In hypersonic flow, extremely high temperature due to shock aerodynamic heating leads plasma flow to form. By adding energy and momentum to the plas-ma flow field through the magnetic field on aircraft, the control of plasma flow field around aircraft can be realized. This has a broad prospect of applications in hypersonic aerodynamic control, aerothermal protection, and plasma distribution adjustment. Very recently, chemical reaction model and thermodynamic model were suggested to study the hypersonic magnetohydrodynamic control. However, the influence of different models and surface catalytic efficiency on hypersonic magnetohydrodynamic control are rarely analyzed in depth.
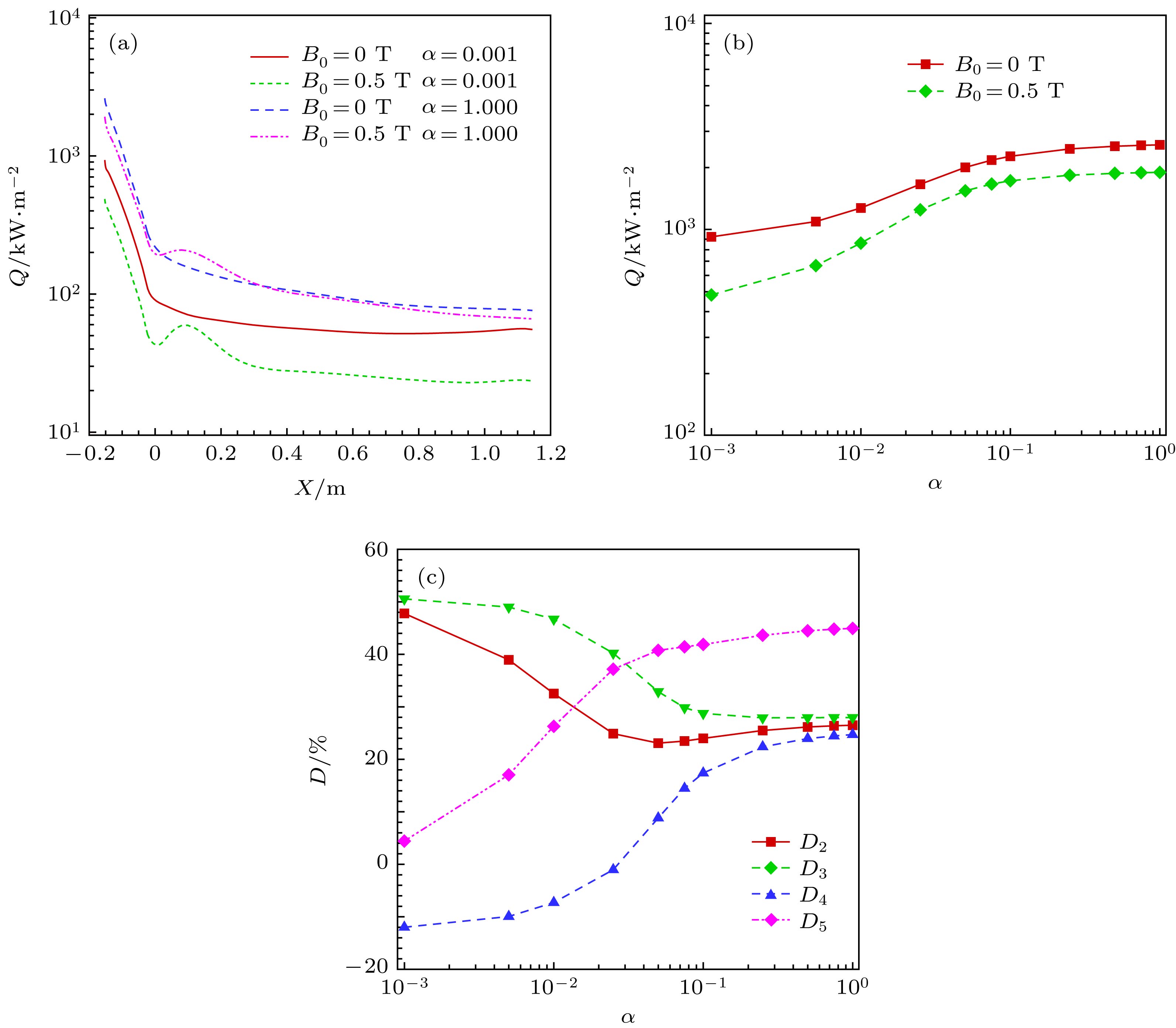
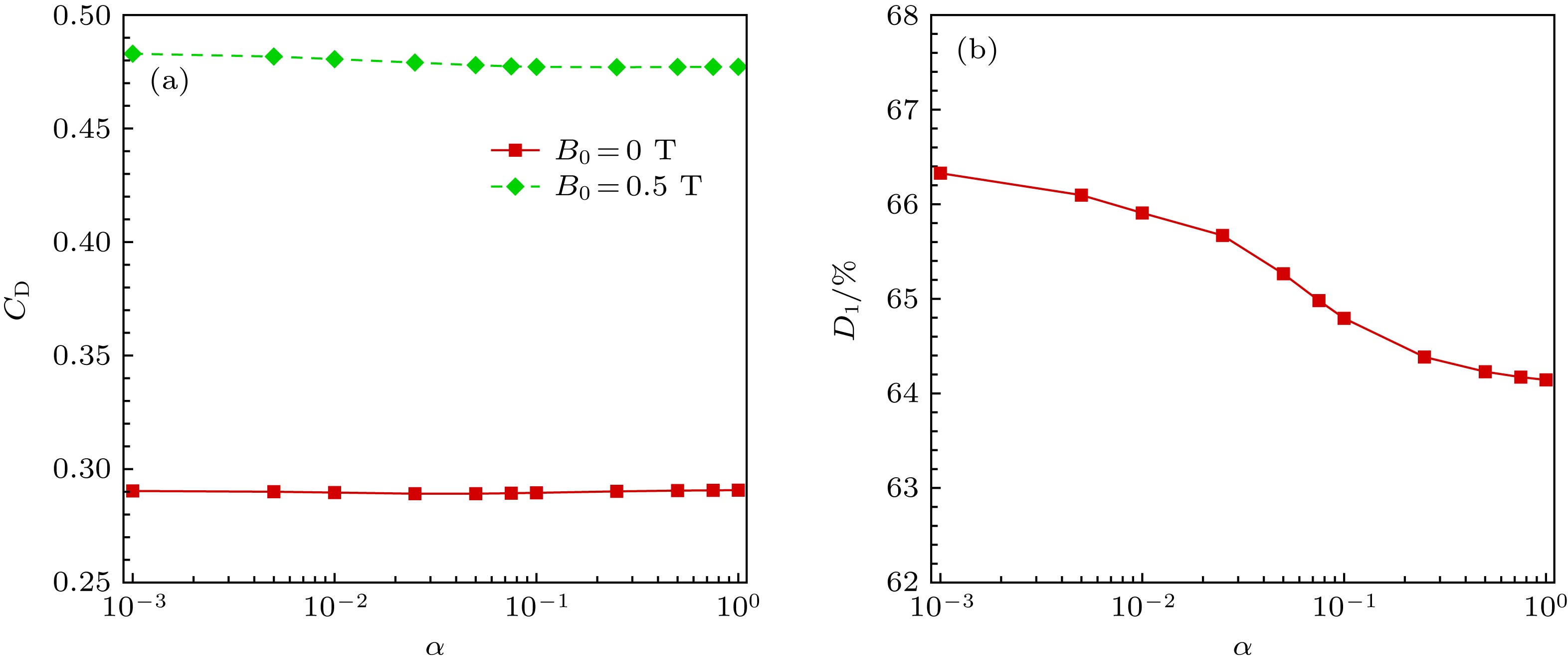
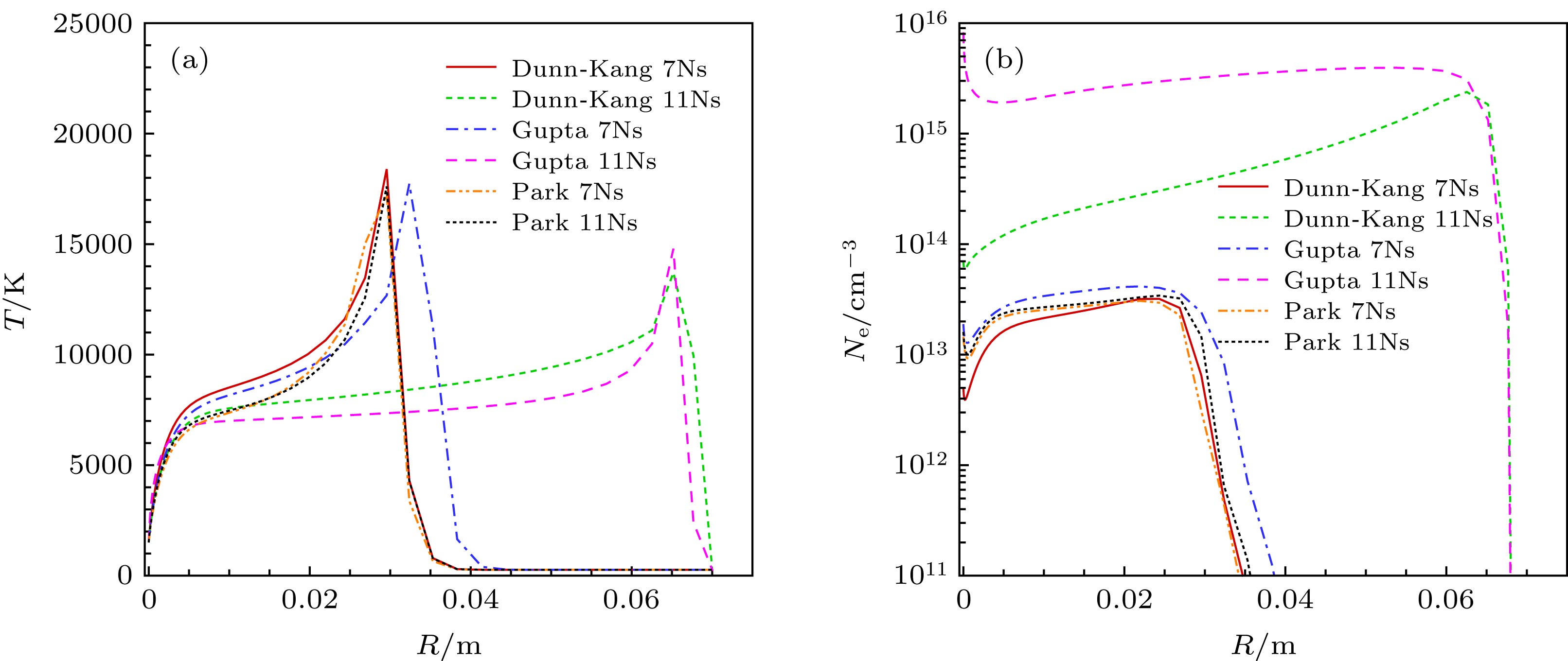
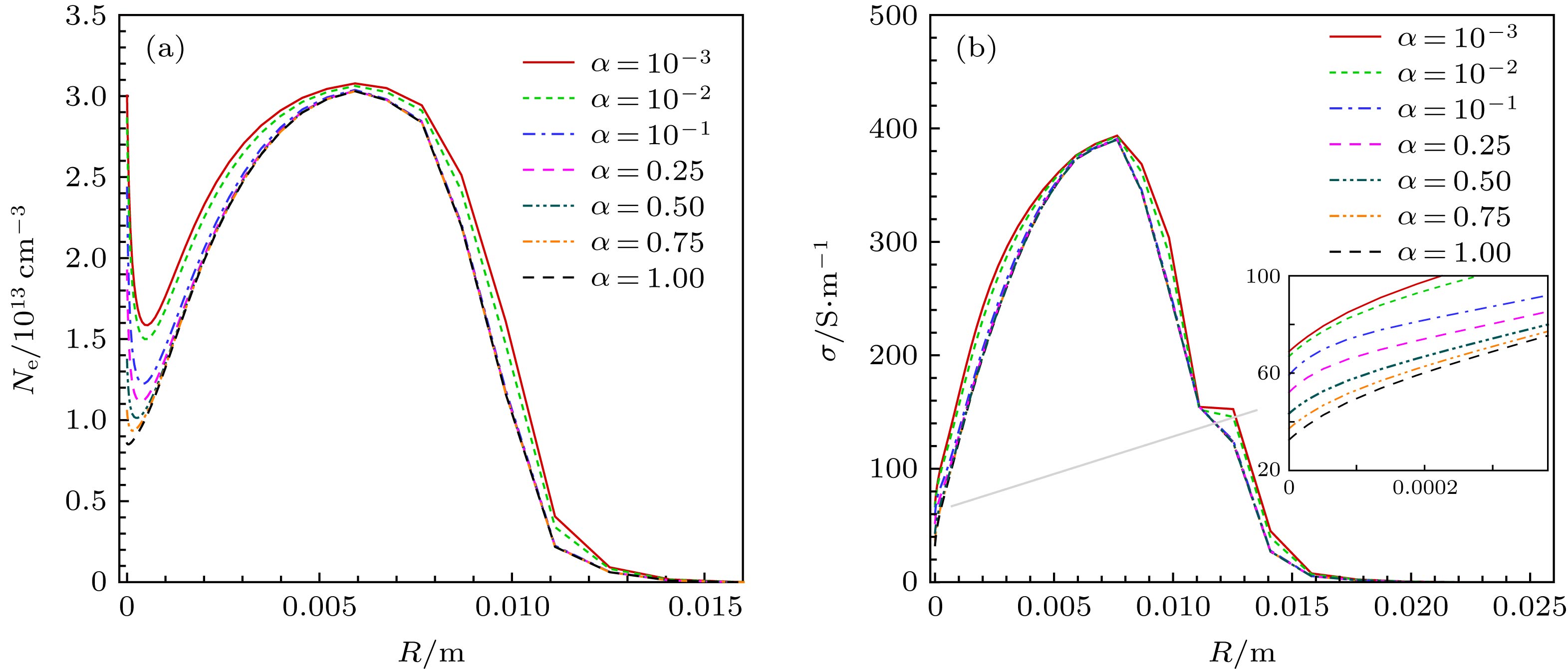
In this study, a comparison of different chemical reaction models and the influence of surface catalytic efficiency are discussed. Three-dimensional (3D) nu-merical simulation method and program of extra magnetic field coupled with reentry plasma flow under the assumption of low magnetic Reynolds number are developed by solving 3D chemical non-equilibrium Navier-Stokes equations and Maxwell electromagnetic field governing equations. Based on this method, the influence of different gas component models, chemical reaction models, and surface catalytic efficiency on hypersonic magnetohydrodynamic control are analyzed. The results show that the conductivity of plasma, calculated by different gas component models and chemical reaction models, can be quite different from each other, thus can influence the accurate study on the structure of hypersonic magneto flow field as well as the aerothermal and aerodynamic characteristics. Based on the calculation conditions in this paper, the Park chemical model has advantages in the consistency and accuracy in numerical simulation. The magnetic thermal protection is greatly influenced by the surface catalytic efficiency and the correlation between the magnetic thermal protection and the surface catalytic efficiency is nonlinear and can be quite different in different region. As the surface catalytic efficiency increases, the influence of magnetic field on heat flux at stagnation point drops drastically, then increases slowly, which is a joint result of thermal conduction and chemical component diffusion. The influence of magnetic field on magnetohydrodynamic drag character is less affected by the surface catalytic efficiency. As the catalytic efficiency increases, the influence of magnetic field on magnetohydrodynamic drag character drops slowly.