-
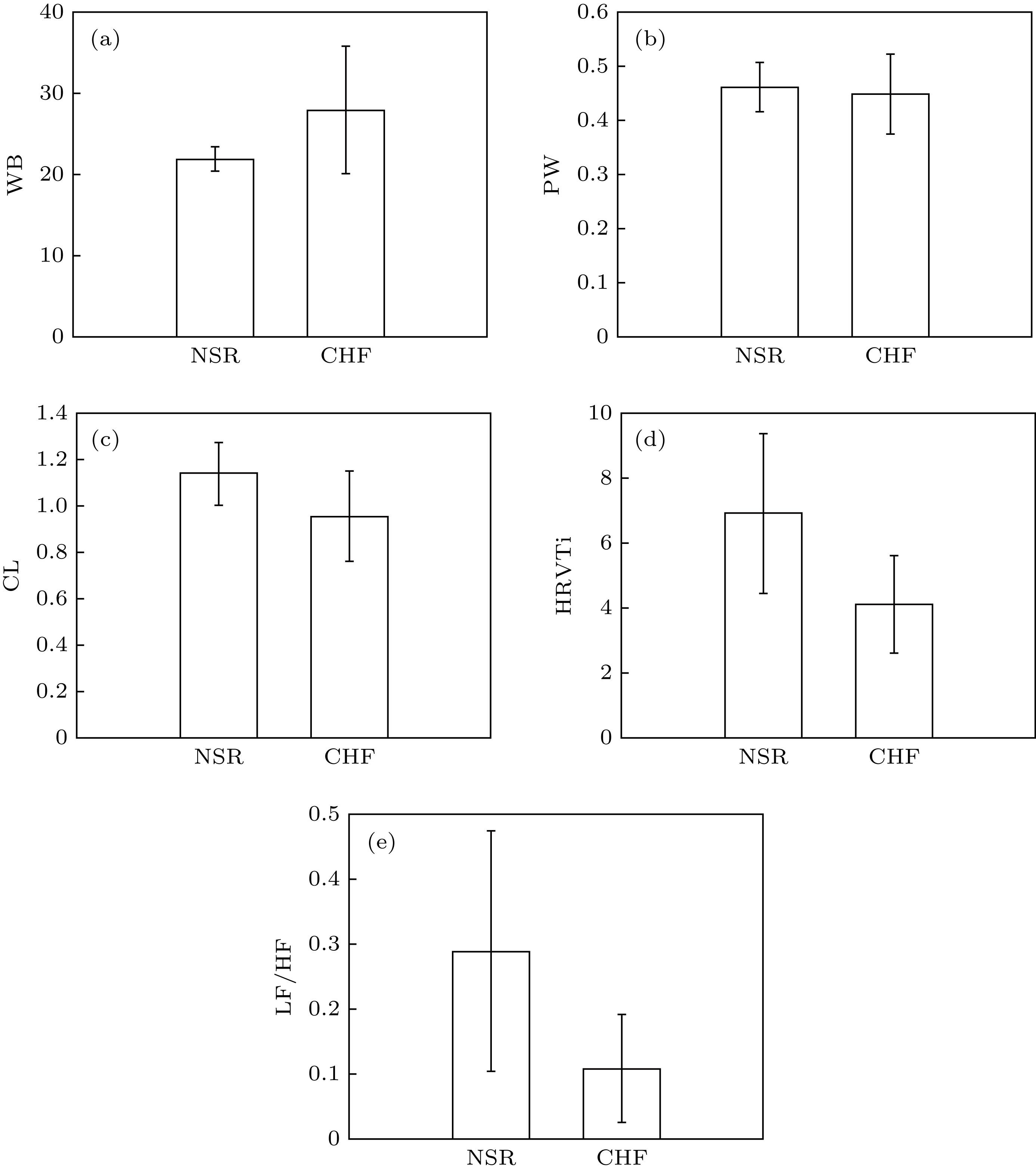
心率变异性的复杂波动反映了心脏的自主调节功能. 本文提出了—ICBN方法, 该方法通过改进的自适应噪声完备集合经验模态分解方法对心率变异性信号进行分解, 得到多个模态分量, 计算每个模态分量的bubble熵得到熵值向量, 把该向量映射成复杂网络, 通过计算网络的特征参数, 对心率变异性在不同时频尺度状态下的非线性特征之间的耦合关系进行度量. 首先, 采用时域、频域和ICBN分析方法对29名充血性心力衰竭病人和29名正常窦性心律对象的心率变异性进行分析, 结果表明: 时域指标三角指数HRVTi, 频域指标LF/HF, 网络层级加权值WB, 平均点权值PW, 特征路径长度CL具有统计学差异; 基于网络层级加权值WB, 特征路径长度CL, 频域指标LF/HF和Fisher判别方法的识别模型对充血性心力衰竭病人的识别正确率达到89.66%. 然后, 又对43名房颤心律失常患者和43名正常窦性心律对象的心率变异性进行分析, 结果表明: 时域指标SDNN, pNN50, RMSSD, 频域指标LF/HF, 网络层级加权值WB, 平均点权值PW具有统计学差异; 时域指标pNN50, RMSSD, 频域指标LF/HF和网络层级加权值WB, 平均点权值PW作为特征向量, Fisher判别方法作为分类器, 对房颤心律失常患者的识别正确率达到91.86%. 综合以上实验结果可知, 本文为心率变异性的度量研究提供了一种新的思路.
-
关键词:
- 心率变异性/
- 改进的自适应噪声完备集合经验模态分解(ICEEMDAN)/
- bubble熵/
- 复杂网络
The complex fluctuation of heart rate variability reflects the autonomous regulation function of the heart. In this paper, a novel method of measuring the heart rate variability is proposed. Firstly, the heart rate variability signal is decomposed by the improved complete ensemble empirical mode decomposition with adaptive noise method, and the multiple intrinsic mode functions are obtained, and the bubble entropy of each intrinsic mode function is calculated to obtain an entropy value vector. Then, the vector is mapped to a network based on a limited penetrable horizontal visibility graph method. By calculating various characteristic parameters of the network, the coupling relationship between the nonlinear features of heart rate variability in different time-frequency scale states are studied. The characteristic parameters include mean value of aggregation coefficient (MC), the characteristic path length (CL), the topological entropy of network (TE), the network level weighted bubble value (WB), and the pseudo mean value of node weight (PW). Firstly, the heart rate variabilities of 29 patients with congestive heart failure and 29 normal sinus heart rhythm subjects are analyzed by time domain, frequency domain and ICBN analysis method, the Ttest is used for statistical analysis, and Fisher discriminant method is used for classification. The results show that the time domain triangular index HRVTI, frequency domain index LF/HF, WB, PW and CL in ICBN have statistical differences. The accuracy rate of recognition model based on WB, CL, frequency domain index LF/HF and Fisher discriminant method is 89.66%. Secondly, the heart rate variabilities of 43 patients with atrial fibrillation arrhythmia and another 43 normal sinus heart rhythm subjects are analyzed by the same methods, including the time domain analyzed method, frequency domain analyzed method, and ICBN analyzed method. Then, the T test is also used for statistical analysis, and Fisher discriminant method is used for classification. The results show that using the time domain index pNN5 and RMSSD, frequency index LF/HF, ICBN index WB and PW as the feature vectors, and the Fisher discriminant mode as the classifier, the accuracy rate of recognition for atrial fibrillation arrhythmia is 91.86%. From these results it is concluded that the ICBN method provides a new idea for the heart rate variability measurement.-
Keywords:
- heart rate variability/
- improved complete ensemble empirical mode decomposition with adaptive noise/
- bubble entropy/
- complex network
[1] [2] [3] [4] [5] [6] [7] [8] [9] [10] [11] [12] [13] [14] [15] [16] [17] [18] [19] [20] [21] [22] [23] [24] -
指标 单位 描述与定义 SDNN ${\rm{ms}}$ 相邻正常心跳间隔的标准差${\rm{SDNN}} = {\sqrt {\dfrac{1}{N}\displaystyle \sum \limits_{i = 1}^N \left( {{\rm{RR}}{s_i} - \dfrac{1}{N}\mathop \sum \limits_{i = 1}^N {\rm{RR}}{s_i}} \right)} ^{}}$ RMSSD ms 相邻正常心跳间隔差值的平方和均值的均方根${\rm{RMSSD}} = \sqrt {\dfrac{1}{{N - 1}}\displaystyle \sum \limits_{i = 1}^{N - 1} {{\left( {{\rm{RR}}{s_{i + 1}} - {\rm{RR}}{s_i}} \right)}^2}} $ pNN50 % 相邻正常心跳间隔差值超过50毫秒的比例${\rm{PNN}}50 = \dfrac{{{\rm{num}}\left[ {\left( {{\rm{RR}}{s_{i + 1}} - {\rm{RR}}{s_i}} \right) > 50{\rm{ ms}}} \right]}}{{N - 1}}$ HRVTi — 相邻正常心跳间隔的总个数除以相邻正常心跳间隔直方图的高度 指标 单位 描述与定义 频率范围 Total power ${\rm{m}}{{\rm{s}}^2}$ 所有频率范围的功率谱总和 ≤ 0.4 Hz VLF ${\rm{m}}{{\rm{s}}^2}$ 甚低频范围内的功率谱 0.003—0.040 Hz LF ${\rm{m}}{{\rm{s}}^2}$ 低频范围内的功率谱 0.04—0.15 Hz HF ${\rm{m}}{{\rm{s}}^2}$ 高频范围内的功率谱 0.15—0.40 Hz LF/HF % LF$\left[ {{\rm{m}}{{\rm{s}}^2}} \right]$ 与HF$\left[ {{\rm{m}}{{\rm{s}}^2}} \right]$的比值 — 指标 NSR1(mean$ \pm $SD) CHF(mean$ \pm $SD) 标准误差差值的95%置信区间 $p$ 下限 上限 ICBN WB 21.853$ \pm $1.479 27.835$ \pm $7.741 3.050 8.914 0*** PW 0.563$ \pm $0.051 0.455$ \pm $0.103 –0.151 –0.066 0*** TE 0.956$ \pm $0.019 0.937$ \pm $0.037 –0.034 –0.005 0.009** CL 1.135$ \pm $0.133 0.954$ \pm $0.194 –0.268 –0.094 0*** MC 0.684$ \pm $0.035 0.705$ \pm $0.026 –0.038 –0.006 0.009** 时域 SDNN 81.507$ \pm $38.566 59.535$ \pm $44.76 –43.951 0.007 0.05 pNN50 11.476$ \pm $14.676 10.772$ \pm $14.110 –8.277 6.870 0.853 RMSSD 51.172$ \pm $54.895 60.307$ \pm $58.497 –20.707 38.976 0.542 HRVTi 6.886$ \pm $2.452 4.093$ \pm $1.494 –3.861 –1.725 0*** 频域 TP 1.809$ \pm $4.909 1.443$ \pm $4.052 –2.734 2.001 0.758 VLF 0.0003$ \pm $0.448 1.387$ \pm $6.214 –1.265 3.370 0.367 LF 0.212$ \pm $0.333 0.119$ \pm $0.316 –0.263 0.078 0.281 HF 1.597$ \pm $4.608 1.322$ \pm $3.745 –2.483 1.934 0.804 LF/HF 0.288$ \pm $0.184 0.108$ \pm $0.083 –0.255 –0.105 0*** 注: *, **, ***分别代表$p < 0.05$$p < 0.01$, $p < 0.001$. 指标 TP TN FP FN Acc Sen Spe AUC WB 19 27 10 2 79.31 90.48 72.97 81.72 PW 19 24 10 5 74.14 79.17 70.59 75.53 CL 20 23 9 6 74.14 76.92 71.88 74.40 HRVTi 23 19 6 10 72.41 69.70 76.00 72.85 LF/HF 25 17 4 12 72.41 75.68 80.95 78.32 注: TP, 被判定为CHF病人的数量; TN, 被判定为NSR1对象的数量; FP, NSR1对象被判定为CHF病人的数量; FN, CHF病人被判定为NSR1对象的数量; 正确率${\rm{Acc}} = \dfrac{{{\rm{TP + TN}}}}{{{\rm{TP \!+\! FP \!+\! TN \!+\! FN}}}} \times 100\% $; 灵敏度${\rm{Sen}} = \dfrac{{T{\rm{P}}}}{{T{\rm{P}} + {\rm{FN}}}} \times 100\% $; 特异度${\rm{Spe}} = \dfrac{{{\rm{TN}}}}{{{\rm{FP \!+\! TN}}}} \times 100\% $; ${\rm{AUC}} = \dfrac{1}{2}\left( {\dfrac{{{\rm{TP}}}}{{{\rm{TP + FN}}}}{\rm{ + }}\dfrac{{{\rm{TN}}}}{{{\rm{TN + FP}}}}} \right) \times 100\% $. 指标 TP TN FP FN Acc Sen Spe AUC WB&CL&LF/HF 25 27 4 2 89.66 92.59 87.1 89.85 WB&PW&CL&HRVTi&LF/HF 24 27 5 2 87.93 92.31 84.38 88.35 WB&PW&CL&LF/HF 24 27 5 2 87.93 92.31 84.38 88.35 WB&PW 22 29 7 0 87.93 100 80.56 90.28 WB&CL&HRVTi&LF/HF 25 25 4 4 86.20 86.21 86.21 86.21 WB&PW&HRVTi&LF/HF 24 26 5 3 86.20 88.89 83.87 86.38 WB&CL&HRVTi 25 25 4 4 86.20 86.21 86.21 86.21 WB&PW&HRVTi 24 26 5 3 86.20 88.89 83.87 86.38 指标 NSR2(mean$ \pm $SD) AF(mean$ \pm $SD) 标准误差差值的95%置信区间 $p$ 下限 上限 ICBN WB 21.483$ \pm $1.367 24.243$ \pm $3.105 1.731 3.789 0*** PW 0.567$ \pm $0.074 0.454$ \pm $0.090 –0.148 –0.077 0*** TE 0.941$ \pm $0.050 0.960$ \pm $0.010 0.004 0.035 0.013* CL 1.113$ \pm $0.146 0.999$ \pm $0.170 –0.183 –0.047 0.001** MC 0.687$ \pm $0.043 0.664$ \pm $0.032 –0.024 –0.008 0.04* 时域 SDNN 74.698$ \pm $26.193 139.016$ \pm $62.480 10.331 43.773 0*** pNN50 10.123$ \pm $9.610 45.495$ \pm $30.687 4.904 25.620 0*** RMSSD 36.402$ \pm $19.003 170.926$ \pm $97.980 15.220 104.256 0*** HRVTi 7.735$ \pm $3.210 6.049$ \pm $2.488 –2.918 –0.455 0.008** 频域 TP 0.615$ \pm $0.612 13.493$ \pm $19.369 7.000 18.754 0.001** VLF 0.0002$ \pm $0.0003 0.017$ \pm $0.063 –2.256 36.147 0.083 LF 0.157$ \pm $0.154 1.204$ \pm $1.620 0.553 1.540 0.002** HF 0.458$ \pm $0.515 12.272$ \pm $17.908 6.381 17.247 0.001** LF/HF 0.515$ \pm $0.419 0.126$ \pm $0.059 –0.519 –0.259 0*** 注: *, **, ***分别代表$p < 0.05$, $p < 0.01$, $p < 0.001$. 指标 TP TN FP FN Acc Sen Spe AUC WB 30 37 13 6 77.91 83.33 74.00 78.67 PW 30 42 13 1 83.72 96.77 76.36 86.57 SDNN 31 34 12 9 75.58 77.50 73.91 75.71 pNN50 28 39 15 4 77.91 87.50 72.22 79.86 RMSSD 29 33 14 10 72.09 74.36 70.21 72.29 LFHF 42 24 1 19 76.74 68.85 96.00 82.43 指标 TP TN FP FN Acc Sen Spe AUC WB&PW&pNN50&RMSSD&LFHF 38 41 5 2 91.86 95.00 89.13 92.07 WB&PW&SDNN&LFHF 38 40 5 3 90.70 92.68 88.89 90.79 WB&PW&RMSSD&LFHF 38 40 5 3 90.70 92.68 88.89 90.79 WB&PW&SDNN&RMSSD 37 41 6 2 90.70 94.87 87.23 91.05 WB&PW&SDNN&pNN50&RMSSD 36 42 7 1 90.70 97.30 85.71 91.51 -
[1] [2] [3] [4] [5] [6] [7] [8] [9] [10] [11] [12] [13] [14] [15] [16] [17] [18] [19] [20] [21] [22] [23] [24]
计量
- 文章访问数:10357
- PDF下载量:93
- 被引次数:0












下载:



