-
近年来, 碱土金属原子和类碱土金属原子体系的研究成为冷原子物理的研究热点之一. 特别是最近在 173Yb原子中发现的轨道Feshbach共振, 使得研究有强相互作用的碱土金属和类碱土金属原子系统成为可能, 极大扩展了此类原子体系的研究范围. 本文介绍了 173Yb费米气体在轨道Feshbach共振附近的杂质态问题. 在此问题中, 位于
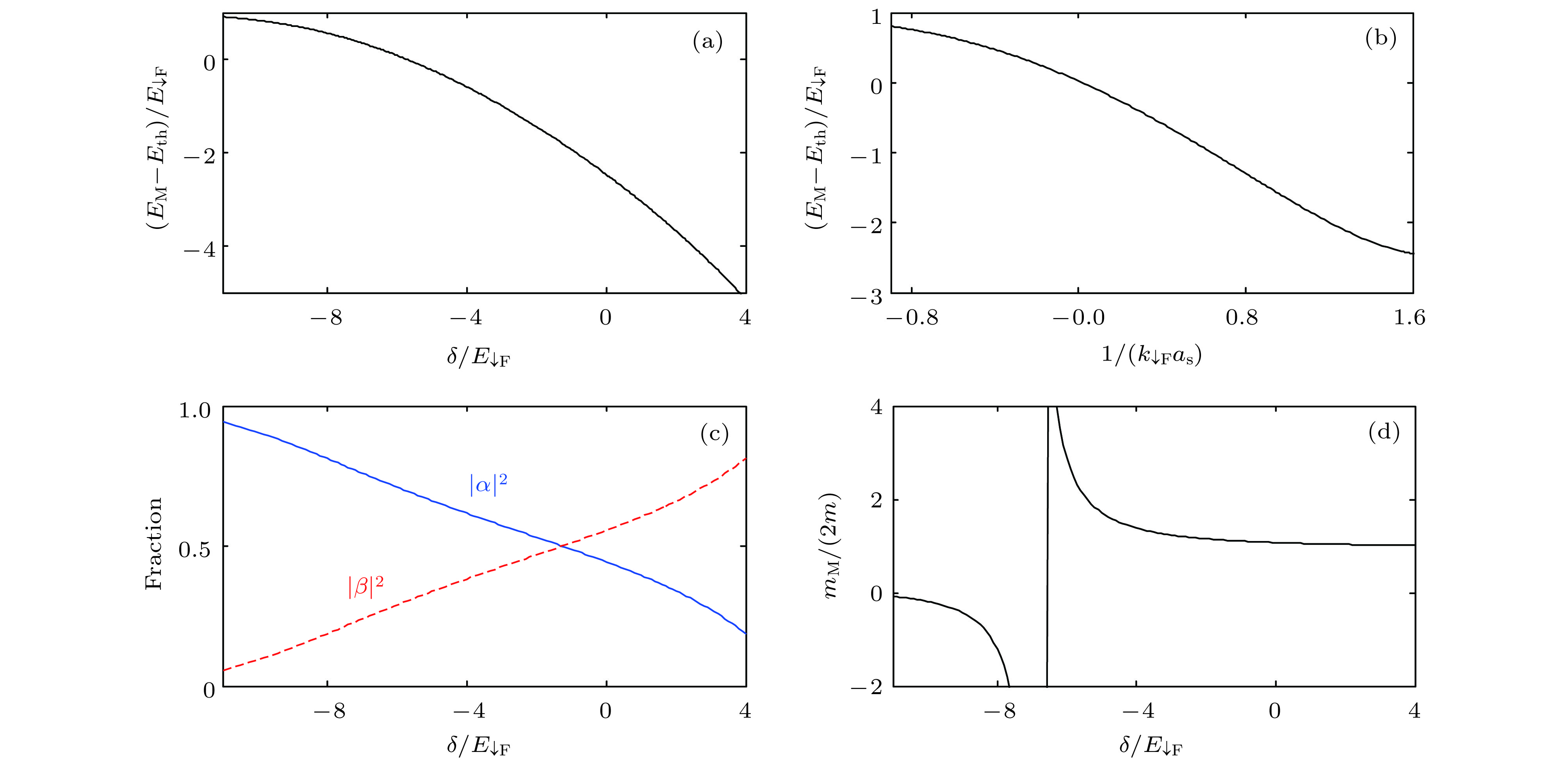
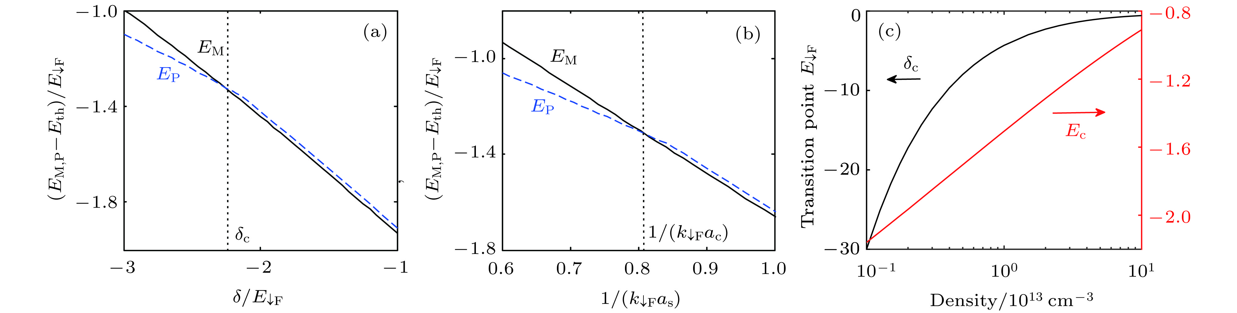
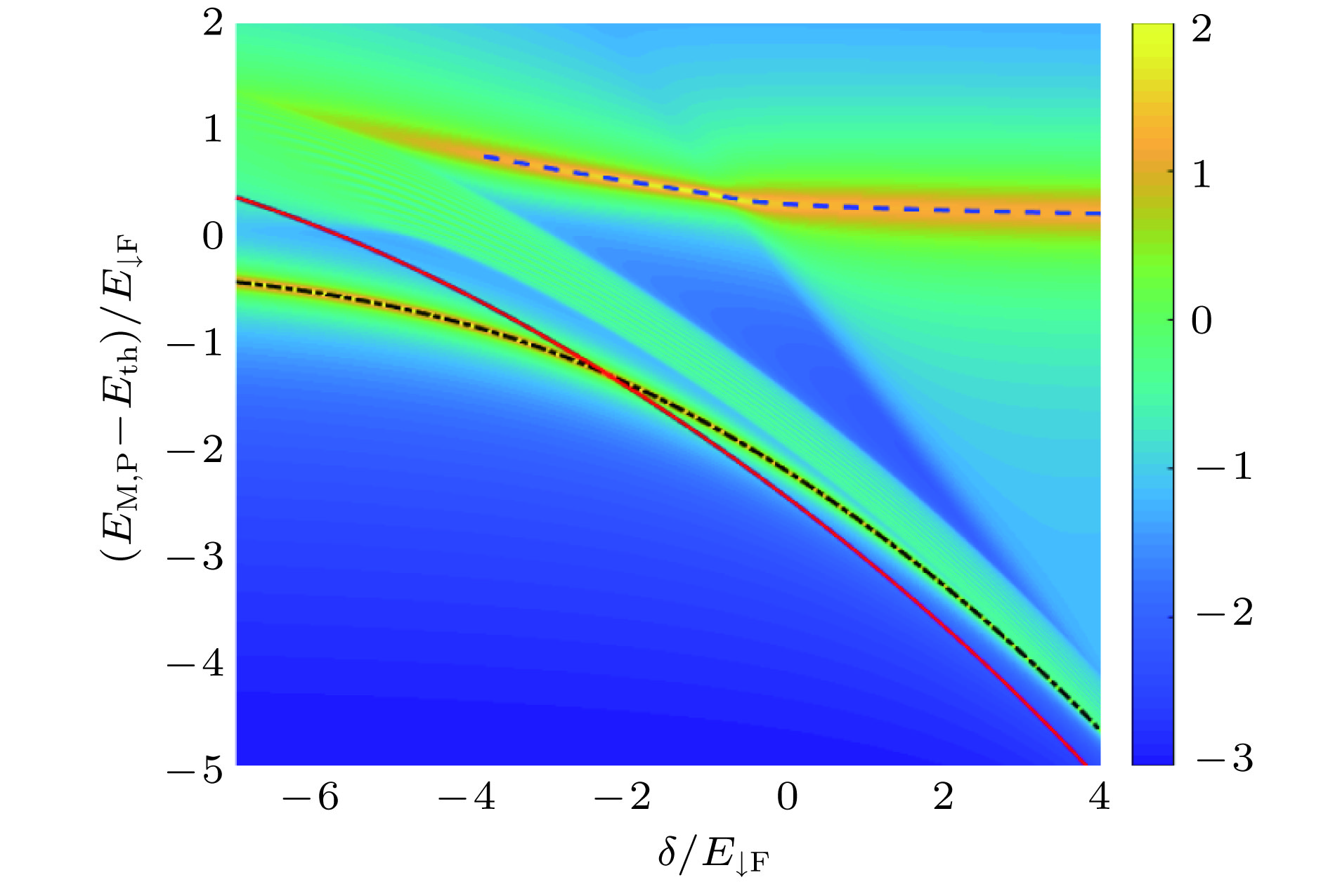
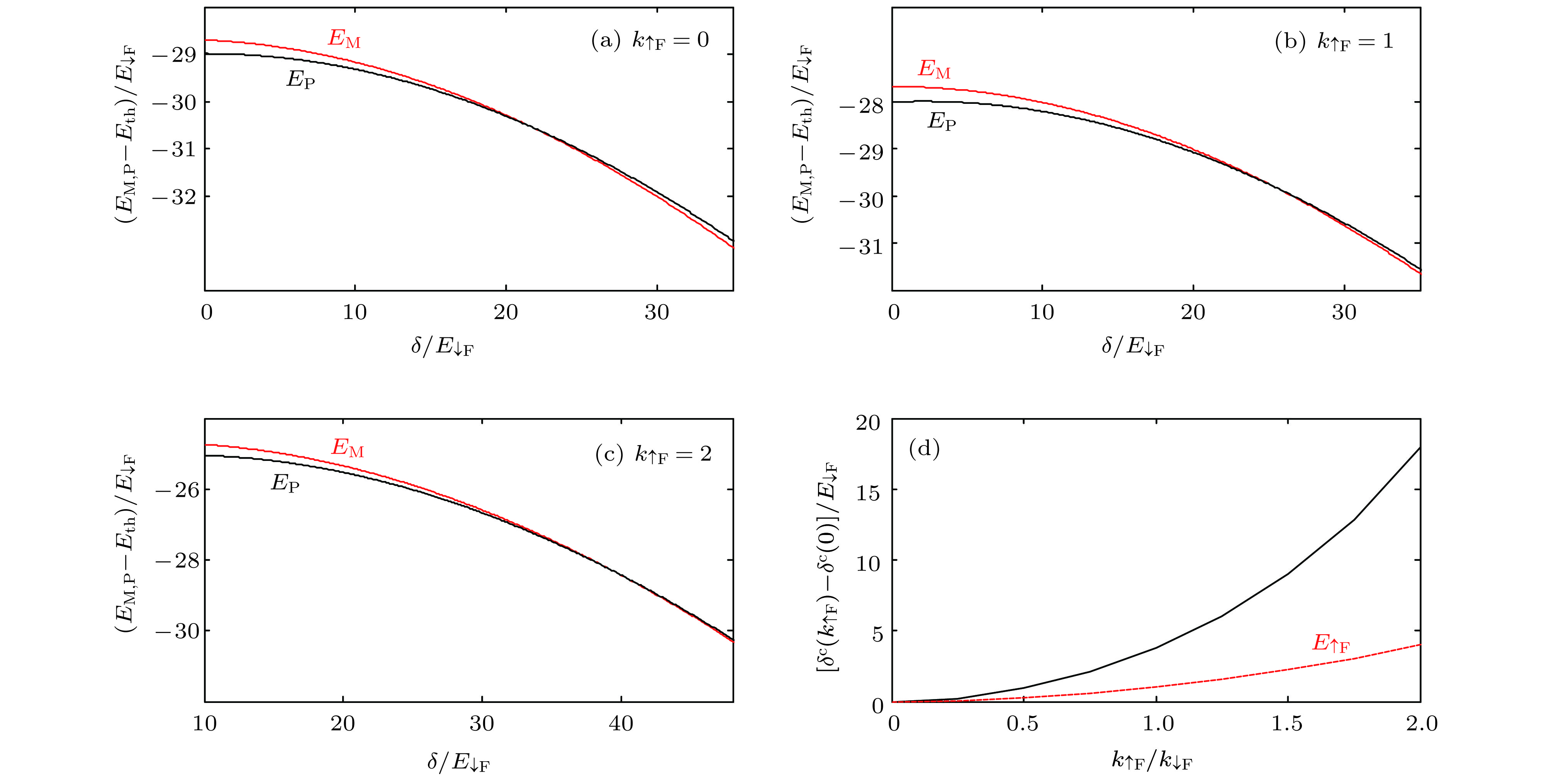
$ ^{3}{\rm P}_0 $ 态的杂质原子与处于基态的背景费米海相互作用, 并在费米海表面产生分子态或极化子态. 本文使用试探波函数的研究方法, 首先对分子态和吸引极化子态进行介绍, 并重点描述了分子态与吸引极化子态间的转变. 其次归纳总结了排斥极化子态的相关性质, 如有效质量、衰变率等. 然后考虑双费米面情况, 介绍在闭通道中引入另外一个费米面对系统产生的影响. 最后简要介绍二维 173Yb费米气体中的杂质态问题.-
关键词:
- 类碱土金属原子/
- 轨道Feshbach共振/
- 分子态/
- 极化子态
In recent years, alkaline-earth and alkaline-earth-like atoms have attracted much research interest in the field of ultracold atom. Especially, the recently discovered orbital Feshbach resonance makes it possible to investigate a strongly interacting gas of alkaline-earth or alkaline-earth-like atoms, which has greatly enriched the scope of quantum simulation in these systems. This paper focuses on the impurity problem in a Fermi gas of 173Yb atoms near orbital Feshbach resonance. In this problem, the impurity atom in 3 P 0state will interact with the background Fermi sea in the ground state and the molecule or polaron state will be produced out of the Fermi sea. By using the Chevy-like ansatz, we investigate the properties of the molecule and attractive polaron states firstly and a transition between these two states will be found. Then, some properties of the repulsive polaron state will be introduced, such as the effective mass and the decay rate. Furthermore, the effect of an additional Fermi sea will be considered in this system. Finally, we will discuss the impurity problem in a two-dimensional system.-
Keywords:
- alkaline-earth-like atom/
- orbital Feshbach resonance/
- the molecule state/
- the polaron state
[1] [2] [3] [4] [5] [6] [7] [8] [9] [10] [11] [12] [13] [14] [15] [16] [17] [18] [19] [20] [21] [22] [23] [24] [25] [26] [27] [28] [29] [30] [31] [32] [33] [34] [35] [36] [37] [38] [39] [40] [41] [42] [43] [44] [45] [46] [47] [48] [49] [50] [51] [52] [53] [54] [55] [56] [57] [58] [59] [60] [61] [62] [63] [64] [65] [66] [67] -
[1] [2] [3] [4] [5] [6] [7] [8] [9] [10] [11] [12] [13] [14] [15] [16] [17] [18] [19] [20] [21] [22] [23] [24] [25] [26] [27] [28] [29] [30] [31] [32] [33] [34] [35] [36] [37] [38] [39] [40] [41] [42] [43] [44] [45] [46] [47] [48] [49] [50] [51] [52] [53] [54] [55] [56] [57] [58] [59] [60] [61] [62] [63] [64] [65] [66] [67]
计量
- 文章访问数:7691
- PDF下载量:99
- 被引次数:0












下载:










