-
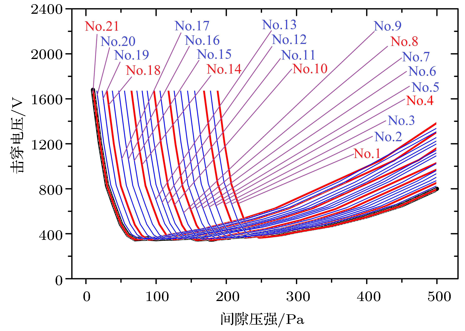
稍不均匀电场间隙的起始击穿路径问题对于气体放电触发以及电极表面削蚀有重要意义. 为研究低气压击穿工况中起始路径的位置规律, 本文建立了一种基于蒙特卡罗碰撞模型与电子运动轨迹假设相结合的路径判断模型(determination of the critical path 模型, DCP模型), 并以2种电极装置的击穿试验来验证DCP模型的正确性. 通过负电极表面的痕迹捕捉和击穿电压的测量可以分别验证DCP模型对起始击穿路径和击穿电压的计算能力. 根据试验结果, 起始击穿路径在不同压强或流率下会发生转移, 且转移趋势与计算结果相符; 同时, DCP模型对击穿电压的计算误差不超过7.9%, 可初步验证DCP模型的计算精度. 在此基础上, 利用DCP模型对其他4种典型的电极装置进行数值计算, 发现全部击穿案例都存在一些共性: 随着间隙压强或流率的升高, 最小电压区域((pd) min过渡区)的起始路径转移频繁, 并伴随击穿电压上下波动, 近似持平, 且起始路径几乎都服从较长路径向较短路径的转移规律. 最后, 通过DCP模型的数值分析, 揭示了上述起始路径相关规律的内在机理.The determination of the critical breakdown path in slightly uneven electric field has played a significant role in gas discharge starting process and electrode surface erosion. In order to study the law of the critical path position in the low-pressure breakdown case, a new algorithm based on the Monte-Carlo collision model and the postulation of " forward-back trajectory for electrons” is established, namely the determination of the critical path(DCP) model. In the DCP model, some electric field lines among the electrodes are regarded as the potential breakdown paths, and the probability of the excitation and ionization collisions between the electrons and the neutrals can be obtained by the Monte-Carlo model. The most probable path to trigger the breakdown will be selected from among all the potential paths, namely the critical breakdown path, and the corresponding breakdown voltage of the critical path will be calculated. A breakdown test with two different electrode devices is performed to examine the accuracy of the DCP model: the critical path and breakdown voltage obtained by the DCP could be examined respectively by capturing the surface traces of negative electrode and measuring the breakdown voltage. According to the test results, the critical breakdown path can transit at different gap pressures or flow rates, and this observation is qualitatively consistent with the calculation results. Meanwhile, the relative error maximum of the breakdown voltage obtained by DCP is less than 7.9%. The accuracy of the DCP model partly depends on the background pressure, and the background pressure in the application case should be less than 103 Pa. Based on the DCP model, the numerical analyses of another four electrode devices are conducted to acquire the common law about the critical breakdown path. According to the calculation results, the transition zone has both a high frequency of critical path transition and a " fluctuant and similarly straight” breakdown voltage curve with the gap pressure or flow rate increasing, and the critical path transition direction follows the rule of " from longer paths to shorter paths”. Lastly, the inherent laws of those regulations about the critical path are revealed by the DCP model.
-
Keywords:
- gap of slightly uneven electric field/
- critical breakdown path/
- path transition/
- numerical simulation
[1] [2] [3] [4] [5] [6] [7] [8] [9] [10] [11] [12] [13] [14] [15] [16] [17] [18] [19] [20] [21] [22] [23] [24] -
碰撞类型 碰撞截面公式/m2 弹性碰撞 $1.699 \times {10^{ - 19}}$ ${E_{k,e}} \leqslant 0.159\; {\rm{ eV}}$ $(0.076E_{k,e}^2 - 0.345E_{k,e}^{1.5} + 0.585{E_{k,e}} - 0.427E_{k,e}^{0.5} + 0.114)\times {10^{ - 17}}$ $0.16\; {\rm{ eV}} < {E_{k,e}} \leqslant 2.8\; {\rm{ eV}}$ $( - 0.002E_{k,e}^2 + 0.03E_{k,e}^{1.5} - 0.166{E_{k,e}} + 0.402E_{k,e}^{0.5} - 0.317)\times {10^{ - 17}}$ $2.8\; {\rm{ eV}} < {E_{k,e}} \leqslant 24.7\; {\rm{ eV}}$ $( - 0.0022E_{k,e}^{1.5} + 0.043{E_{k,e}} - 0.28567E_{k,e}^{0.5} + 0.6518)\times {10^{ - 17}}$ $24.7\; {\rm{ eV}} < {E_{k,e}} \leqslant 50\; {\rm{ eV}}$ $0.00064 \times {10^{ - 17}}$ ${E_{k,e}} > 50\; {\rm{ eV}}$ 激发碰撞 $0.0$ ${E_{k,e}} \leqslant 8.4\; {\rm{ eV}}$ $(0.002E_{k,e}^2 - 0.023E_{k,e}^{1.5} + 0.098{E_{k,e}} - 0.188E_{k,e}^{0.5} + 0.135)\times {10^{ - 16}}$ $8.4\; {\rm{ eV}} < {E_{k,e}} \leqslant 11\; {\rm{ eV}}$ $(0.0007E_{k,e}^2 - 0.012E_{k,e}^{1.5} + 0.08{E_{k,e}} - 0.23E_{k,e}^{0.5} + 0.23)\times {10^{ - 17}}$ $11\; {\rm{ eV}} < {E_{k,e}} \leqslant 25\; {\rm{ eV}}$ $\begin{gathered}(0.1 \times {10^{ - 6}}E_{k,e}^2 + 0.8 \times {10^{ - 5}}E_{k,e}^{1.5} - 0.0002{E_{k,e}} + 0.002E_{k,e}^{0.5} + 0.001)\hfill \\ \times {10^{ - 17}} \hfill \\ \end{gathered} $ $25\; {\rm{ eV}} < {E_{k,e}} \leqslant 500\; {\rm{ eV}}$ 电离碰撞 $0.0$ ${E_{k,e}} \leqslant 12.1\; {\rm{ eV}}$ $(0.00136E_{k,e}^2 - 0.0226E_{k,e}^{1.5} + 0.14{E_{k,e}} - 0.38E_{k,e}^{0.5} + 0.387)\times {10^{ - 17}}$ $12.1\; {\rm{ eV}} < {E_{k,e}} \leqslant 20\; {\rm{ eV}}$ $( - 0.0006E_{k,e}^2 + 0.014E_{k,e}^{1.5} - 0.133{E_{k,e}} + 0.574E_{k,e}^{0.5} - 0.93)\times {10^{ - 17}}$ $20\; {\rm{ eV}} < {E_{k,e}} \leqslant 44\; {\rm{ eV}}$ $( - 1.6 \times {10^{ - 6}}E_{k,e}^2 + 0.1E_{k,e}^{1.5} - 0.024{E_{k,e}} + 0.022E_{k,e}^{0.5} - 0.02)\times {10^{ - 17}}$ $44\; {\rm{ eV}} < {E_{k,e}} \leqslant 360\; {\rm{ eV}}$ -
[1] [2] [3] [4] [5] [6] [7] [8] [9] [10] [11] [12] [13] [14] [15] [16] [17] [18] [19] [20] [21] [22] [23] [24]
计量
- 文章访问数:7648
- PDF下载量:71
- 被引次数:0












下载:
















