体系导电性增强, 这是因为二价Zn离子取代了4f1晶位的三价Fe离子. 同时, Ca-Co(Zn)共掺杂使体系的总磁矩增大, 磁晶各向异性能下降, 但相比于Co和Zn单掺杂体系, 磁晶各向异性能有所改善. 这表明, Ca-Co(Zn)共掺杂能够有效地提高M型锶铁氧体的磁性能, 并具备节约成本和环保的优点.M-type strontium ferrite has attracted widespread attention in the field of permanent magnet materials due to its unique magnetic properties, dielectric performance, and thermal stability. However, compared with rare-earth permanent magnets such as Nd2Fe14B, strontium ferrite (SrFe12O19) permanent magnets possess relatively low comprehensive magnetic properties, which limits their application range. The effects of Ca-Co (Zn) doping on the electronic structure, mechanical properties, and magnetic properties of M-type strontium ferrite are systematically investigated by first-principles plane-wave pseudopotential method based on density functional theory (DFT), combined with the generalized gradient approximation (GGA + U) in thiswork. The calculation results indicate that the Ca-Co (Zn) co-doped M-type strontium ferrite systems exhibit good structural stability and mechanical properties. In the Ca-Zn co-doped structures, the conductivity of the system is enhanced because of the substitution of divalent Zn ionsfortrivalent Fe ions at the 4f1 site. The Ca-Co (Zn) co-doping increases the total magnetic moment of the system, while the magnetocrystalline anisotropy energy decreases. However, compared with the single Codoped systemand singleZn doped system, theCo-Znco-doped systemhas themagnetocrystalline anisotropy energy improved, indicating that Ca-Co (Zn) co-doping can effectively enhance the magnetic properties of strontium ferrite. In thiswork, the mechanisms of the effects of Ca-Co and Ca-Zn co-doping on the magnetocrystalline anisotropy energy of strontium ferriteare also analyzed. The results indicate that the decrease ofmagnetocrystalline anisotropy energy in the Ca-Co co-doped system is mainly due to the effects of dxy and ${\mathrm{d}}_x^2 $-${_y} ^2 $ orbital electrons of Co3+ ion and dxy and ${\mathrm{d}}_x^2 $-${_y} ^2 $ orbital electrons of Fe ions at the 2b site. In the Ca-Zn co-doped system, the reduction is mainly influenced by Fe-3d orbitals at the 4f1 site, while the dxy and ${\mathrm{d}}_x^2 $-${_y} ^2 $ orbital electrons of the 2b site enhance the magnetocrystalline anisotropy energy of the system. These results provide theoretical guidance for modifyingM-type strontium ferritein future.
-
体系 a/Å c/Å c/a Sr铁氧体 5.85 23.09 3.94 Co-Sr铁氧体 5.84 23.05 3.95 Zn-Sr铁氧体 5.80 22.94 3.96 Ca-Co-Sr铁氧体 5.85 23.10 3.95 Ca-Zn-Sr铁氧体 5.81 22.94 3.95 体系 C11 C12 C13 C33 C44 B/GPa G/GPa B/G ν E/GPa Sr铁氧体 311 158 116 280 70 186 77 2.43 0.32 202 Co-Sr铁氧体 287 163 110 259 36 167 66 2.51 0.32 176 Zn-Sr铁氧体 363 168 133 280 73 205 82 2.50 0.32 217 Ca-Co-Sr铁氧体 456 103 179 159 107 188 80 2.37 0.32 208 Ca-Zn-Sr铁氧体 347 163 128 258 76 199 83 2.40 0.32 218 晶位 Co(4f2) Zn(4f1) Fe(2a) Fe(2b) Fe(4f1) Fe(4f2) Fe(12k) Total $ {\text{E}}_{\text{Sr}}^{\text{MAC}} $ — — 0.007 0.872 –0.086 –0.042 0.466 0.830 $ {\text{E}}_{\text{Co-Sr}}^{\text{MAC}} $ –2.377 — 0.010 0.406 –0.069 –0.084 0.067 0.257 $ {\text{E}}_{\text{Zn-Sr}}^{\text{MAC}} $ — 0.000 0.189 0.381 –1.031 –0.035 0.058 0.308 $ {\text{E}}_{\text{Ca-Co-Sr}}^{\text{MAC}} $ –2.329 — 0.001 0.397 –0.046 –0.081 0.058 0.370 $ {\text{E}}_{\text{Ca-Zn-Sr}}^{\text{MAC}} $ — –0.015 0.040 0.225 –0.280 –0.017 0.037 0.490 晶位 Fe(2a) Fe(2b) Fe(4f1) Fe(4f2) Fe(12k) Total p轨道 0.000 0.001 –0.002 –0.001 0.000 0.021 d轨道 0.001 0.015 –0.012 –0.010 0.011 0.113 总磁矩 0.001 0.016 –0.014 –0.011 0.011 0.135 晶位 Co(4f2) Fe(2a) Fe(2b) Fe(4f1) Fe(4f2) Fe(12k) Total p轨道 –0.001 0.000 0.001 –0.002 –0.001 0.000 0.015 d轨道 –0.033 0.012 0.015 –0.012 –0.010 0.011 0.096 总磁矩 –0.033 0.012 0.016 –0.014 –0.011 0.011 0.111 晶位 Zn(4f1) Fe(2a) Fe(2b) Fe(4f1) Fe(4f2) Fe(12k) Total p轨道 0.000 0.000 0.000 0.000 0.000 0.000 0.020 d轨道 0.000 0.011 0.015 –0.017 –0.012 0.011 0.099 总磁矩 –0.001 0.011 0.015 –0.017 –0.012 0.011 0.119 -
[1] [2] [3] [4] [5] [6] [7] [8] [9] [10] [11] [12] [13] [14] [15] [16] [17] [18] [19] [20] [21] [22] [23] [24] [25] [26] [27] [28] [29] [30] [31] [32] [33] [34] [35] [36] [37] [38] [39] [40] [41] [42] [43] [44] [45] [46] [47] [48] [49] [50]
计量
- 文章访问数: 274
- PDF下载量: 4
- 被引次数: 0








下载: