-
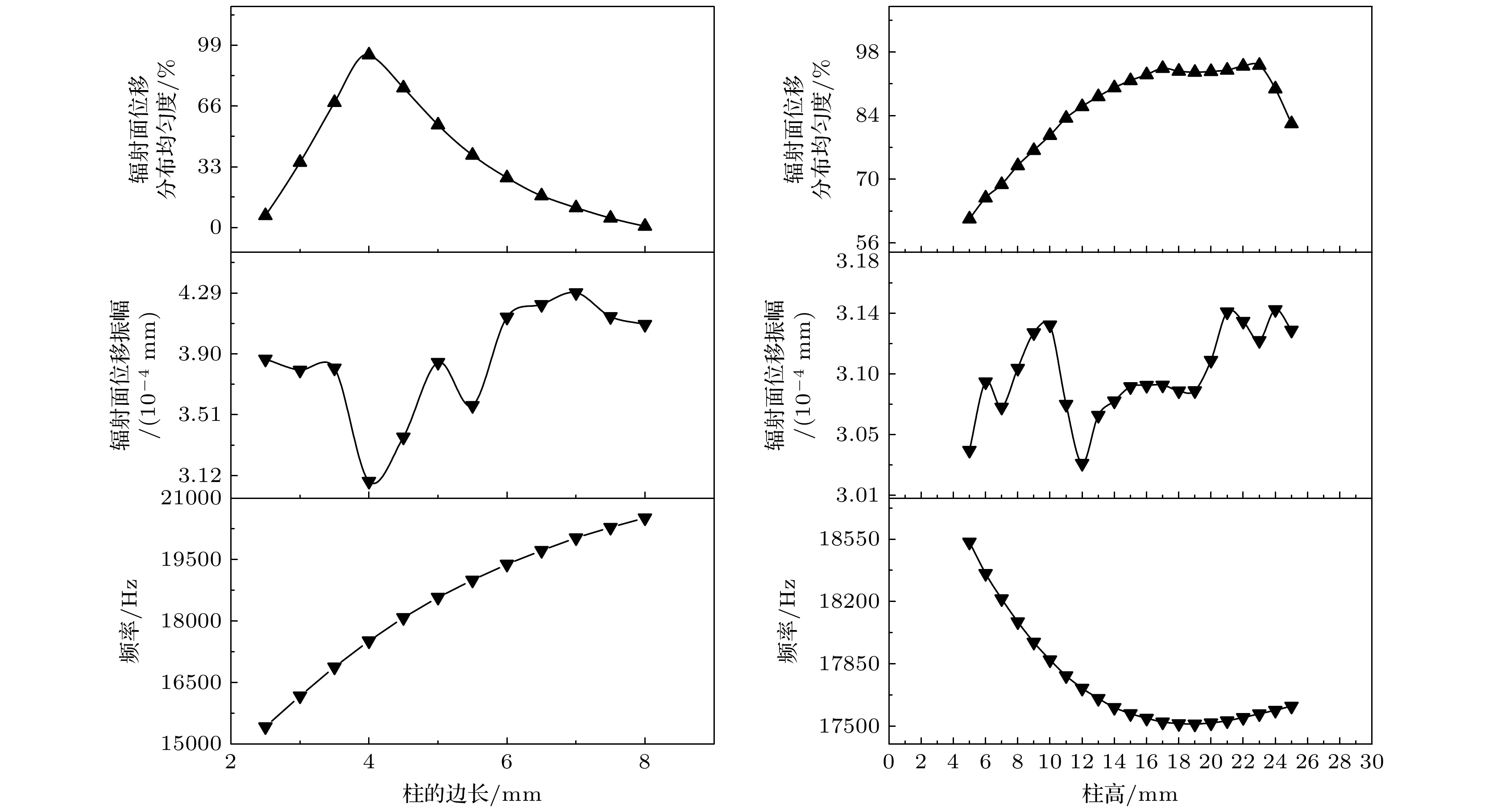
圆孔型声子晶体, 因结构简单、制作方便, 被广泛应用于换能器的性能优化研究. 研究发现, 圆孔型声子晶体结构的孔隙越大, 弹性波的能量局域化效果越好. 但是高孔隙度意味着圆孔间的距离较窄, 会大幅降低结构的机械强度. 柱状声子晶体结构的提出, 解决了圆孔型声子晶体结构需要高孔隙度, 对结构尺寸精度要求高的问题, 为压电超声换能器的性能优化提供了新思路. 利用在换能器的前、后盖板上加工的柱状和声学表面结构, 操控声波的传输行为和路径, 从而实现对换能器中耦合振动的有效控制, 不仅解决了换能器因振动能量不能均匀传递而导致的辐射面振幅分布不均匀的问题, 还使其辐射面的位移振幅得到了显著提升, 提高了换能器的工作效率. 仿真计算结果揭示了柱状和声学表面结构的配置对换能器性能的影响规律, 实验结果证明柱状和声学表面结构可以有效提升压电超声换能器的性能, 研究可以为换能器的工程计算及优化提供系统的设计理论证明.
The band gap, localization, and waveguide characteristics of phononic crystal structures offer extensive potential applications in transducer field, particularly for circular-hole phononic crystals, which are extensively utilized in research on performance optimization of transducers due to their straightforward structure and easy fabrication. Nonetheless, studies have revealed that the bandgap width of circular-hole phononic crystal structures is directly proportional to their porosity. Typically, a higher porosity leads to enhanced energy localization of elastic waves. However, high porosity implies a narrower distance between circular holes, greatly reducing the mechanical strength of the structure. The introduction of columnar phononic crystal structures solves the problems of high porosity and strict dimensional accuracy requirements in circular-hole phononic crystal structures, providing a new approach for enhancing the performance of piezoelectric ultrasonic transducers. This study employs cylindrical and acoustic surface structures fabricated on the front and rear cover plates of piezoelectric ultrasonic transducers to manipulate the transmission behavior and pathway of sound waves, thereby achieving effective control over coupled vibrations within the transducer. This approach not only solves the problem of uneven amplitude distribution on the radiation surface due to uneven vibration energy transmission but also markedly enhances the displacement amplitude of the transducer’s radiation surface, ultimately enhancing its operational efficiency. The simulation results elucidate the influences of the configuration of these cylindrical and acoustic surface structures on transducer performance. Experimental findings further validate that these structures can effectively improve the performance of piezoelectric ultrasonic transducers. This study provides systematic design theory support for the engineering calculation and optimization of transducers. -
Keywords:
- porous phononic crystals /
- columnar and acoustic surface structures /
- piezoelectric ultrasonic transducers /
- performance optimization
[1] [2] [3] [4] [5] [6] [7] [8] [9] [10] [11] [12] [13] [14] [15] [16] [17] [18] [19] [20] [21] [22] [23] [24] [25] [26] [27] -
组件名称 材料 形状 上底半径/mm 下底半径/mm 高度/mm 后盖板 Steel AISI 4340 钢 等截面圆柱 31 31 30 前盖板 Aluminium 6063-T83 圆台 31 50 35 压电陶瓷圆环(2片) PZT-4 等截面圆环 内径7/外径30 内径7/外径30 8 A B C D (3)式 x为柱高 19651.327 –277.955 11.400 –0.142 x为柱边长 10141.232 2616.509 –221.630 7.083 x为圆柱体孔半径 17511.585 –3.807 4.071 –0.893 x为环槽高度 17405.221 88.233 –26.829 3.145 x为凹槽厚度 17512.152 4.646 –0.732 0.746×10–1 (4)式 y为圆柱体孔半径 17511.585 –3.807 4.071 –0.893 y为环槽高度 17405.221 88.233 –26.829 3.145 (5)式 y1为表面凹槽厚度 2.909×10–4 8.421×10–6 — — (6)式 z为柱高 41.422 4.051 0.022 –0.454×10–2 z为柱边长 –572.671 386.836 –72.945 4.206 z为圆柱体孔半径 87.149 5.651 –0.866 –0.174 z为环槽的高度 91.649 4.283 –1.871 0.221 -
[1] [2] [3] [4] [5] [6] [7] [8] [9] [10] [11] [12] [13] [14] [15] [16] [17] [18] [19] [20] [21] [22] [23] [24] [25] [26] [27]
计量
- 文章访问数: 1072
- PDF下载量: 24
- 被引次数: 0








下载: