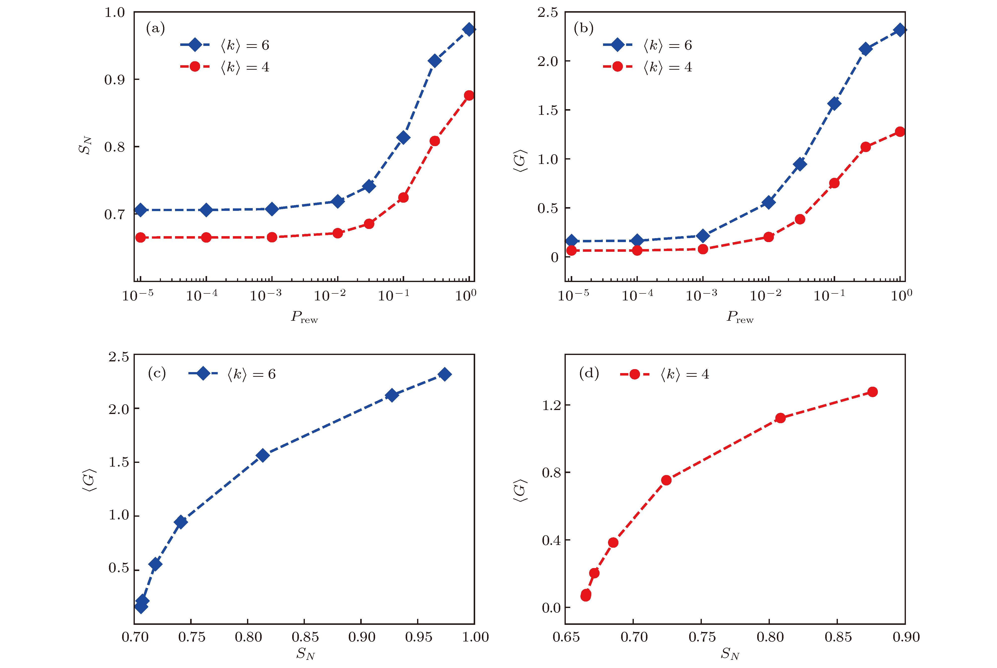
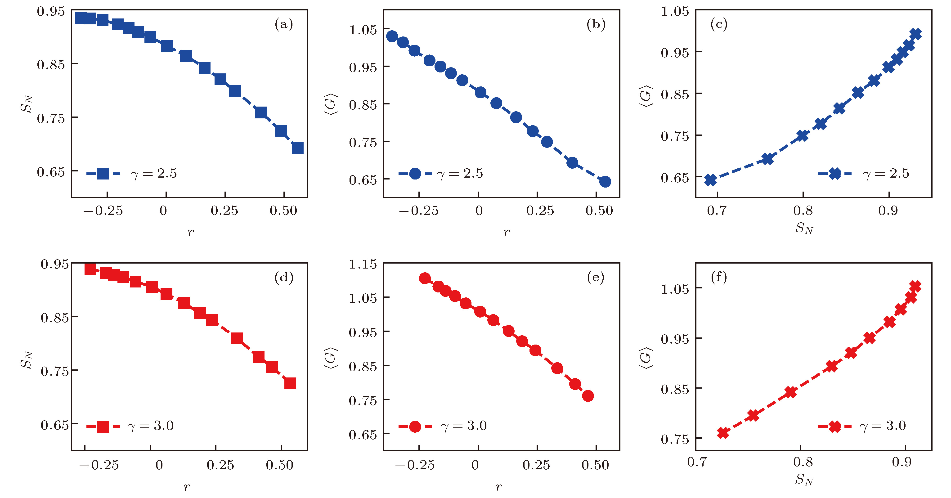
Optimization of the network’s electrical transport properties not only conduces to understanding the relationship between structure and network function, but also can improve the electrical engineering technology. The effective way to solve this problem is to treat the network from the information viewpoint and seek the information structure measure which affects crucially the network electrical transport performance. Recent studies have shown that the communicability sequence entropy of complex networks can effectively quantify the global structural information of networks. Based on this measure, the difference between networks can be quantified effectively, and the connotation of communicability sequence entropy is explained. In this paper, we predict that the electrical transport performance of complex networks has a strong correlation with the communicability sequence entropy. For this reason, we mainly study the correlation characteristics of the electrical transport performance and communicability sequence entropy of small-world networks, scale-free networks, degree-correlated scale-free networks, community networks, and IEEE57 and other electrical node networks. The results show that the electrical transport performances of these networks are all a monotonically increasing function of communicability sequence entropy, namely, the communicability sequence entropy, and the electrical transport properties have a positive correlation. Specifically, in the process evolving from a regular network to a small-world network, the communicability sequence entropy and electrical transport performance of the network increase gradually. For scale-free networks, in the process of increasing degree distribution exponent, communicability sequence entropy and electrical transport performance of the network increase gradually. For degree-correlated scale-free networks, during the evolution from assortative to disassortative topology, communicability sequence entropy and electrical transport performance both decrease gradually. For networks with community structure, the communicability sequence entropy and electrical transport performance decrease with the increase of the number of communities. Finally, the correlation between communicability sequence entropy and electrical transport performance of two classical node power supply networks and corresponding randomization network models are also studied. The results show that as the order of
dincreases, both communicability sequence entropy and electrical transport performance decrease. And both are getting closer to the original network's communicability sequence entropy and electrical transport performance. The rule is beneficial to providing an effective strategy for designing a high transmission efficiency of the power network, that is, we can optimize the electrical transport performance by improving the network communicability sequence entropy.