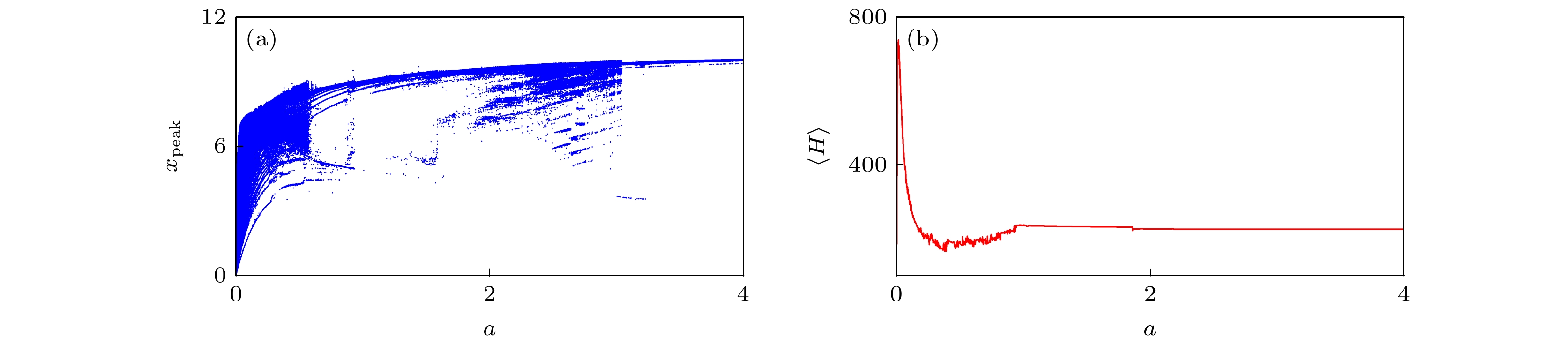
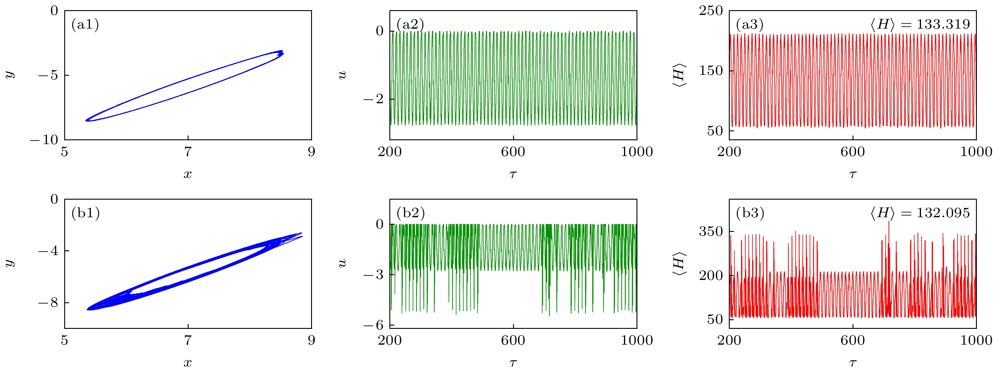
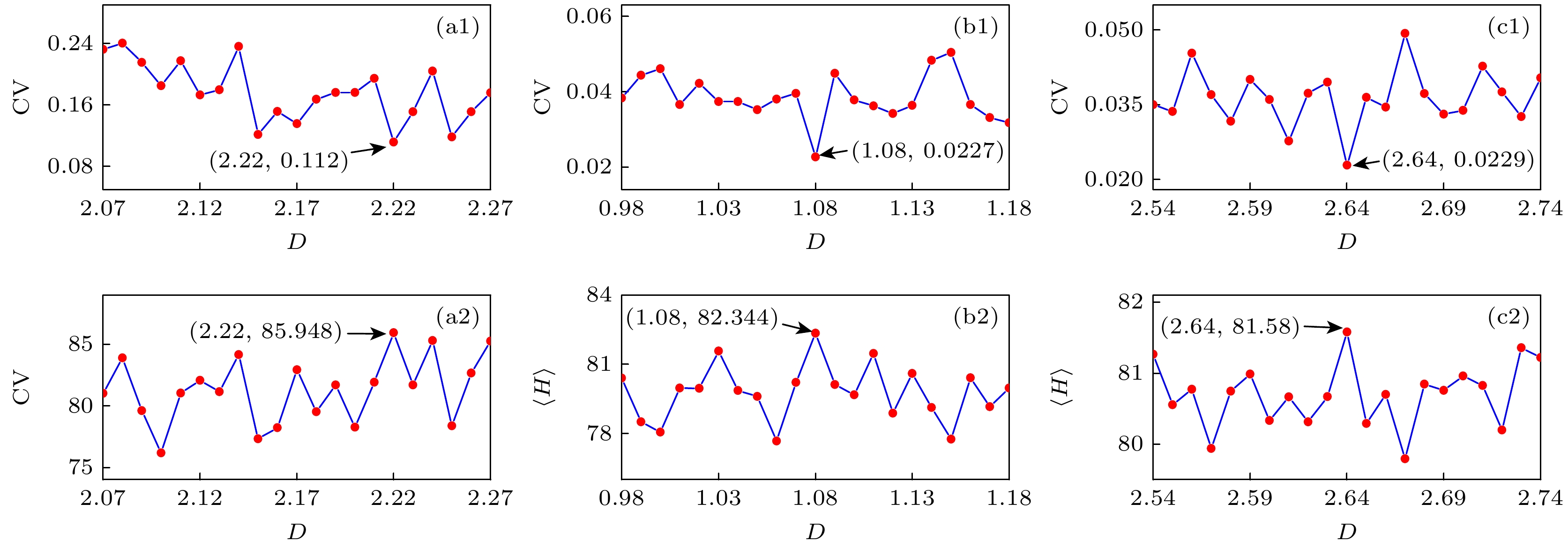
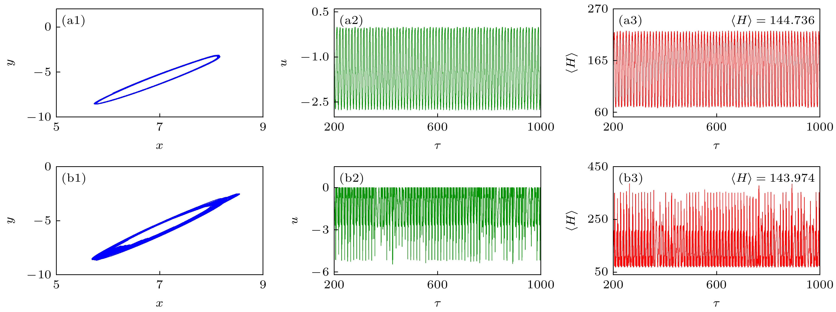
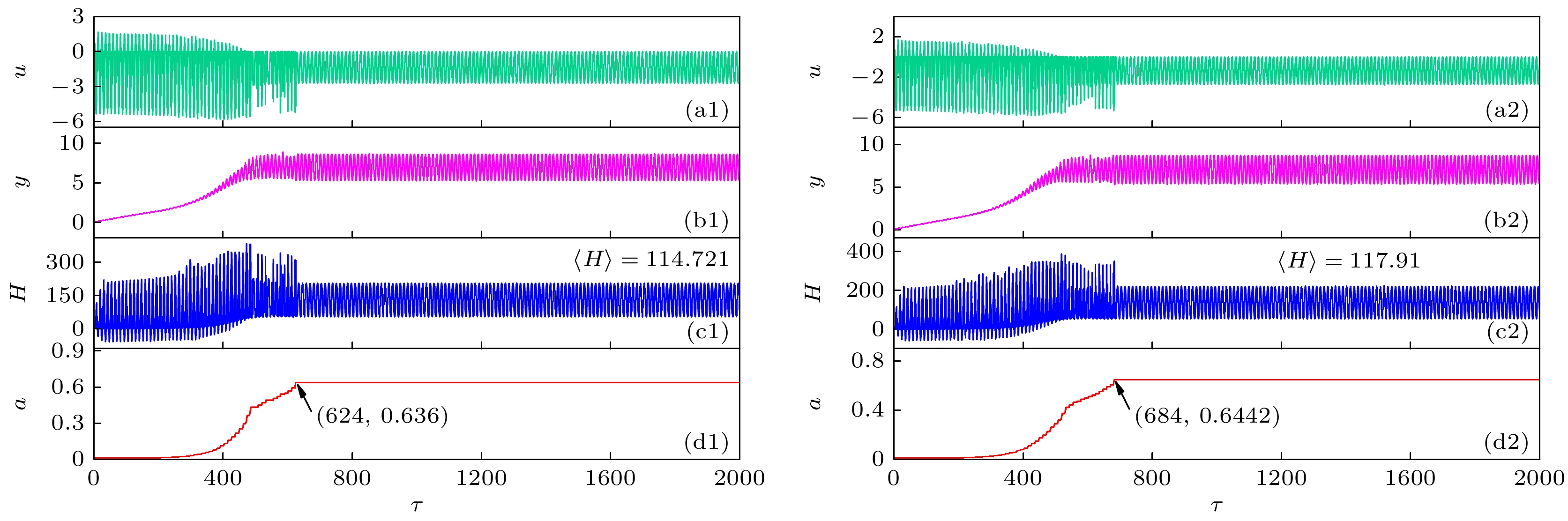
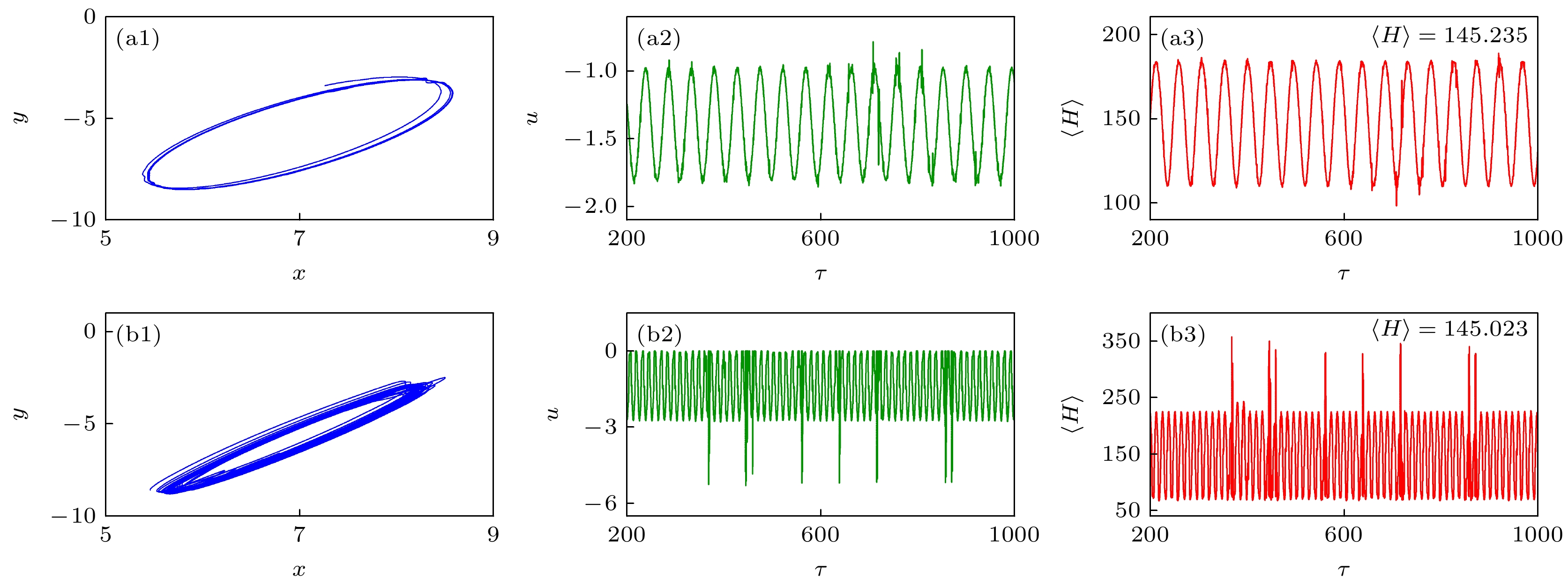
To address the issues of high dynamic power consumption and substantial occupation of silicon integration resources in traditional capacitor-containing neuronal circuits, this study proposes a capacitor-free neuronal circuit based on a charge-controlled memristor. By taking the intrinsic parameters of the charge-controlled memristor as the reference for scaling transformation, dimensionless dynamical equations are derived. The local asymptotic stability of the system is verified using Jacobian matrix eigenvalue decomposition and the Routh-Hurwitz criterion. Gaussian white noise is introduced to simulate the interference for detecting coherent resonance, while energy characteristics are analyzed by combining Hamiltonian energy formulas and resistance energy consumption expressions. Additionally, the fourth-order Runge-Kutta method is adopted to conduct numerical simulations.The research results indicate that external stimulus, ionic channel conductance, and reversal potential can flexibly regulate the periodic/chaotic firing modes of the neuron. In the periodic state, the proportion of electric field energy of the charge-controlled memristor in the total energy is higher; in the chaotic state, however, the proportion of magnetic field energy of the inductive coils increases. The circuit exhibits coherent resonance under the influence of noise, and resistor is the main energy-consuming component. The conclusion proves that the circuit is feasible in principle, with rich dynamical characteristics and good noise robustness. Adjusting the resistance value can enhance energy efficiency while preserving multiple firing modes, thereby providing theoretical support and optimization direction for designing high-integration, low-power neuromorphic computing circuits.