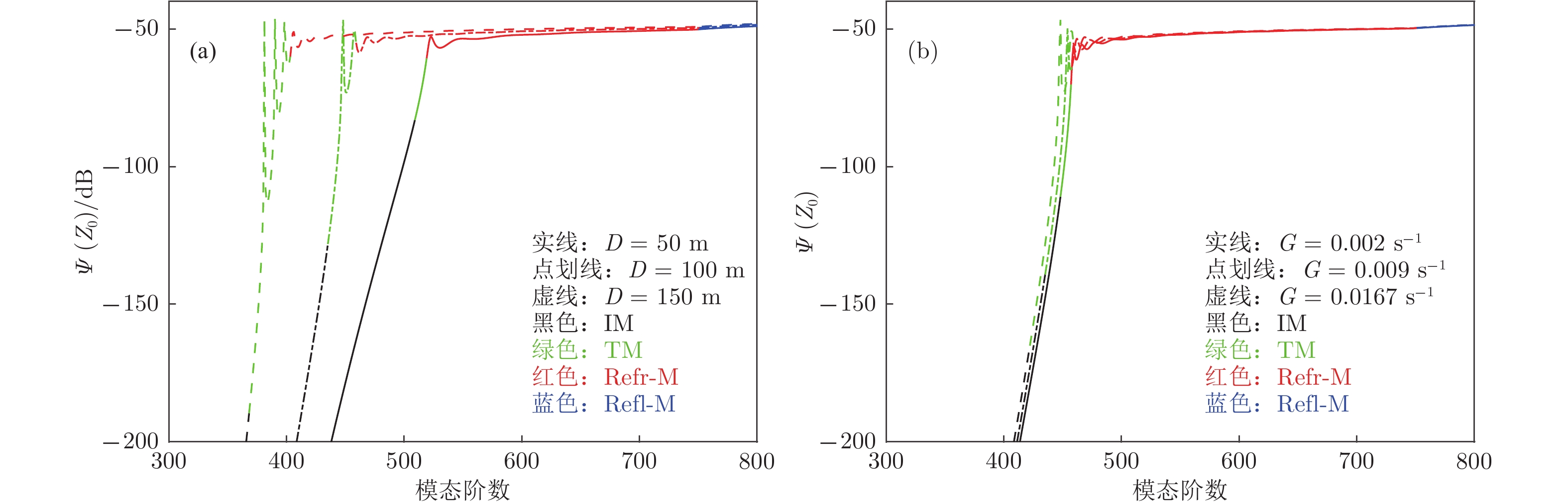
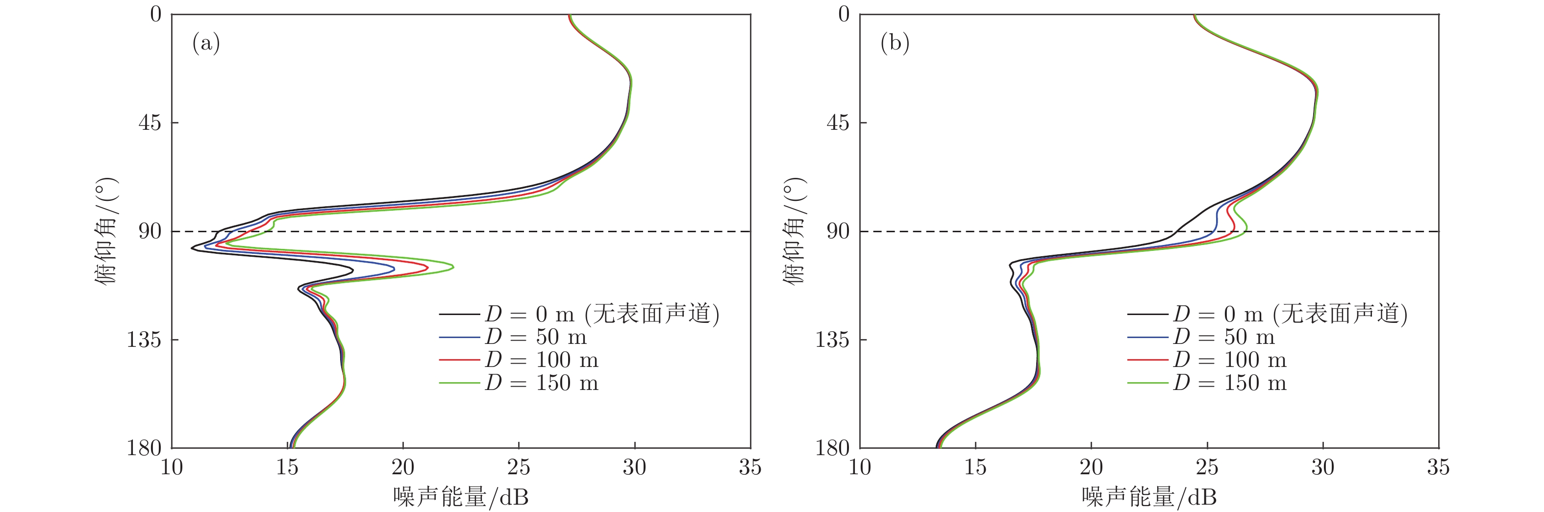
Vertical spatial characteristics of the wind-generated noise include the noise vertical directionality and the noise vertical coherence, which seriously affect the performance of sonar devices and play an important role in ocean environment parameters inversion. In this paper, we investigate the influence of surface duct on the noise vertical spatial characteristics at the depths below the duct. The Kuperman-Ingenito (K/I) model is employed to describe the distribution of the noise sources, and Pekeris-branch-cut-based normal modes are used to represent the Green's functions between the noise sources and the receivers. Both the noise vertical directionality and the noise vertical coherence are expressed as a function of the normal modes, so that we can investigate the physical reason for the variance of the noise vertical spatial characteristics by analyzing the variance of the normal modes. The numerical simulations on the noise vertical spatial characteristics show that the influence of surface duct above the critical depth is different from that below the critical depth. Above the critical depth, there exists a peak in the noise vertical directionality at the edge of the horizontal notch close to the bottom side. In the presence of surface duct, this peak significantly rises up, and the noise vertical coherence deviates from that in the absence of surface duct and tends to be perfect positive coherence and perfect negative coherence periodically as the vertical distance between the two receivers increases. On the other hand, below the critical depth, the noise power comes from the horizontal direction becomes stronger and the noise vertical coherence tends to be perfect positive coherence in the presence of surface duct as compared with the case in the absence of surface duct. Moreover, the influence will become severer as the thickness of the surface duct increases, while almost keep unchanged when the sound speed gradient in the surface duct varies. The modal analysis indicates that the noise source excites more refracted normal modes with stronger modal intensity in the presence of surface duct, and the excited refracted normal modes become more and stronger if the surface duct is thicker. As the result, the increase of the refracted mode number and the enhancement of their modal intensity cause the vertical spatial characteristics of noise to change.