-
本文采用多组态相互作用及Davidson修正方法和全电子基组计算了SH –阴离子的
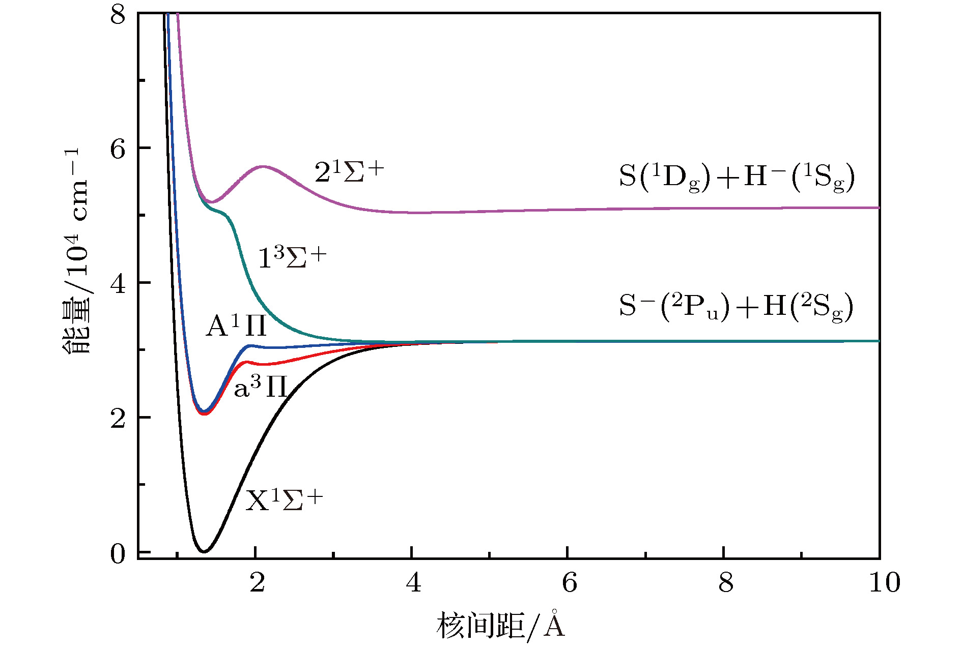
${{\rm{X}}^1}{\Sigma ^ + }$ ,${{\rm{a}}^3}\Pi $ 和${{\rm{A}}^1}\Pi $ 态的势能曲线、电偶极矩和跃迁偶极矩. 计算的光谱常数与实验值及已有的理论值符合得很好. 在计算中考虑了自旋-轨道耦合效应. 计算得到${{\rm{a}}^3}{\Pi _1}(\nu ' = 0) \leftrightarrow {{\rm{X}}^1}\Sigma _{{0^ + }}^ + (\nu '' = 0)$ 和${{\rm{A}}^1}{\Pi _1}(\nu ' = 0) \leftrightarrow {{\rm{X}}^1}\Sigma _{{0^ + }}^ + (\nu '' = 0)$ 跃迁具有高对角分布的弗兰克-康登因子, 分别为0.9990和0.9999; 计算得到${{\rm{a}}^3}\Pi _1$ 和${{\rm{A}}^1}\Pi _1$ 态的自发辐射寿命分别为1.472和0.188 ms.${{\rm{A}}^1}{\Pi _1} \leftrightarrow {{\rm{X}}^1}\Sigma _{{0^ + }}^ + $ 跃迁存在中间态${{\rm{a}}^3}{\Pi _{{0^ + }}}$ 和${{\rm{a}}^3}{\Pi _1}$ , 但中间态对激光冷却SH –阴离子的影响可以忽略. 分别利用${{\rm{a}}^3}{\Pi _1}(\nu ' = 0) \leftrightarrow {{\rm{X}}^1}\Sigma _{{0^ + }}^ + (\nu '' = 0)$ 和${{\rm{A}}^1}{\Pi _1}(\nu ' = 0) \leftrightarrow {{\rm{X}}^1}\Sigma _{{0^ + }}^ + (\nu '' = 0)$ 跃迁构建了准闭合的能级系统, 冷却所需的激光波长分别为492.27和478.57 nm. 最后预测了激光冷却SH –阴离子能达到的多普勒温度和反冲温度. 这些结果为进一步实验提供了理论参数.The potential energy curves, dipole moments, and transition dipole moments for the${{\rm{X}}^1}{\Sigma ^ + }$ ,${{\rm{a}}^3}\Pi $ , and${{\rm{A}}^1}\Pi $ electronic state of sulfur hydride anion (SH –) are calculated by using the multi-reference configuration interaction method plus Davidson corrections (MRCI+ Q) with all-electron basis set. The scalar relativistic corrections and core-valence correlations are also considered. In the CASSCF calculations, H(1s) and S(3s3p4s) shells are chosen as active space, and the rest orbitals S(1s2s2p) as closed-shell. In the MRCI+ Qcalculations, the S(1s2s2p) shells are used for the core-valence correlation. Spectroscopic parameters, Einstein spontaneous emission coefficient, Franck-Condon factors, and spontaneous radiative lifetimes are obtained by using Le Roy’s LEVEL8.0 program. The calculated spectroscopic parameters are in good agreement with available experimental data and theoretical values. Spin-orbit coupling (SOC) effects are evaluated with Breit-Pauli operators at the MRCI+ Qlevel. Transition dipole moments (TDMs) for the${{\rm{A}}^1}{\Pi _1} \leftrightarrow {{\rm{X}}^1}\Sigma _{{0^ + }}^ + $ ,${{\rm{a}}^3}{\Pi _{{0^ + }}} \leftrightarrow {{\rm{X}}^1}\Sigma _{{0^ + }}^ + $ ,${{\rm{a}}^3}{\Pi _1} \leftrightarrow {{\rm{X}}^1}\Sigma _{{0^ + }}^ + $ ,${{\rm{A}}^1}{\Pi _1} \leftrightarrow {{\rm{a}}^3}{\Pi _{{0^ + }}}$ and${{\rm{A}}^1}{\Pi _1} \leftrightarrow {{\rm{a}}^3}{\Pi _1}$ transitions