-
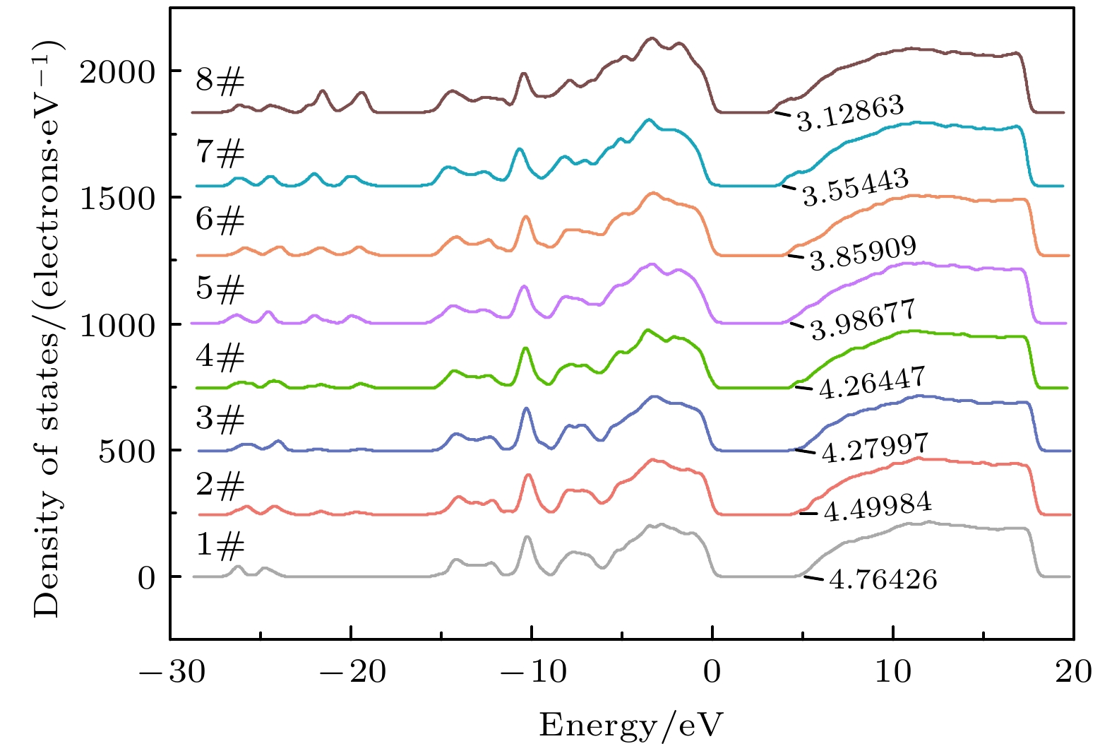
模拟分子的结构和行为有助于更深刻地分析电荷输运特性变化的微观机理. 本研究采用分子动力学模拟方法, 深入探究氢键对马来酸(MA)接枝聚丙烯(PP)/聚偏二氟乙烯(PVDF)复合体系分子结构演变与电荷输运特性的调控机制, 并对其分子间相互作用能、自由体积、电子态密度、电荷差分密度以及陷阱能级进行仿真分析. 研究结果表明: 随着MA接枝量的增加, 氢键数量显著增多. 当MA质量分数为36.22%时, 氢键数量达到20的峰值, 分子间相互作用能增至极大值2171.63 kcal·mol–1, 自由体积分布达到极小值16.03%, 此时分子内部结构最为紧密. 当MA质量分数为52.97%时, 复合材料的带隙达到极小值3.13 eV, 陷阱能级深度亦达到极大值3.06 eV, 此时PP/PVDF复合材料在氢键形成的区域显示出更高的电子密度积累, 电子逸出概率显著地降低. 至此, 模拟结果证实了氢键的作用不仅改变了材料的分子结构, 还通过改变局部电荷分布状态直接影响电荷输运特性, 为设计功能性高分子复合电介质材料提供了理论依据.Simulating molecular structures and dynamic behaviors presents critical insights into the microscopic mechanisms governing variations in charge transport properties. In this work, molecular dynamics (MD) simulations integrated with the Compass II force field and molecular modeling (including geometry optimization, annealing, and dynamic equilibration) are conducted to systematically analyze intermolecular interaction energy, free volume distribution, electronic density of states (DOS), charge differential density, and trap energy levels. aiming to unravel the regulatory role of hydrogen bonds in the structural evolution and charge transport dynamics of polypropylene (PP)/polyvinylidene fluoride (PVDF) composite systems. A quantitative framework is further established to correlate hydrogen bond density with key material performance metrics, such as free volume fraction, bandgap energy, and trap energy depth, thereby elucidating the hydrogen bond-mediated modulation of molecular architecture and charge transport behavior in PP/PVDF composites. Simulation results reveal a pronounced dependence of hydrogen bond formation on maleic acid (MA) grafting content. When the mass fraction of MA is 36.22%, the number of hydrogen bonds reaches a maximum value of 20, the intermolecular interaction energy increases to 2171.63 kcal·mol–1, and the free volume fraction reaches a minimum value of 16.03%. At this point, the internal structure of the molecule is most compact. When the mass fraction of MA increases to 52.97%, the band gap of the composite material reaches a minimum value of 3.13 eV, and the depth of the trap energy levels also reaches a maximum value of 3.06 eV. Spatial charge differential density analysis demonstrates that the enhanced electron density is localized near hydrogen-bonded region, thus suppressing electron escape probability by over 40% compared with the scenario in the non-bonded domains. All of the findings highlight a dual mechanism: hydrogen bonds not only reconfigure the molecular topology but also reshape the localized charge distribution, directly suppressing the carrier mobility and changing the charge transport pathways. These findings also establish a robust structure-property relationship, showing that hydrogen bond engineering serves as a pivotal strategy to tailor dielectric performance in polymer composites. By optimizing hydrogen bond density, the trade-off between structural compactness and electronic confinement can be strategically balanced, thus enabling the designing of PP-based dielectrics with low carbon footprints and superior insulating properties. This mechanistic understanding provides actionable guidelines for advancing high-performance insulating materials in energy storage systems, aerospace components, and next-generation electrical devices, where precise control over charge transport is paramount.
