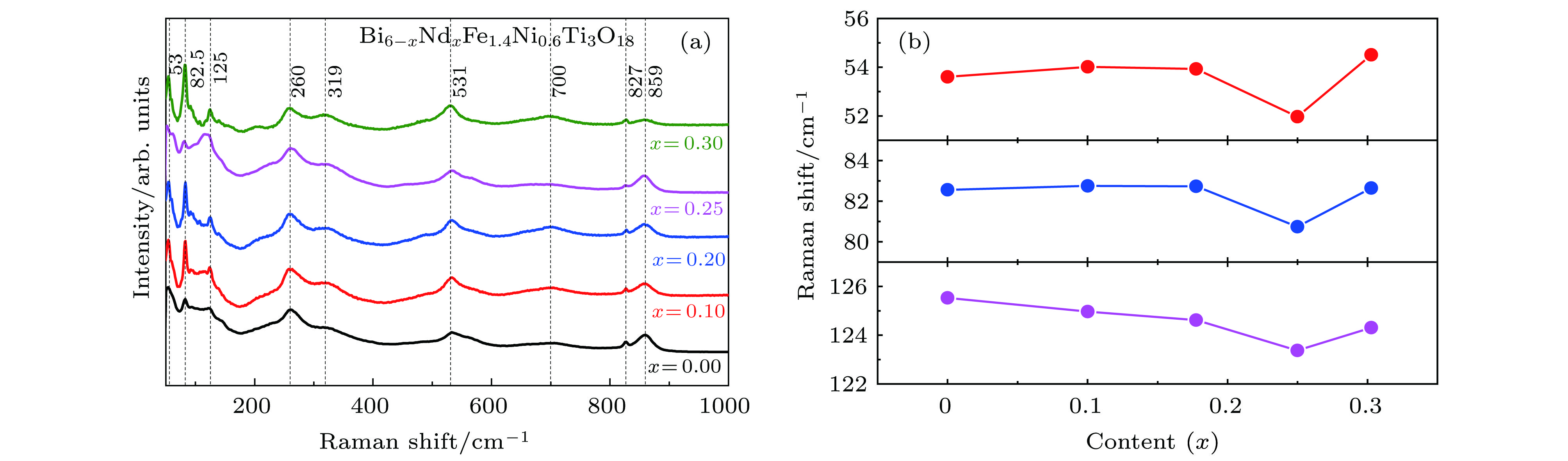
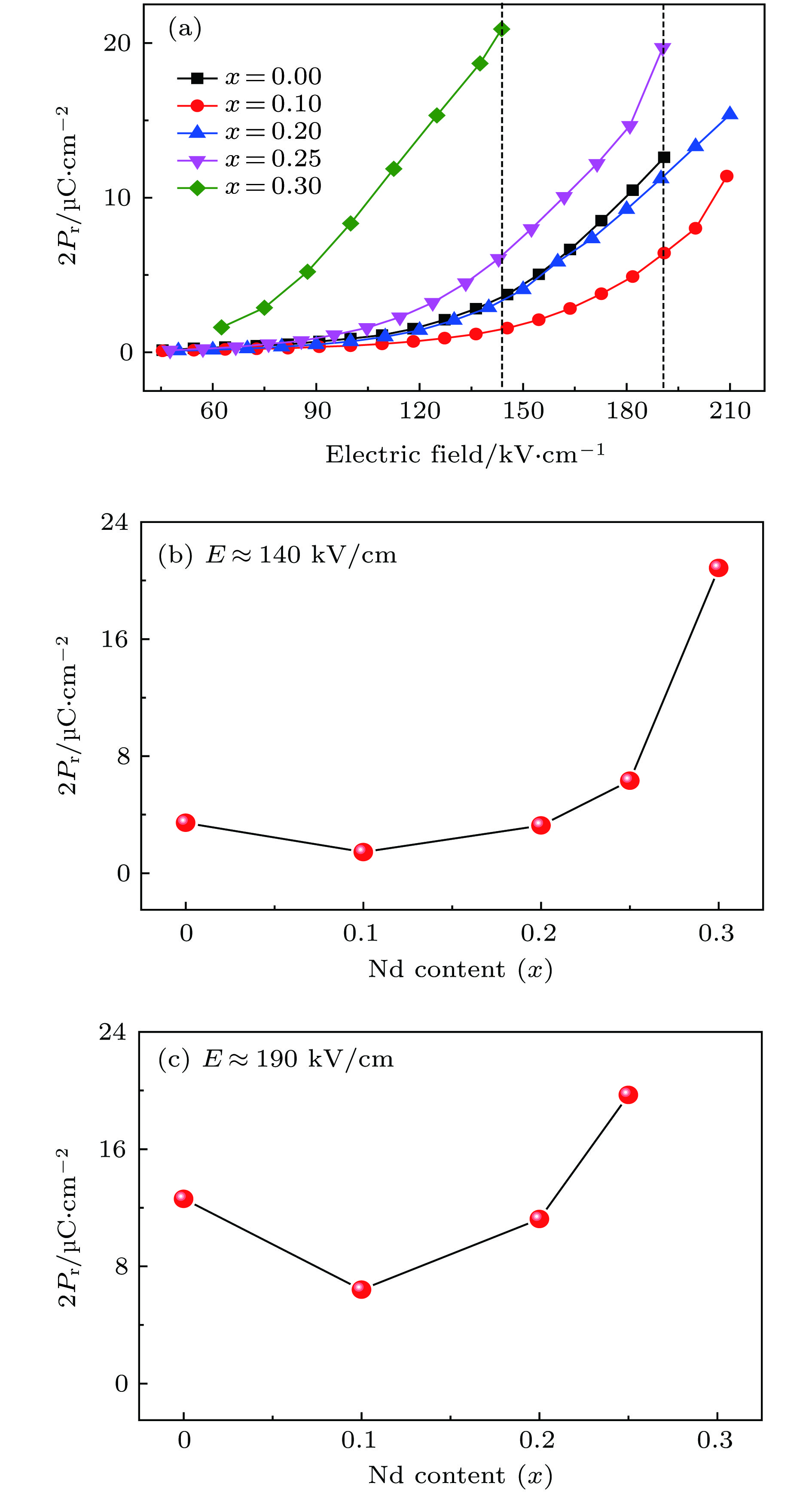
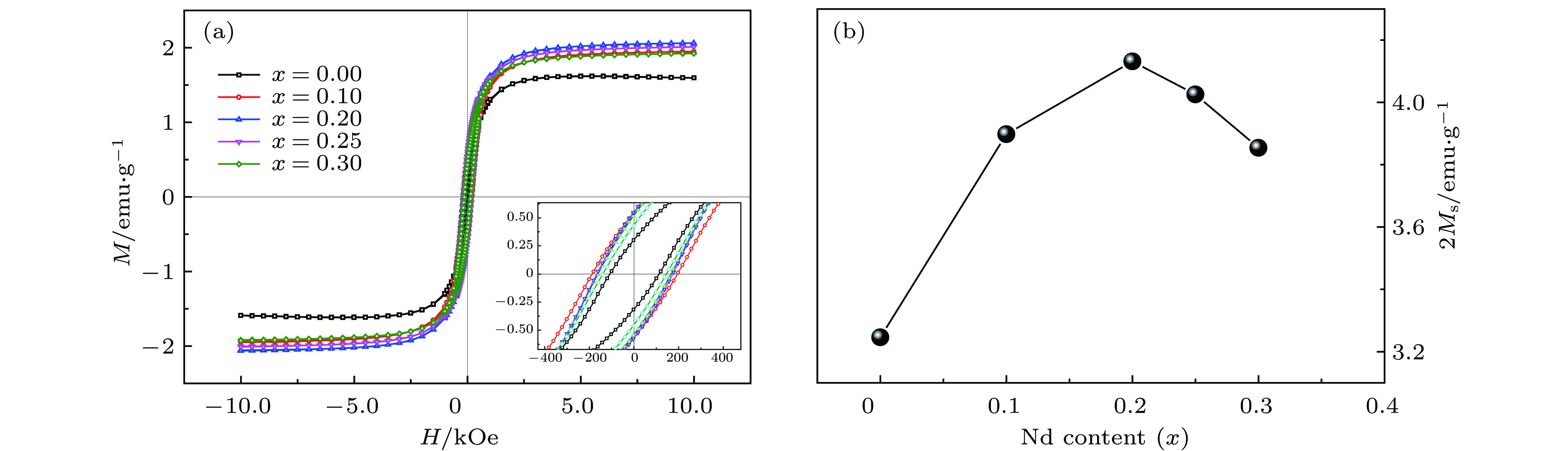
\begin{document}${\text{μ}}{\rm C/cm}^2$\end{document}. 室温下BNFNT-0.20样品磁性能(2Ms)最大约达到 4.132 emu/g (1 emu/g = 10–3 A·m2/g). 变温介电损耗结果表明Nd掺杂降低了Fe3+和Fe2+间的电子转移或跃迁的激活能. X射线光电子能谱结果表明小量Nd掺杂有助于增强Bi离子稳定性, 对改善样品的铁电性能有积极意义."> - 必威体育下载

搜索

x

留言板

姓名
邮箱
手机号码
标题
留言内容
验证码

downloadPDF
引用本文:
Citation:

    陈诚, 卢建安, 杜微, 王伟, 毛翔宇, 陈小兵

    Effects of Nd-doping on multiferroic properties of Bi6−xNdxFe1.4Ni0.6Ti3O18polycrystalline

    Chen Cheng, Lu Jian-An, Du Wei, Wang Wei, Mao Xiang-Yu, Chen Xiao-Bing
    PDF
    HTML
    导出引用
    计量
    • 文章访问数:8087
    • PDF下载量:46
    • 被引次数:0
    出版历程
    • 收稿日期:2018-07-04
    • 修回日期:2018-11-30
    • 上网日期:2019-02-01
    • 刊出日期:2019-02-05

      返回文章
      返回