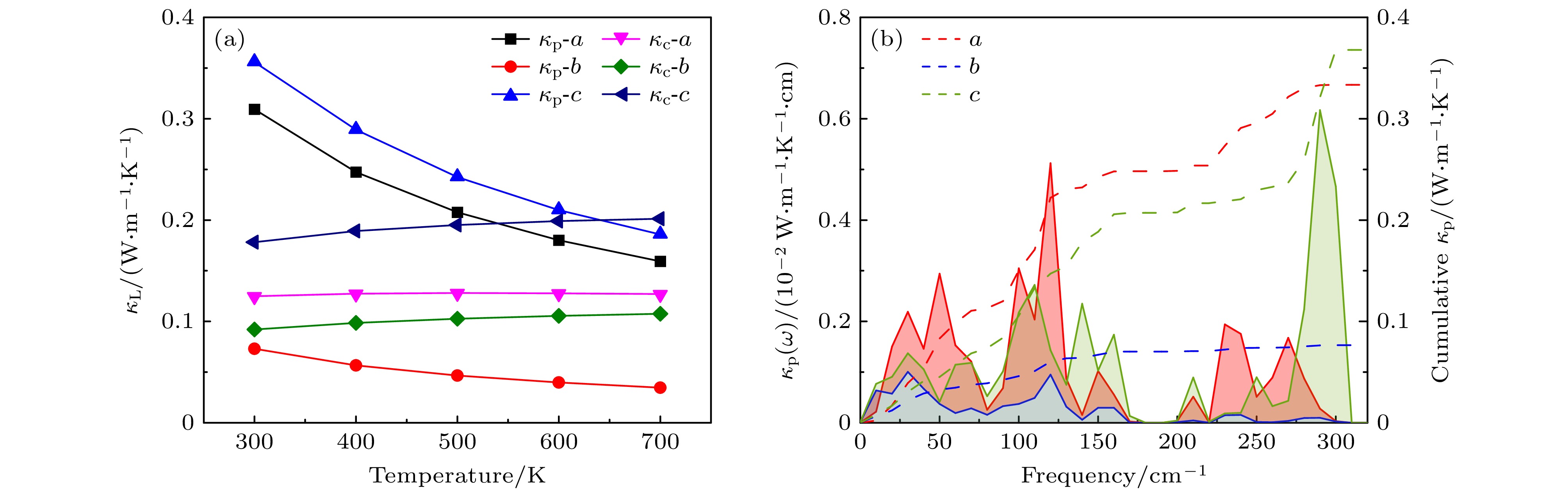
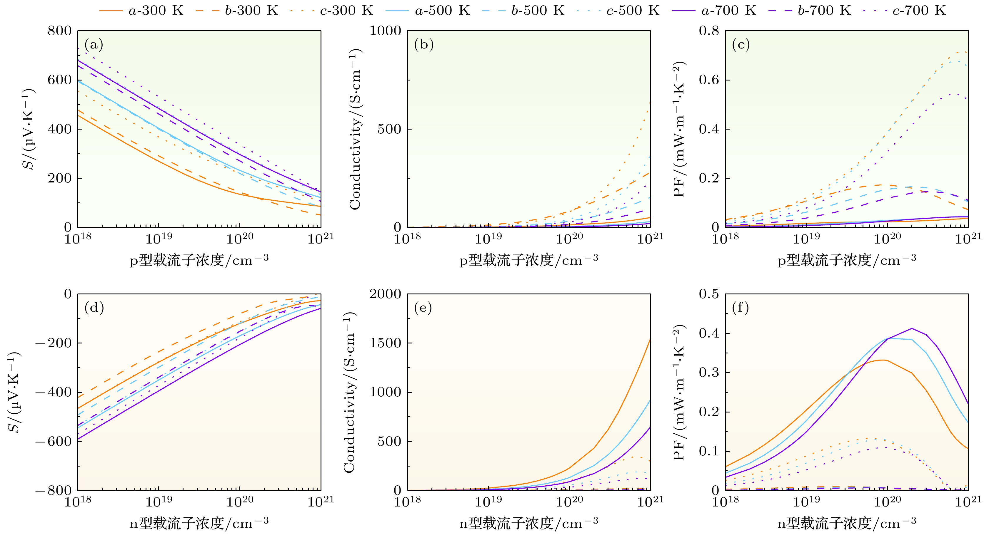
This work systematically investigates the potential of the hybrid anion semiconductor AgBiSCl2 for photovoltaic and thermoelectric applications, aiming to provide theoretical guidance for high-performance energy conversion devices. Structural analysis reveals favorable ductility and a relatively low Debye temperature (219 K). Electronic structure calculations show that AgBiSCl2 is a direct band gap semiconductor, with a gap of approximately 1.72 eV after including spin-orbit coupling effects. The conduction band is mainly derived from Bi 6p orbitals, while the valence band is dominated by contributions from Ag 4d, Cl 3p, and S 3p orbitals.Analysis of interatomic interactions indicates that Ag—S and Ag—Cl bonds are relatively weak, resulting in local structural softness and enhanced lattice anharmonicity. These weak bonds facilitate phonon scattering and give rise to low-frequency localized “rattling” vibrations primarily associated with Ag atoms, contributing to reduced lattice thermal conductivity. In contrast, Bi—S bonds exhibit stronger, more directional interactions, which help stabilize the overall structure. The coexistence of weak bonding and strong lattice coupling enables favorable modulation of thermal transport properties.Optically, AgBiSCl2 possesses a high static dielectric constant (ε1(0) = 5.60) and exhibits strong absorption in the ultraviolet region, with absorption coefficients rapidly exceeding 1 × 106 cm–1. A theoretical solar conversion efficiency of up to 28.06% is predicted for a 3 μm-thick absorber layer, highlighting its potential as a high-performance photovoltaic material.In terms of thermal transport, phonon spectra exhibit mode hardening with temperature increasing, while flat optical branches in the 30–70 cm–1 range enhance phonon scattering. The localized Ag vibrations intensify the anharmonicity, reducing phonon lifetimes and group velocities. As a result, at 300 K, the lattice thermal conductivities via the Peierls and coherent channels are calculated to be 0.246 W·m–1·K–1 and 0.132 W·m–1·K–1, respectively. For electronic transport, the p-type material maintains a higher Seebeck coefficient than the n-type, while the latter shows greater electrical conductivity. At 700 K, the thermoelectric figure of merit (ZT ) reaches 0.77 for p-type and 0.69 for n-type AgBiSCl2, indicating promising high-temperature thermoelectric performance.In summary, AgBiSCl2 exhibits excellent potential for dual photovoltaic and thermoelectric applications. Its unique bonding features and lattice response mechanisms offer valuable insights into designing multifunctional energy conversion materials.