Mid-infrared optical parametric oscillator (OPO) operating in the mid-infrared transmission window (3—5 μm wavelength range) is one of hot issues in the field of laser system. It has many applications in environmental detection, remote sensing, and medicine. Besides, this laser system is used as a key component of infrared countermeasures. The optical damage limit of nonlinear crystal is a great challenge to the mid-infrared OPO which is pumped by a nanosecond laser source. Therefore, the pump beam diameter should be appropriately increased to avoid damaging the crystal when scaling a nanosecond OPO to high pulse energy. The result of this design is that the Fresnel number in the cavity is increased and the beam quality is deteriorated. In order to improve the beam quality of mid-infrared OPO laser, a 90
°image-rotating four-mirror non-planar ring resonator structure is designed. The advantages of this design include the general ring resonators, such as greatly reduced feedback into the pump laser and the avoidance of optical damage caused by standing wave cavity structure. Most importantly, the image rotating cavity can uniform the beam in the cavity and improve the beam quality. In this paper, the equivalent sphere representation of a four-mirror nonplanar ring resonator is established, and the image rotation angle of this special cavity structure is calculated. Based on this method, the parameters related to the 90
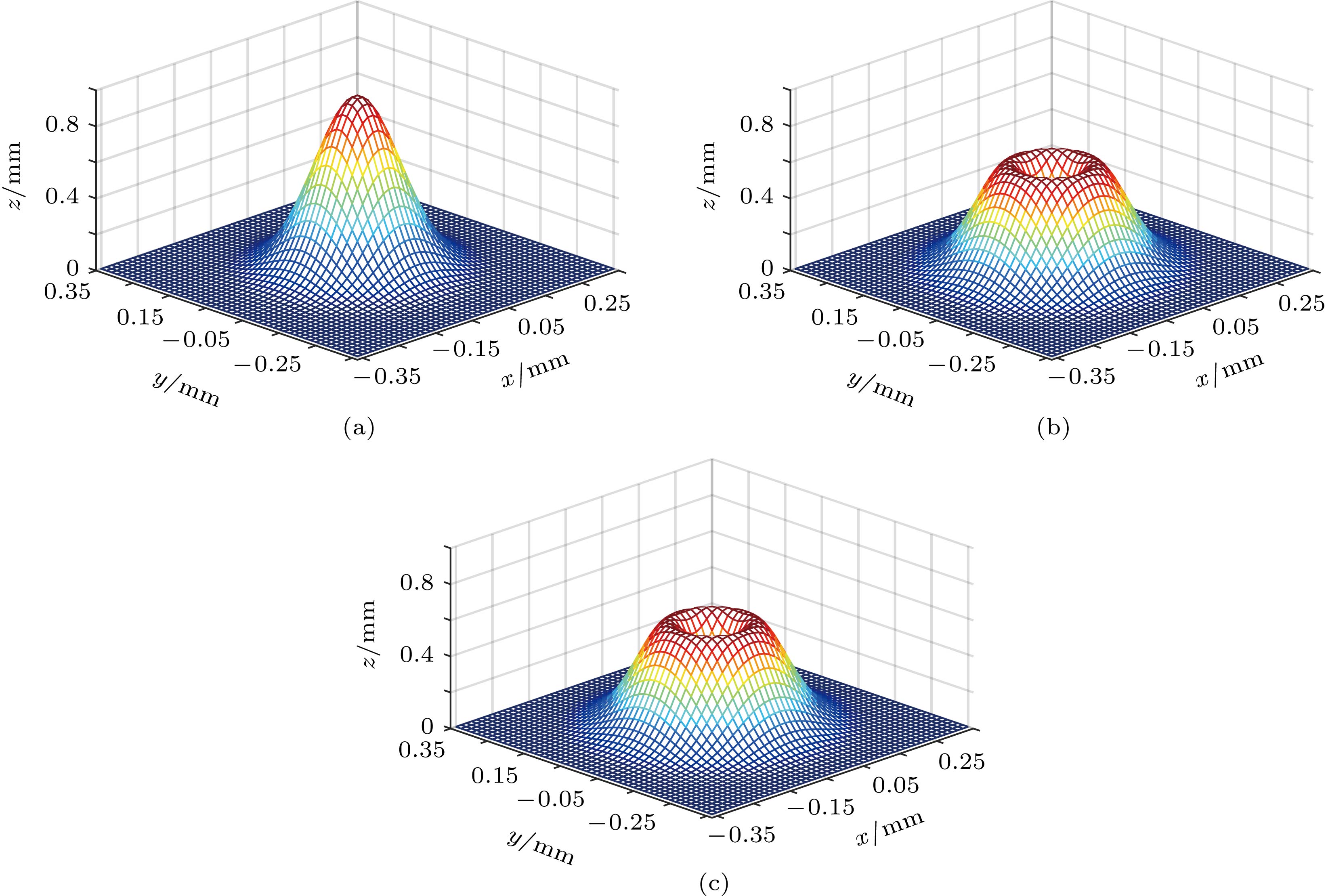
°image rotating resonator structure suitable for mid-infrared OPO operation are designed. The self-reproduction of the transverse mode in the axially-asymmetric resonator is further established. It is found that the transverse mode in the resonator is gradually uniformed as the rotation angle of the image changes from 0
°to 90
°. When the rotation angle is 90
°, the fundamental mode and the high-order mode both exhibit very good central symmetry. Finally, the mid-infrared ZnGeP2 OPO laser with the 90
°image rotating resonator structure is used to verify the improvement of beam quality. The beam quality of
$M_X^2=1.81 $
and
$M_Y^2=1.61$
are achieved. It can be proved that the 90
°rotating four-mirror non-planar ring resonator has a significant effect on the optimization of the output beam quality of the mid-infrared OPO laser system.