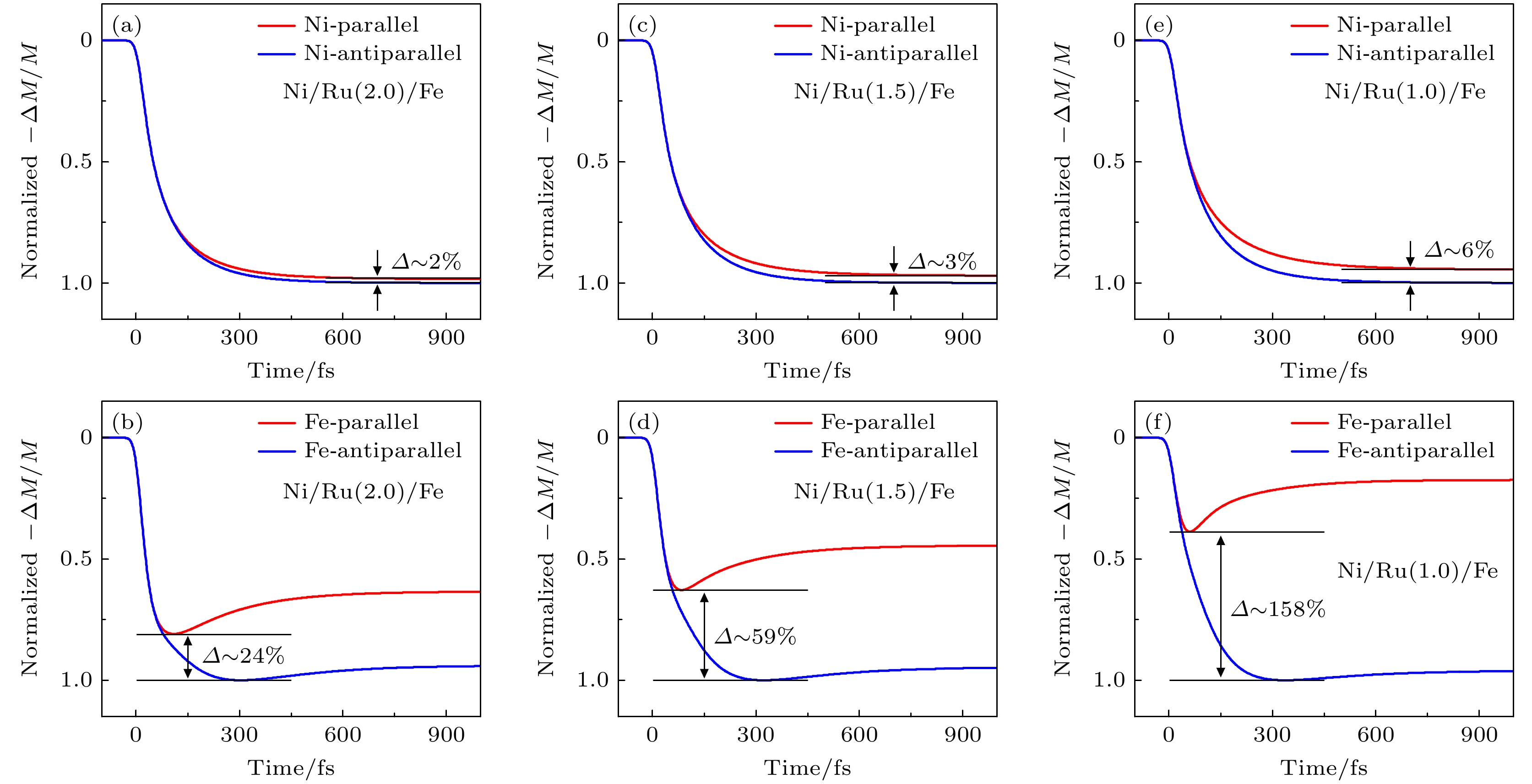
The discovery of ultrafast demagnetization has provided a new means for generating ultrafast spin currents by using an ultrashort laser, potentially enabling faster manipulation of material magnetism. This has sparked research on the transport mechanisms of ultrafast spin currents. However, the basic processes are still poorly understood, especially the factors influencing interlayer spin transfer. In this work, a superdiffusive spin transport model is used to investigate the ultrafast spin transport mechanism in the Ni/Ru/Fe spin valve system, with a particular focus on how interlayer spin transfer affects the ultrafast magnetization dynamics of the ferromagnetic layer. First, by calculating the laser-induced magnetization dynamics of the Ni/Ru/Fe system under different magnetization alignments, the recent experimental findings are validated. Further analysis shows that reducing the thickness of the Ru spacer layer will significantly enhance the spin current intensity and increase the demagnetization difference in the Fe layer, confirming the key role of the hot electron spin current generated by the Ni layer in interlayer spin transport. In addition, the spin decay length of hot electron spin currents in the spacer Ru layer is determined to be approximately 0.5 nm. This work also shows that laser-induced transient magnetization enhancement can be achieved by adjusting the relative laser absorption in the films. These results provide theoretical support for ultrafast magnetic control of future spin valve structures and contribute to the development of spintronics in high-speed information processing and storage applications.