-
双环完美涡旋光束(double-ring perfect vortex beam, DR-PVB)是由两个同心的完美涡旋光束(perfect vortex beam, PVB)叠加而成, 本文研究了DR-PVB在源平面的光强和相位分布及经过ABCD光学系统聚焦后的光强分布, 通过数值模拟可知聚焦后的DR-PVB产生的光斑数是两束PVB的拓扑荷之差绝对值的倍数. 在此基础上, 分析了聚焦DR-PVB对瑞利微粒的光辐射力, 研究表明聚焦后的DR-PVB可以同时俘获高折射率微粒和低折射率微粒. 此外, 改变DR-PVB的半径引起的光强分布的变化将导致光束对高低折射率粒子的俘获性能改变, 且俘获数量也会发生变化, 因此实际中可根据主要俘获对象来对光束半径组合进行灵活调整. 最后对微粒整体的受力进行分析, 并以此为依据判断微粒俘获的尺寸范围及俘获稳定性. 这一工作的结果为光学操纵领域提供了潜在的应用价值.The double-ring perfect vortex beam (DR-PVB) is generated through the superposition of two concentric perfect vortex beams (PVBs). In this work, firstly, the intensity and phase distribution of the DR-PVB in the source plane are studied. Secondly, based on the Huygens-Fresnel principle and the Collins formula, the intensity distribution of the DR-PVB after being focused by an ABCD optical system that includes a focusing lens is obtained. The results indicate that the intensity distribution of the focused beam is consistent with the interference pattern of two Bessel Gaussian beams. Furthermore, the number of spots in the focused intensity distribution is a multiple of the absolute value of the difference in topological charges between two PVBs. On the other hand, the overall size of the light beam can be adjusted by changing the focal length of the lens. Thirdly, the optical radiation force, exerted by the focused DR-PVB, on Rayleigh particles with different refractive indices, silica and bubbles, are analyzed, respectively. The results show that the focused DR-PVB can capture both high and low refractive index particles in water. In addition, by comparing the focused DR-PVBs under different radius combinations, it found that the light intensity distribution can be changed with the beam radius, which leads the position and quantity of the captured particles to change. This result provides a new idea for adjusting the capture of particles in future experiments. Finally, the gradient forces, scattering, and Brownian forces acting on the particles in the x, y, and z directions are analyzed, respectively. Based on our analysis, the condition for stable particle capture, where the gradient force must overcome the effects of Brownian motion and scattering forces, is established. Therefore, the theoretical size range of particles that can be captured by the focused DR-PVB is determined. Compared with other beams, such as Airy beams and Bessel beams, the focused DR-PVB can be modulated by changing the topological charges of the two PVBs, making it possible to capture multiple particles. These results have potential applications in optical manipulation.