are also calculated. The strength for the${{\rm{A}}^1}{\Pi _1} \leftrightarrow {{\rm{X}}^1}\Sigma _{{0^ + }}^ + $ is the strongest in these five transitions, the value of TDM at R eis –1.3636 D. We find that the value of TDM for the${{\rm{a}}^3}{\Pi _1} \leftrightarrow {{\rm{X}}^1}\Sigma _{{0^ + }}^ + $ transition at R eis 0.5269 D. Therefore, this transition must be taken into account to build the scheme of laser-cooled SH –anion. Highly diagonally distributed Franck-Condon factor f 00for the${{\rm{a}}^3}{\Pi _1}(\nu ' = 0) \leftrightarrow {{\rm{X}}^1}\Sigma _{{0^ + }}^ + $ $ (\nu '' = 0)$ transition is 0.9990 and the value for the${{\rm{A}}^1}{\Pi _1}(\nu ' = 0) \leftrightarrow {{\rm{X}}^1}\Sigma _{{0^ + }}^ + (\nu '' = 0)$ transition is 0.9999. Spontaneous radiative lifetimes of$\tau \left( {{{\rm{a}}^3}{\Pi _1}} \right)= 1.472 \;{\text{μ}}{\rm{s}}$ and$\tau \left( {{{\rm{A}}^1}{\Pi _1}} \right)=0.188 \;{\text{μ}}{\rm{s}}$ are obtained, which can ensure that laser cools SH –anion rapidly. To drive the${{\rm{a}}^3}{\Pi _1} \leftrightarrow {{\rm{X}}^1}\Sigma _{{0^ + }}^ + $ and${{\rm{A}}^1}{\Pi _1} \leftrightarrow {{\rm{X}}^1}\Sigma _{{0^ + }}^ + $ transitions, just one laser wavelength is required. The wavelengths are 492.27 nm and 478.57 nm for two transitions, respectively. Notably, the influences of the intervening states${{\rm{a}}^3}{\Pi _1}$ and${{\rm{a}}^3}{\Pi _{{0^{\rm{ + }}}}}$ on the${{\rm{A}}^1}{\Pi _1} \leftrightarrow {X^1}\Sigma _{{0^ + }}^ + $ transition are small enough to implement a laser cooling project. A spin-forbidden transition and a three-electronic-level transition optical scheme of laser-cooled SH –anion are constructed, respectively. In addition, the Doppler temperatures and recoil temperatures for the${{\rm{a}}^3}{\Pi _1} \leftrightarrow {{\rm{X}}^1}\Sigma _{{0^ + }}^ + $ and${{\rm{A}}^1}{\Pi _1} \leftrightarrow {{\rm{X}}^1}\Sigma _{{0^ + }}^ + $ transitions of laser-cooled SH –anion are also obtained, respectively.-
Keywords:
- spin-orbit coupling/
- Franck-Condon factors/
- spontaneous radiative lifetimes/
- laser cooling
[1] [2] [3] [4] [5] [6] [7] [8] [9] [10] [11] [12] [13] [14] [15] [16] [17] [18] [19] [20] [21] [22] [23] [24] [25] [26] [27] [28] [29] [30] [31] [32] [33] [34] [35] [36] [37] -
电子态 Re/Å $\omega_{\rm{e}}$/cm–1 $\omega_{\rm{e}}\chi_{\rm{e}}$/cm–1 Be/cm–1 De/eV Te/cm–1 RMS/cm–1 ${{\rm{X}}^1}{\Sigma ^ + }$ 本文工作 1.3435 2622.04 46.66 9.5590 3.8793 0 4.4107 实验值[13] 1.34—0.02 2700—300 9.46—0.32 实验值[14] 2648—110 9.39—0.3 理论值[17] 1.348 2642 52 9.49 3.902 0 理论值[18] 1.346 2637 52 9.52 理论值[19] 1.3440 2682.86 39.2 9.551 4.19 ${{\rm{a}}^3}\Pi $ 本文工作 第一势阱 1.3466 2583.61 73.22 9.5148 0.9598 20436.92 0.0604 理论值[19] 1.3746 1936.16 307.503 9.129 1.38 22082.7 本文工作 第二势阱 2.1021 778.72 133.34 3.9045 0.4356 27816.71 1.1556 ${{\rm{A}}^1}\Pi $ 本文工作 第一势阱 1.3441 2626.59 61.51 9.5511 1.1848 20852.70 0.0474 理论值[19] 1.3432 2554.97 44.186 9.561 1.33 22225.2 本文工作 第二势阱 2.2430 424.80 36.810 3.4296 0.1217 30299.28 0.3277 $\Omega$ state Re/Å $\omega_{\rm{e}}$/cm–1 $\omega_{\rm{e}}\chi_{\rm{e}}$/cm–1 Be/cm–1 De/eV Te/cm–1 RMS/cm–1 ${{\rm{X}}^1}\Sigma _{{0^ + }}^ + $ 1.3435 2618.53 44.58 9.5589 3.8575 0 4.0232 ${{\rm{a}}^3}{\Pi _2}$ 第一势阱 1.3466 2584.13 72.08 9.5151 0.9607 20247.58 0.0257 第二势阱 2.1011 779.62 136.27 3.9082 0.4429 27639.82 1.1521 ${{\rm{a}}^{3}}{\Pi _1}$ 第一势阱 1.3463 2588.54 69.87 9.5196 0.9665 20363.64 0.0537 第二势阱 2.1005 773.93 135.45 3.9105 0.4173 27802.87 1.0389 ${{\rm{a}}^3}{\Pi _{{0^ - }}}$ 第一势阱 1.3466 2583.83 70.94 9.5149 0.9589 20624.88 0.0203 第二势阱 2.1036 776.84 132.77 3.8990 0.398 27989.31 1.1617 ${{\rm{a}}^3}{\Pi _{{0^ + }}}$ 第一势阱 1.3466 2583.89 70.92 9.5149 0.9594 20625.01 0.0195 第二势阱 2.1012 780.04 136.69 3.9079 0.4536 27999.08 1.3153 ${{\rm{A}}^1}{\Pi _1}$ 第一势阱 1.3444 2621.70 61.52 9.5464 1.2006 20924.71 0.0392 第二势阱 2.2449 422.69 37.82 3.4237 0.1026 30306.30 0.2834 Transition A00 A01 A02 A03 A0 f00 f01 f02 f03 $\tau $ = 1/A0 A10 A11 A12 A13 f10 f11 f12 f13 ${\operatorname{a} ^3}{\Pi _1} \leftrightarrow {{\rm{X}}^1}\Sigma _{{0^ + }}^ + $ 677122 2184.69 25.3676 2.8984 679335 0.9990 0.0009 3.38 × 10–5 3.46 × 10–6 1.472 × 10–6 15577.8 561038 4025.17 35.1337 0.0010 0.9931 0.0054 0.0004 ${{\rm{A}}^1}{\Pi _1} \leftrightarrow {{\rm{X}}^1}\Sigma _{{0^ + }}^ + $ 5310820 33.9404 30.5746 0.1736 5310885 0.9999 0.0001 2.18 × 10–6 1.07 × 10–8 1.883 × 10–7 2970.05 5262790 1089.41 217.62 0.0006 0.9992 0.0002 4.13 × 10–5 ${{\rm{a}}^3}{\Pi _{{0^ + }}} \leftrightarrow {{\rm{X}}^1}\Sigma _{0^ + }^ + $ 2229.24 98.3384 0.2456 0.0126 2327.84 0.9989 0.0011 3.82 × 10–5 3.53 × 10–6 4.295 × 10–4 102.87 2852.21 284.48 3.3484 0.0317 0.8795 0.0877 0.0010 -
[1] [2] [3] [4] [5] [6] [7] [8] [9] [10] [11] [12] [13] [14] [15] [16] [17] [18] [19] [20] [21] [22] [23] [24] [25] [26] [27] [28] [29] [30] [31] [32] [33] [34] [35] [36] [37]
计量
- 文章访问数:7110
- PDF下载量:72
- 被引次数:0












下载:



