Nanomechanical resonator has important applications in the field of high-precision detection because it has a high-
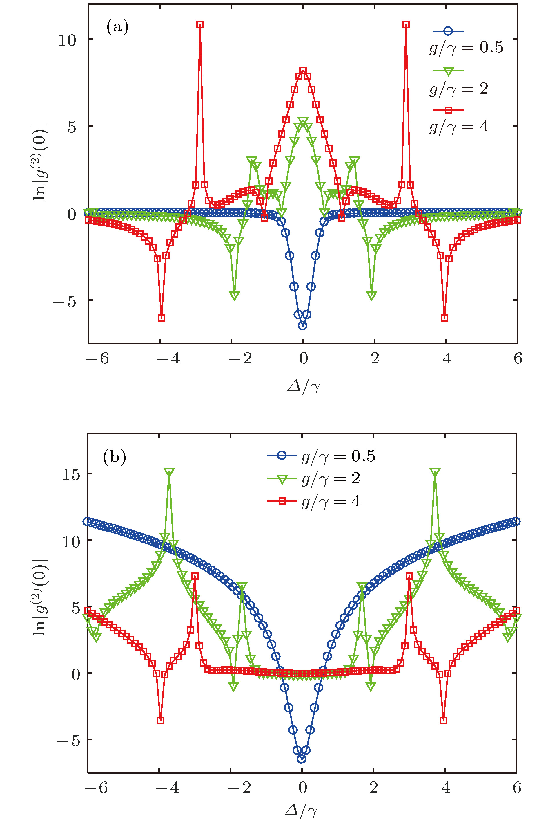
Qfactor, high vibration frequency, small size, and other excellent characteristics. Superconducting qubit has very large magnetic dipole moments, so it can be easily combined with nanomechanical resonator. Furthermore, the system parameters including frequency and coupling strength can be designed according to requirements beforehand, which makes a superconducting qubit an ideal artificial atom. Compared with natural atom, superconducting qubit has abundant energy levels. For these reasons, nanomechanical system has aroused wide interest in the engineering, electron, physical and other fields of science and technology. According to the recent research, a new approach to the zero eigenvalues of non-Hermitian Hamiltonian is applied to the optomechanical system. It was found that the scheme is superior to conventional photon blockade (CPB) and unconventional photon blockade (UPB) in the cavity quantum electrodynamics (QED) system. So we propose a scheme to induce phonon blockade in order to explore a new avenue to the research about phonon blockades in the quantum open system. We study the phonon blockade in an optomechanical system that a qubit is coupled with nanomechanical resonator (NAMR) driven by two external weakly driving fields respectively in this way. In this paper, the Hamiltonian of such a system can be treated by the non-Hermitian Hamiltonian and it can be described in the form of matrix. Then the phenomenon of phonon blockade occurs when all the eigenvalues in the form of matrix are equal to zero. It is found that strong phonon antibunching can be triggered in both strong and weak nonlinearity when we use the method which has been already used in a gain optical cavity system. The distinct result reflects the advantage of our approach which possesses some outstanding characters between the ordinary methods (conventional phonon blockade and unconventional phonon blockade). In addition, the effect of our avenue on phonon blockade is analyzed and also the distinction between the conventional phonon blockade (CPNB) and unconventional phonon blockade (UPNB) is compared with each other in detail. By analytical calculation, the optimal conditions are given and the underlying physical mechanism is explained. In the comparison between CPNB and UPNB, we show the superiority of our scheme through some graphs. Finally, we describe briefly the measurements of phonon blockade in the NAMR-qubit system via a superconducting cavity. The proposal may provide a theoretical way to guide the manufacture of phonon devices in the future. The results obtained here may have a great significance and application in the field of quantum information processing and precision measurement.