[1] [2] [3] [4] [5] [6] [7] [8] [9] [10] [11] [12] [13] [14] [15] [16] [17] [18] [19] [20] [21] [22] [23] [24] [25] [26] [27] [28] [29] [30] [31] [32] [33] [34] -
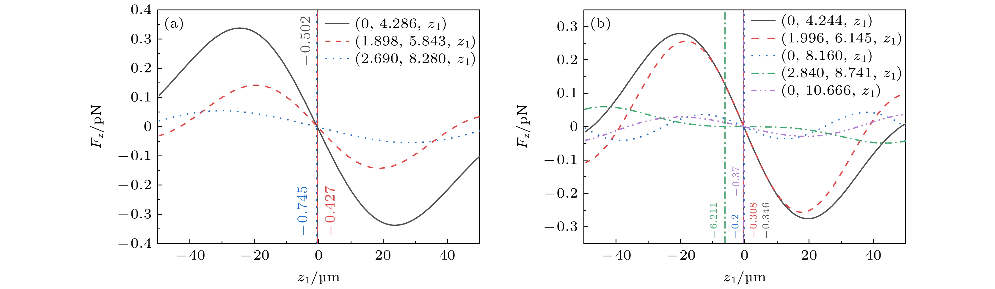
不同R组合 焦平面处光强极大值位置 R1 = 600 μm, R2 = 800 μm 第1组 (0, ±4.286, 0), (±2.519, ±3.467, 0), (±4.076, ±1.324, 0) 第2组 (±1.898, ±5.843, 0), (±4.97, ±3.611, 0), (±6.144, 0, 0) 第3组 (±2.69, ±8.27, 0), (±7.043, ±5.117, 0), (±8.706, 0, 0) R1 = 500 μm, R2 = 800 μm 第1组 (0, ±4.244, 0), (±2.494, ±3.433, 0), (±4.036, ±1.311, 0) 第2组 (±1.996, ±6.145, 0), (±5.227, ±3.798, 0), (±6.461, 0, 0) 第3组 (0, ±8.160, 0), (±4.796, ±6.601, 0), (±7.760, ±2.521, 0) 第4组 (±2.839, ±8.740, 0), (±7.435, ±5.401, 0), (±9.190, 0, 0) 第5组 (0, ±10.658, 0), (±10.136, ±3.293, 0), (±6.264, ±8.622, 0) 不同R组合 稳定俘获位置 R1 = 600 μm, R2 = 800 μm 第1组 (0, ±4.286, –0.502) (±2.519, ±3.467, –0.502) (±4.076, ±1.324, –0.502) 第2组 (±1.898, ±5.843, –0.427) (±4.97, ±3.611, –0.427) (±6.144, 0, –0.427) 第3组 (±2.69, ±8.27, –0.745) (±7.043, ±5.117, –0.745) (±8.706, 0, –0.745) R1 = 500 μm, R2 = 800 μm 第1组 (0, ±4.244, –0.346) (±2.49, ±3.43, –0.346) (±4.03, ±1.31, –0.346) 第2组 (±1.99, ±6.14, –0.308) (±5.22, ±3.79, –0.308) (±6.46, 0, –0.308) 第3组 (0, ±8.160, –0.2) (±4.796, ±6.601, –0.2) (±7.760, ±2.521, –0.2) 第4组 (0, ±10.658, –0.37) (±10.136, ±3.293, –0.37) (±6.264, ±8.622, –0.37) 不同R组合 焦平面处光强极小值位置 R1 = 600 μm, R2 = 800 μm 第1组 (±1.415, ±4.357, 0), (±3.706, ±2.693, 0), (±4.581, 0, 0) R1 = 500 μm, R2 = 800 μm 第1组 (±1.505, ±4.634, 0) (±3.942, ±2.864, 0) (±4.872, 0, 0) 第2组 (0, ±6.731, 0) (±3.956, ±5.445, 0) (±6.401, ±2.08, 0) 第3组 (±2.545, ±7.833, 0) (±6.663, ±4.840, 0) (±8.236, 0, 0) 第4组 (0, ±9.427, 0) (±5.541, ±7.627, 0) (±8.966, ±2.913, 0) 不同R组合 稳定俘获位置 R1 = 600 μm, R2 = 800 μm 第1组 (±1.415, ±4.357, 0) (±3.706, ±2.693, 0) (±4.581, 0, 0) R1 = 500 μm, R2 = 800 μm 第1组 (±1.505, ±4.634, 0) (±3.942, ±2.864, 0) (±4.872, 0, 0) 第2组 (0, ±6.731, –0.005) (±3.956, ±5.445, –0.005) (±6.401, ±2.08, –0.005) 第3组 (±2.545, ±7.833, –0.001) (±6.663, ±4.840, –0.001) (±8.236, 0, –0.001) 第4组 (0, ±9.427, 0) (±5.541, ±7.627, 0) (±8.966, ±2.913, 0) 不同半径组合对不同粒子的俘获半径范围 高折射率粒子 低折射率粒子 R1 = 600 μm, R2 = 800 μm 0.44 nm < a < 22.07 nm 0.50 nm < a < 23.35 nm R1 = 500 μm, R2 = 800 μm 0.47 nm < a < 23.53 nm 0.47 nm < a < 22.68 nm -
[1] [2] [3] [4] [5] [6] [7] [8] [9] [10] [11] [12] [13] [14] [15] [16] [17] [18] [19] [20] [21] [22] [23] [24] [25] [26] [27] [28] [29] [30] [31] [32] [33] [34]
计量
- 文章访问数: 875
- PDF下载量: 35
- 被引次数: 0








下载: