A recent experiment carried by Humphreys et al. (Humphreys B A, Wanless E J, Webber Grant B 2018
J. Colloid Interface Sci.
516153) shows that when poly (N-isopropylacrylamide) (PNIPAM) tethered to nanoparticle surface is immersed in potassium thiocyanate solution, the thiocyanate anions (SCN
–) can increase the low critical solution temperature (LCST) of the PNIPAM below 500 mmol, though the LCST is reduced when at 1000 mmol. It is unclear why the SCN
–increases the LCST at low concentration and reduces the LCST at high concentration. In this paper, using a molecular theory, we investigate the effect of SCN
–on the switching and the structure of PNIPAM tethered to nanoparticle surface. In our model the PNIPAM-SCN
–bonding (P—S bonds), electrostatic effects and their explicit coupling to the PNIPAM conformations are taken into consideration. We find that under the low SCN
–concentration, as the SCN
–concentration increases, the SCN
–is associated with the PNIPAM chains through the PNIPAM—S bonds, and the PNIPAM segments become negatively charged, which makes electrostatic repulsion stronger and results in an increase in the LCST.
According to our model, the reduction of LCST at high SCN
–concentration can be explained as follows: with the increase of SCN
–concentration, more and more PNIPAM-SCN
–bindings occur between SCN
–and PNIPAM segments, which will lead the hydrophobicity of PNIPAM chains to increase. On the other hand, the P—S bonds have been filled at the high SCN
–concentration, and the PNIPAM chains become more negatively charged. The increase of the SCN
–is accompanied with an increase in the concentration of counterions (K
