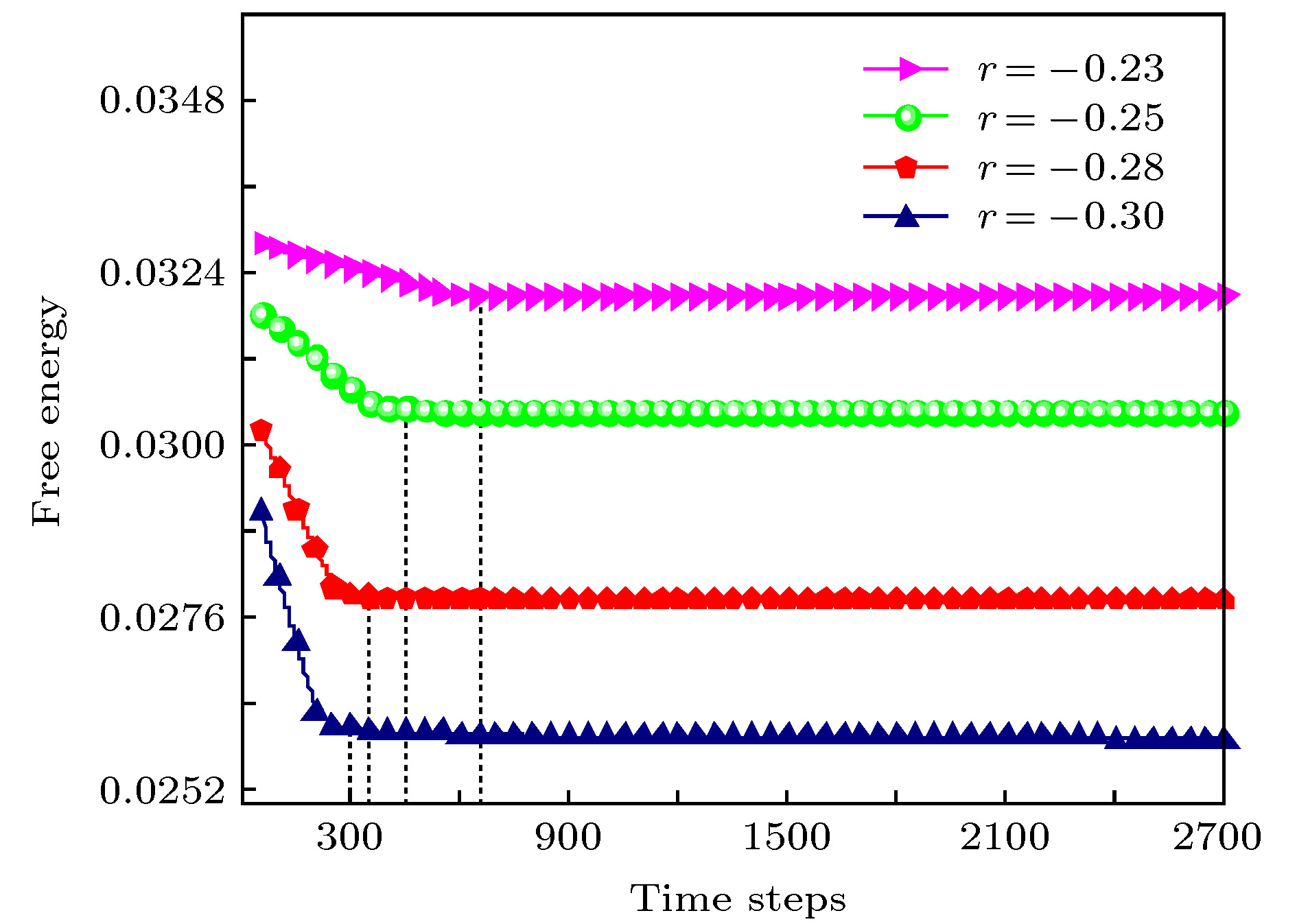
For crystal materials, the grain boundary structure is complex, which is usually the place in which stress concentration and impurity accumulate. Grain boundary structure and movement have a great influence on the macroscopic properties of crystal materials, therefore, it is of great significance to study the microstructure of grain boundary. With the phase filed crystal approach, the structure of low-angle symmetric tilt grain boundary and dislocation motion at nanoscale are studied. The low-angle symmetric tilt grain boundary structure can be described by a dislocation model, in which the grain boundary can be regarded as consisting of a series of edge dislocations at a certain distance. For a relaxation process and applied stress process, the position change of dislocation motion at grain boundaries and the change of free energy density of the system are observed. Furthermore, we also analyze the influence of temperature on the grain boundary structure and the dislocation motion. In the relaxation process, the free energy of the crystal system is higher under high temperature conditions. The results show that the motion of dislocation pairs in the grains can consume the internal energy and release the distortion energy stored at the grain boundary, and thus making the system more stable and the energy reach the lowest value earlier. Simulation results show that the lower the temperature of the system, the faster the free energy density decreases, the faster the regular arrangement rate of atoms increases, the shorter the time required for the free energy density to reach a stable state becomes. And when the grain boundary reaches a steady state, the arrangement of the dislocations becomes more and more regular and arranges in a straight line. For an applied stress process, with the decrease of temperature, the time required for the first encounter of dislocation pairs and the time required for the formation of single crystal become longer, and it takes more time for the first encounter of dislocation pairs in crystals to disappear completely. Further studies also show that with the decrease of temperature, the free energy density exhibits a multi-stage ascending and descending process. The rising process of energy curve corresponds to the stage of dislocation climbing along the grain boundary, and the decline process corresponds to the stage of dislocation decomposition and encounter annihilation. At the same time, the dislocation pairs’ reaction becomes more complex. Finally, the dislocations annihilate with each other.