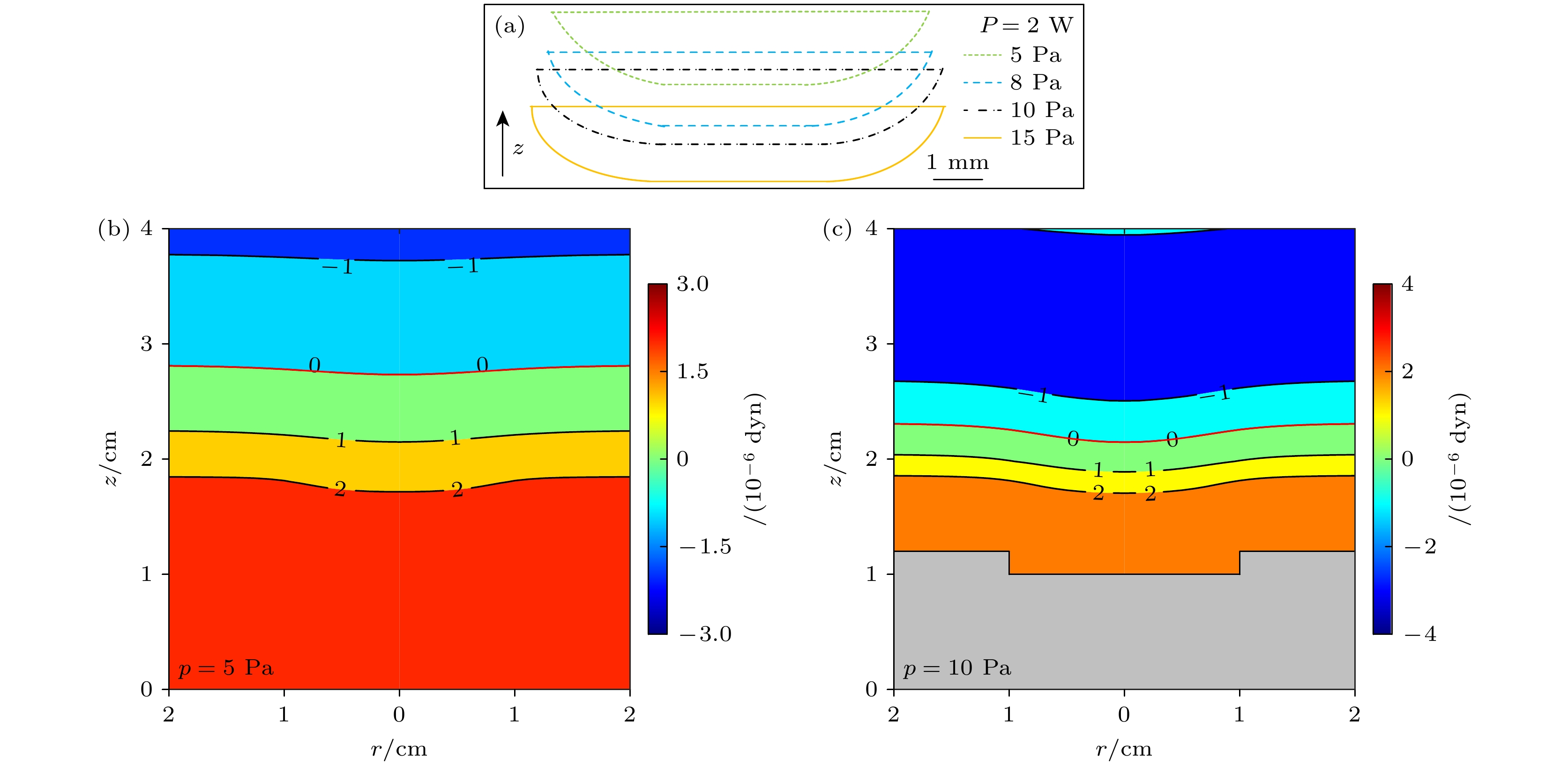
In radio-frequency capacitively coupled dusty plasma discharge, the grooves on the lower electrode plate significantly modify the electric potential distribution in the sheath region, thereby influencing the collective dynamic behavior of dust particles. Experimentally, when micrometer-sized dust particles are injected into the discharge chamber, a distinct layer of dust particles forms above the groove-induced potential well, exhibiting a characteristic bowl-shaped cloud structure. The volume of the dust cloud shows a strong dependence on RF power and discharge pressure. As power increases or pressure decreases, the dust cloud moves upward due to the influence of axial force on the particles. Besides, dust voids form in the middle of each dust layer, and their diameter evolution is influenced by particle number, RF power, and pressure. Particularly, when the diameters of the electrode grooves are small, the diameters of the dust voids first increase, then decrease and finally disappear as discharge pressure increases. Furthermore, a three-dimensional hybrid model is theoretically established. This model couples a fluid model with a dust particle model to explain the collective behavior of dust particles. This behavior is governed by the resultant axial force which includes axial electric field force, ion drag force, and gravity, as well as the resultant radial force, which consides radial electric field force and ion drag force. It is also found that in the DC-overlapped RF plasma, the suspension height of dust particles first increases and then decreases as the negative DC bias is increased. The change in dust particle height can reflect the transition of plasma discharge from α-model to γ- mode.