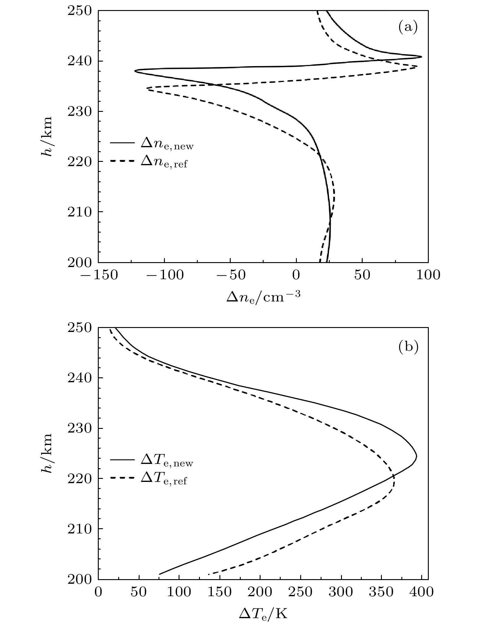
In low-pressure plasmas, the collisions between particles are weak and insufficient damping from collisions, leading to the gradual development of various waves and instabilities. Thus, the effects of wave-particle interaction are non-negligible in the non-equilibrium transport processes in plasma under low pressure conditions. For example, the heating of ionospheric plasma by high-frequency electromagnetic waves plays an important role in achieving over-the-horizon communication. During the wave propagation through the ionosphere, the electromagnetic radiation changes the local electron temperature and density, and simultaneously, excites various wave modes and instabilities. This study focuses on the interactions between high-power electromagnetic waves emitted from the ground and ionospheric plasma. Based on the plasma fluid model and Zakharov method, a physical-mathematical model is established to describe the wave-wave and wave-particle interactions in the ionospheric plasmas under the excitation of the pump waves. The modeling results of the active heating of ionosphere show that when the ground-emitted waves propagate in the ionospheric plasma, the energy deposition of the electromagnetic waves at the reflection height will excite a strong localized electric field, leading to the parametric instabilities. When the frequency and wave vector matching conditions are satisfied, two different three-wave interactions will be excited, i.e. the parametric decay instability involving the pump wave, Langmuir wave and ion acoustic wave, as well as the parametric instability related to the pump wave, upper hybrid and lower hybrid waves. Within a certain range of pump frequency and power studied in this study, the decrease of the pump frequency will lead to the decrease of the reflection height of the ordinary waves, and simultaneously, the perturbation ratios of the electron temperature will also increase. A higher pump wave power will enhance the energy absorption of the ionospheric plasma by the pump wave, thereby increasing the electron temperature. The modeling results not only reveal the spatiotemporal evolutions of the ionospheric plasma characteristics under various pump parameters and the energy transport processes between waves and particles, but also theoretically explain the parametric instability, stimulated electromagnetic emission and other phenomena observed in experiments.