+). The increase of counterion concentration will give rise to the counterion-mediated attractive interactions along the chains and electrostatic screening within the negatively charged PNIPAM, thus the LCST can be reduced when further increasing the SCN
–concentration. The reduction of LCST can be attributed to the increased hydrophobicity of PNIPAM chains, or to the counterion-mediated attractive interaction along the chains and the screening of the electrostatic interactions.
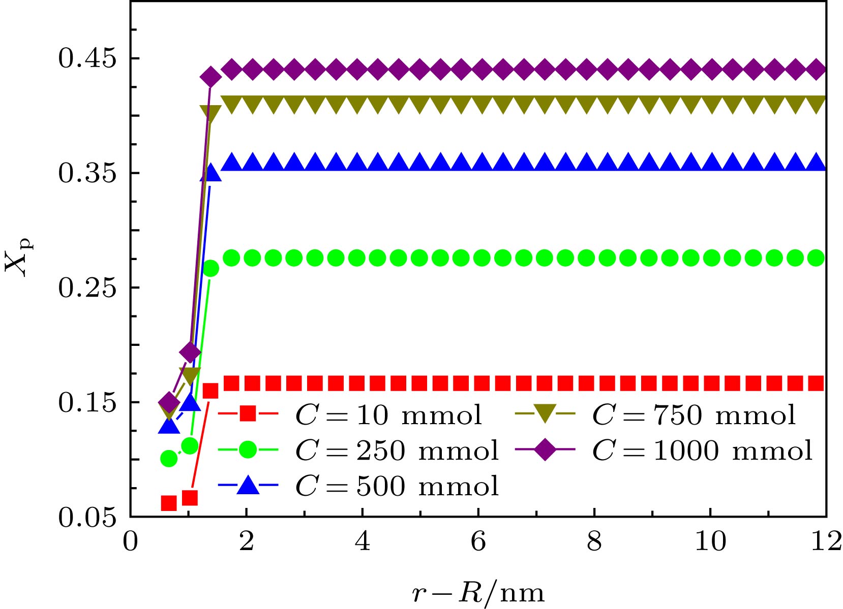
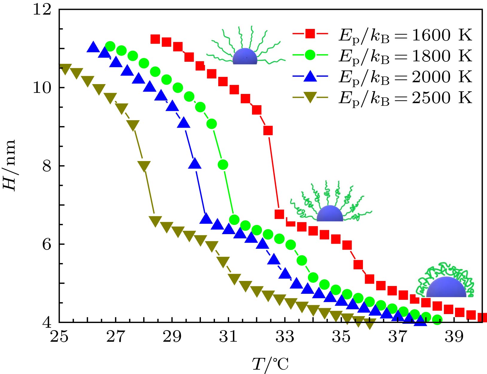
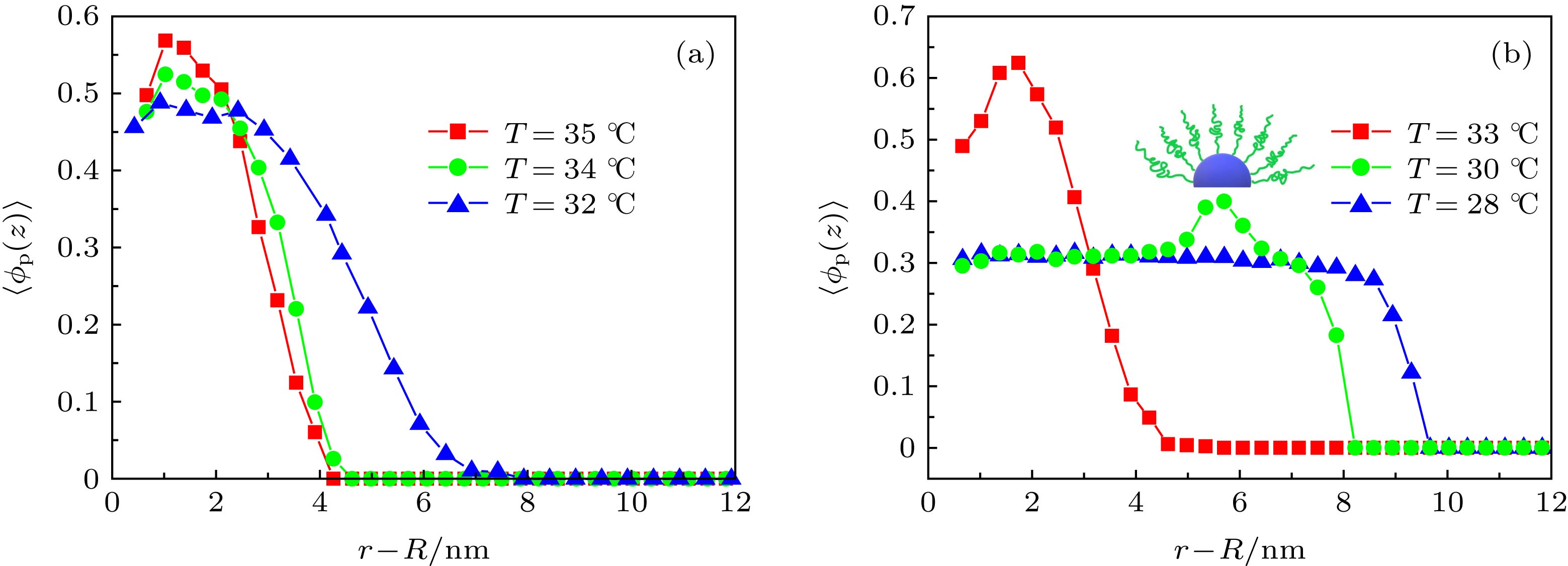
By analyzing the distribution of PNIPAM segments near the critical temperature, we find that the distribution of volume fractions of the PNIPAM tethered to nanoparticle surface shows a maximum when the hydration of PNIPAM and PNIPAM-SCN
–binding are stronger, which implies that a vertical phase separation may occur. Based on our theoretical model, a vertical phase separation and a two-step phase transition behaviors in the PNIPAM tethered to nanoparticle surface are predicted. We also analyze the height of the PNIPAM, which is a function of temperature at different SCN
–concentrations, and then obtain the critical temperature of the two-step phase transition. The results show that the vertical phase separation and the two-step phase transition are promoted by competition between hydrophobicity, hydrophilicity and electrostatic effects due to the P—S bonds. Our theoretical results are consistent with the experimental observations, and provide a fundamental understanding of the effects of SCN
–on the LCST of PNIPAM tethered to nanoparticle surface.