-
Keywords:
- polypropylene /
- hydrogen bond /
- molecular dynamics /
- charge transport
[1] [2] [3] [4] [5] [6] [7] [8] [9] [10] [11] [12] [13] [14] [15] [16] [17] [18] [19] [20] [21] [22] [23] [24] [25] [26] [27] [28] [29] [30] [31] [32] [33] [34] [35] [36] [37] -
Epotential Function form Parameters and units Ebond $ {E_{{\text{bond}}}} = \displaystyle\sum\limits_{{\text{bonds}}} {{k_b}{{(r - {r_0})}^2} + k_b^{(3)}{{(r - {r_0})}^3} + k_b^{(4)}{{(r - {r_0})}^4}} $ kb/(kcal·mol–1·Å–2); r, r0/Å Eangle $ {E_{{\text{angle}}}} = \displaystyle\sum\limits_{{\text{angles}}} {{k_\theta }{{(\theta - {\theta _0})}^2} + k_\theta ^{(3)}{{(\theta - {\theta _0})}^3} + k_\theta ^{(4)}{{(\theta - {\theta _0})}^4}} $ kθ/(kcal·mol–1); θ, θ0/(°) Etorsion $ {E_{{\text{torsion}}}} = \displaystyle\sum\limits_{{\text{torsions}}} {{k_\varphi }(1 + \cos (n} \varphi - {\varphi _0})) $ kφ/(kcal·mol–1); φ, φ0/(°) Eout-of-plane $ {E_{{\text{out-of-plane}}}} = \displaystyle\sum\limits_{{\text{out-of-plane}}} {{k_\omega }{\omega ^2}} $ kω/(kcal·mol–1); ω/(°) Evdw $ {E_{{\text{vdW}}}} = \displaystyle\sum\limits_{i, j} {4\varepsilon \left[ {{{\left( {\frac{\sigma }{{{r_{ij}}}}} \right)}^{12}} - {{\left( {\frac{\sigma }{{{r_{ij}}}}} \right)}^6}} \right]} $ Ε/eV; σ/Å; rij/Å Eelectrostatic $ {E_{{\text{electrostatic}}}} = \displaystyle\sum\limits_{i, j} {\frac{{{q_i}{q_j}}}{{4\pi {\varepsilon _0}{r_{ij}}}}} $ qi, qj/e; rij/Å 试样编号
PP-g-MA/%PVDF/% MA PP 1# 0 77.94 22.26 2# 2.74 75.52 21.74 3# 5.33 73.41 21.26 4# 10.13 69.57 20.30 5# 14.50 65.94 19.56 6# 18.47 62.83 18.70 7# 22.05 59.84 18.11 8# 36.22 48.51 15.27 9# 52.97 35.34 11.69 试样
编号平衡
时间/ps波动/% 温度 Epotential Ekinetic Enon-bond Etotal 1# 58.93 3.25 1.56 3.85 4.52 4.11 2# 74.68 2.89 2.56 4.26 1.57 2.10 3# 25.95 4.56 4.56 3.73 2.94 1.61 4# 78.59 1.12 2.76 1.52 4.51 1.52 5# 85.45 2.59 3.81 1.14 1.52 3.20 6# 36.58 3.58 4.19 2.81 2.73 2.17 7# 57.58 1.56 1.25 4.20 2.85 3.96 8# 85.42 3.20 2.48 1.52 4.22 2.57 9# 54.20 2.74 4.21 1.23 2.52 1.85
Enon-bond/(kcal·mol–1)
Ediagonal/(kcal·mol–1)Einteraction
/(kcal·mol–1)Etotal
/(kcal·mol–1)Evdw Eelectrostatic Ebond Eangle Etorsion 1# 84.65 853.99 214.04 371.93 –721.02 53.49 552.18 2# 85.17 906.80 215.48 398.77 –728.18 63.88 601.15 3# 86.71 977.26 217.09 412.65 –751.63 75.86 654.46 4# 97.89 1083.01 218.45 448.12 –753.56 85.58 723.28 5# 110.28 1205.79 242.31 453.70 –770.93 88.09 828.37 6# 110.97 1332.96 264.16 536.79 –787.47 89.02 898.72 7# 122.93 1462.88 268.80 547.69 –792.07 108.50 1002.49 8# 132.42 2094.95 309.91 689.15 –858.76 127.05 1413.73 9# 55.29 3377.36 402.88 1026.23 –1028.7 74.86 2171.63 -
[1] [2] [3] [4] [5] [6] [7] [8] [9] [10] [11] [12] [13] [14] [15] [16] [17] [18] [19] [20] [21] [22] [23] [24] [25] [26] [27] [28] [29] [30] [31] [32] [33] [34] [35] [36] [37]
计量
- 文章访问数: 1097
- PDF下载量: 32
- 被引次数: 0








下载: