搜索

x

留言板

姓名
邮箱
手机号码
标题
留言内容
验证码

downloadPDF
引用本文:
Citation:

    李瑶, 苏桐, 雷凡, 徐能, 盛立志, 赵宝升

    X-ray transmission characteristics and potential communication application in plasma region

    Li Yao, Su Tong, Lei Fan, Xu Neng, Sheng Li-Zhi, Zhao Bao-Sheng
    PDF
    HTML
    导出引用
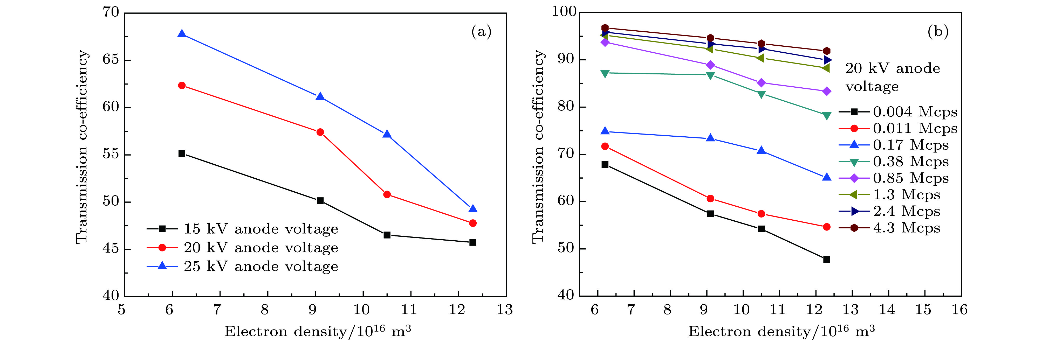
    • X射线具有波长短、光子能量高等特点, 有望在等离子体环境中实现信息的有效传输. 本文首先采用基于连续介质中的WKB分层法, 研究了黑障条件下, X射线在非均匀等离子体鞘套中的透过率特性, 仿真了不同等离子体电子密度和碰撞频率下X射线信号的透过率, 理论上证明了X射线可用于黑障区信息传输的可行性. 其次通过搭建环形扩散辉光放电等离子体发生器及实验验证系统, 进行了国内外首次X射线穿过等离子体鞘套的验证实验. 实验结果表明, 等离子体对X射线信号的透过率存在一定程度的衰减, 透过等离子体前后的X射线信号能谱轮廓相似度优于95.5%, 能谱峰值点的偏移量小于1.3%. 此外, 在原有理论模型的基础上, 考虑等离子中的粒子与X射线的碰撞、吸收效应, 优化了X射线在等离子体中的透过率模型, 与传统的理论方法相比, 该模型可对实验现象进行更好的解释. 同时计算了X射线在临近空间的透过率, 并分析了X射线通信所能达到的潜在指标. 这些结果有望为解决黑障区信号传输提供一定的理论与实验依据.
      When a supersonic spacecraft enters into the atmosphere of earth, part of the spacecraft's kinetic energy changes into thermal energy, thus causing the air surrounding the craft to be heated and compressed. As a result, the temperature near the surface may reach several thousands of kelvins, which leads the surface materials to be ionized and form a plasma sheath around the vehicle. This plasma layer has an electron density ranging from 10 15m -3to 10 20m -3, and may interrupt the radio communication signal between the re-entry vehicle and ground-based stations, which is known as ‘communication blackout’. According to the radio attenuation measurement (RAM) experiments carried out by NASA(National Aeronautics and Space Administration) in the 1970s, the duration time of communication blackout ranges from 4 to 10 minutes in an altitude range from 40 km to 100 km. Communication blackout has puzzled aerospace industry for several decades, and has not yet been completely resolved. Due to this, it becomes necessary to understand the causes of communication blackout and the methods for its mitigation. Compared with other communication methods, x-ray communication(XCOM) has the advantages of short carrier wavelength and high photon energy, as well as strong ability to resist anti-interference, thus being able to open a novel way to solve this long-lasting unresolved problem. In this paper, to begin with, we analyze the transmission coefficiencies under different plasma electron densities and collision frequencies based on Wentzel Kramers Brillouin (WKB) approximation method. The simulation results indicate that the x-ray carrier is not influenced by the reentry plasma sheath. After that, a plasma source based on glow discharge is used to verify the mathematical model. The non-magnetized unobstructed plasma region is $\varPhi $ 200 mm × 180 mm, which can be used for simulating plasma sheath near the reenter spacecraft. Then the transmission coefficiency, energy spectrum similarity and energy spectrum peak offset under different x-ray energy, x-ray flow and plasma electron density are firstly analyzed. Experimental results indicate that plasma can lead the x-ray signal to be attenuated to a certain extent, the increase of plasma electron density will cause higher attenuation. However, with a higher signal x-ray energy and x-ray flow, the XCOM could achieve less attenuation in the re-enter plasma layer. When the plasma electron density ranges from 6 × 10 16/m 3to 1.2 × 10 17/m 3, 1.34 Mcps signal x-ray photons’ flow with 20 kV anode voltage would achieve more than a 95% transmission efficiency. Also, the spectrum of x-ray signal can obtain more than 95.5% similarity and the peak offset is less than 1.3% after passing the plasma sheath. Subsequently, based on the original mathematic model and experimental results, considering the free-free absorption, free-bound absorption, bound-bound absorption and scattering effect of x-ray photons in plasma, the x-ray transmission characteristics are optimized to make simulation results well consistent with the experiment results. Finally, an MCNP (Monte Carlo N Particle) transport simulation is used to analyze the feasibility of XCOM in blackout region, which indicates that the energy range 15—25 keV is the suitable to achieve the XCOM in adjacent space, and the relation of potential transmitting speed with bit error is calculated. Theoretically, the XCOM can achieve about 1.3 Mbps communication speed in blackout region. In summary, these theoretical and experimental results indicate that the XCOM is a potential and novel method to solve the blackout communication problems.
          通信作者:苏桐,sutong@opt.ac.cn
        • 基金项目:国家自然科学基金(批准号: 61471357)资助的课题.
          Corresponding author:Su Tong,sutong@opt.ac.cn
        • Funds:Project Supported by the National Natural Science Foundation of China (Grant No. 61471357).
        [1]

        [2]

        [3]

        [4]

        [5]

        [6]

        [7]

        [8]

        [9]

        [10]

        [11]

        [12]

        [13]

        [14]

        [15]

        [16]

        [17]

        [18]

        [19]

        [20]

        [21]

        [22]

        [23]

        [24]

        [25]

        [26]

        [27]

        [28]

      • 等离子体产生方法 最高电子密度 持续时间 可控性 成本
        辉光放电 1017/m3 连续
        激波管 > 1020/m3 亚毫秒级 一般
        发动机喷流 > 1020/m3 几百毫秒 一般
        载飞 真实鞘套 4—10 min 无法控制 极高
        下载: 导出CSV

        射频电源功率/W 等离子体电子密度/m3 碰撞频率/MHz
        300 6.2 × 1016 428
        500 9.1 × 1016 491
        700 1.05 × 1017 494
        1000 1.23 × 1017 523
        下载: 导出CSV

        实验条件 WKB法 实验结果 理论值
        电子密度/m-3: 6.2 × 1016阳极高压/kV: 15 流量5.41 kcps 99.98% 67.84% 70.12%
        流量 1.3 Mcps 93.74% 95.22%
        电子密度/m-3: 1.05 × 1017阳极高压/kV: 20 流量7.52 kcps 99.91% 57.41% 54.65%
        流量 0.82 Mcps 82.88% 84.07%
        电子密度/m-3: 1.23 × 1017阳极高压/kV: 25 流量21.86 kcps 99.88% 59.78% 61.32%
        流量 2.8 Mcps 94.04% 96.81%
        下载: 导出CSV
      • [1]

        [2]

        [3]

        [4]

        [5]

        [6]

        [7]

        [8]

        [9]

        [10]

        [11]

        [12]

        [13]

        [14]

        [15]

        [16]

        [17]

        [18]

        [19]

        [20]

        [21]

        [22]

        [23]

        [24]

        [25]

        [26]

        [27]

        [28]

      • [1] 梅策香, 张小安, 周贤明, 梁昌慧, 曾利霞, 张艳宁, 杜树斌, 郭义盼, 杨治虎.类氦C离子诱发不同金属厚靶原子的K-X射线. 必威体育下载 , 2024, 73(4): 043201.doi:10.7498/aps.73.20231477
        [2] 徐子原, 周辉, 刘光翰, 高中亮, 丁丽, 雷凡.三维行波磁场对等离子体鞘套密度的调控作用. 必威体育下载 , 2024, 73(17): 175201.doi:10.7498/aps.73.20240877
        [3] 周贤明, 尉静, 程锐, 梁昌慧, 陈燕红, 赵永涛, 张小安.近玻尔速度不同离子碰撞产生Al的K X射线. 必威体育下载 , 2023, 72(1): 013402.doi:10.7498/aps.72.20221628
        [4] 刘祥群, 刘宇, 凌艺铭, 雷久侯, 曹金祥, 李瑾, 钟育民, 谌明, 李艳华.等离子体风洞中释放二氧化碳降低电子密度. 必威体育下载 , 2022, 71(14): 145202.doi:10.7498/aps.71.20212353
        [5] 周贤明, 尉静, 程锐, 梅策香, 曾利霞, 王兴, 梁昌慧, 赵永涛, 张小安.数百MeV/u高能区C6+离子激发W的L壳层 X射线. 必威体育下载 , 2022, 71(11): 113201.doi:10.7498/aps.70.20212322
        [6] 周贤明, 尉静, 程锐, 梅策香, 曾利霞, 王兴, 梁昌慧, 赵永涛, 张小安.数百MeV/u高能区C6+离子激发W的L X射线研究. 必威体育下载 , 2022, 0(0): 0-0.doi:10.7498/aps.71.20212322
        [7] 周贤明, 尉静, 程锐, 赵永涛, 曾利霞, 梅策香, 梁昌慧, 李耀宗, 张小安, 肖国青.近Bohr速度I20+离子在不同靶面上的L壳层X射线辐射. 必威体育下载 , 2021, 70(2): 023201.doi:10.7498/aps.70.20201236
        [8] 张秉章, 宋张勇, 刘璇, 钱程, 方兴, 邵曹杰, 王伟, 刘俊亮, 徐俊奎, 冯勇, 朱志超, 郭艳玲, 陈林, 孙良亭, 杨治虎, 于得洋.低能高电荷态 ${\boldsymbol{ {\rm{O}}^{q+}}}$ 离子与Al表面作用产生的X射线. 必威体育下载 , 2021, 70(19): 193201.doi:10.7498/aps.70.20210757
        [9] 梅策香, 张小安, 周贤明, 赵永涛, 任洁茹, 王兴, 雷瑜, 孙渊博, 程锐, 徐戈, 曾利霞.高能脉冲C6+离子束激发Ni靶的K壳层X射线. 必威体育下载 , 2017, 66(14): 143401.doi:10.7498/aps.66.143401
        [10] 陈伟, 郭立新, 李江挺, 淡荔.时空非均匀等离子体鞘套中太赫兹波的传播特性. 必威体育下载 , 2017, 66(8): 084102.doi:10.7498/aps.66.084102
        [11] 龙建飞, 张天平, 李娟, 贾艳辉.离子推力器栅极透过率径向分布特性研究. 必威体育下载 , 2017, 66(16): 162901.doi:10.7498/aps.66.162901
        [12] 周贤明, 赵永涛, 程锐, 雷瑜, 王瑜玉, 任洁茹, 刘世东, 梅策香, 陈熙萌, 肖国青.近玻尔速度氙离子激发钒的K壳层X射线. 必威体育下载 , 2016, 65(2): 027901.doi:10.7498/aps.65.027901
        [13] 张淳民, 刘宁, 吴福全.偏振干涉成像光谱仪中格兰-泰勒棱镜全视场角透过率的分析与计算. 必威体育下载 , 2010, 59(2): 949-957.doi:10.7498/aps.59.949
        [14] 邹贤容, 邵剑雄, 陈熙萌, 崔莹.高电荷态Ar17+离子在表面以下过程中发射X射线分支比及各分支能量的研究. 必威体育下载 , 2010, 59(9): 6064-6070.doi:10.7498/aps.59.6064
        [15] 张泊丽, 杨治虎, 杜树斌, 常宏伟, 薛迎丽, 宋张勇, 朱可欣, 田野.20—50MeV O5+离子引起Au的L壳层X射线产生截面研究. 必威体育下载 , 2009, 58(9): 6113-6116.doi:10.7498/aps.58.6113
        [16] 张小安, 杨治虎, 王党朝, 梅策香, 牛超英, 王伟, 戴斌, 肖国青.类钴氙离子入射Ni表面激发的红外光谱线和X射线谱. 必威体育下载 , 2009, 58(10): 6920-6925.doi:10.7498/aps.58.6920
        [17] 杨治虎, 宋张勇, 崔 莹, 张红强, 阮芳芳, 邵剑雄, 杜 娟, 刘玉文, 朱可欣, 张小安, 邵曹杰, 卢荣春, 于得洋, 陈熙萌, 蔡晓红.Ar16+和Ar17+离子与Zr作用产生的X射线谱. 必威体育下载 , 2008, 57(2): 803-807.doi:10.7498/aps.57.803
        [18] 杨治虎, 宋张勇, 陈熙萌, 张小安, 张艳萍, 赵永涛, 崔 莹, 张红强, 徐 徐, 邵健雄, 于得洋, 蔡晓红.高电荷态离子Arq+与不同金属靶作用产生的X射线. 必威体育下载 , 2006, 55(5): 2221-2227.doi:10.7498/aps.55.2221
        [19] 谈 斌, 李智勇, 李世忱.非线性光纤环形镜的脉冲透过特性研究. 必威体育下载 , 2004, 53(9): 3071-3076.doi:10.7498/aps.53.3071
        [20] 杨国洪, 张继彦, 张保汉, 周裕清, 李 军.金激光等离子体X射线精细结构谱研究. 必威体育下载 , 2000, 49(12): 2389-2393.doi:10.7498/aps.49.2389
      计量
      • 文章访问数:8420
      • PDF下载量:67
      • 被引次数:0
      出版历程
      • 收稿日期:2018-11-05
      • 修回日期:2018-11-25
      • 上网日期:2019-02-01
      • 刊出日期:2019-02-20

        返回文章
        返回