Magnetic nanorings can be high-density integrated because their stray field is low in vortex states. In this paper, the magnetic dynamic properties of the defective Fe nanorings are studied. For convenience, we assume the defect to be round in shape, whose coordinate is (0,
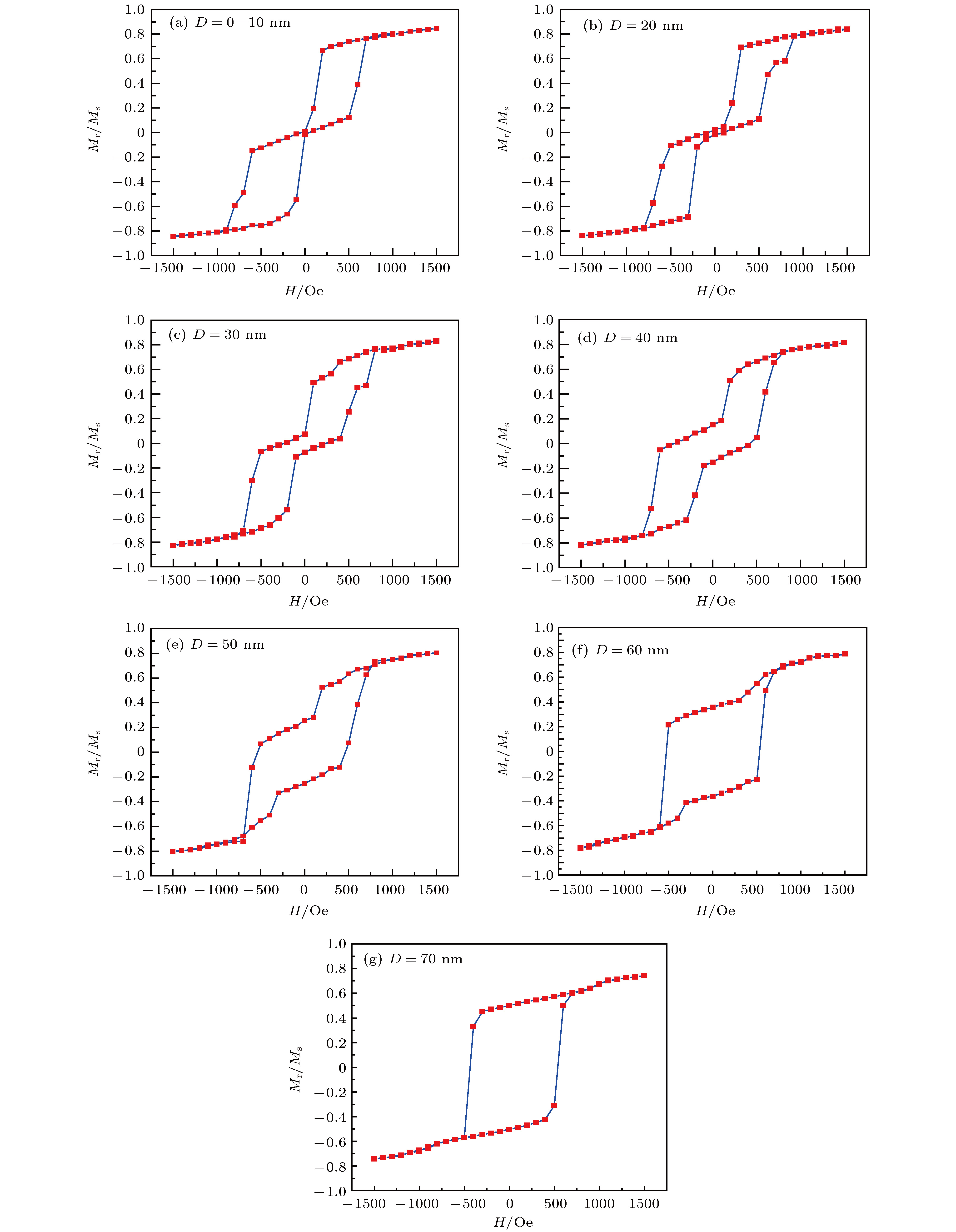
Y). Based on the Monte Carlo method and fast Fourier transformation micromagnetism method, the magnetic properties of the defective Fe nanorings, such as hysteresis loops, spin configurations, remanence, etc., are studied. The simulation results indicate that the magnetization process of the system can be affected by the sizes and locations of the defects. When the defects are small, the system has a bistable state, which is similar to the system without defects. The transition state of the system increases as the defects are enlarged, and the bistable state will be no longer so visible. The system becomes open when the defects are big enough. Meanwhile, its hysteresis loop presents a rectangular shape which is similar to cluster’s or quantum dot’s. The remanence increases with the radius of defect increasing. These results are in accord with the magnetic properties of asymmetric magnetic nanoring. In order to explain the above results, the spin configurations of the system are shown. The spins of defective nanorings are divided into two parts, i.e., upper half part and lower half part, which are represented as blue and black spins respectively. When the system does not have any defects, the number of blue spins is equal to black spins’. Therefore the remanence is zero when the system is in a vortex state. It is found that the number of blue spins decreases as the radius of defect increases. This situation results in the total magnetic moment increasing, which leads the remanence to increase. However, the relationship between remanence and
Y(the distance between center of nanoring and center of defect) is nonlinear. The remanence first increases and then decreases with
Yincreasing. The simulation results can be explained by changing the spin configuration. By analyzing the spins of the upper and lower part, the magnetic moment of the system is analyzed. It is found that the number of the spins and the local vortexes can affect the remanence significantly. The results show that the magnetic properties of Fe nanorings can be affected by the defect.