-
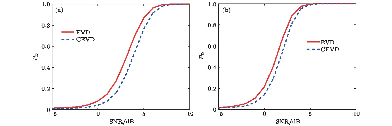
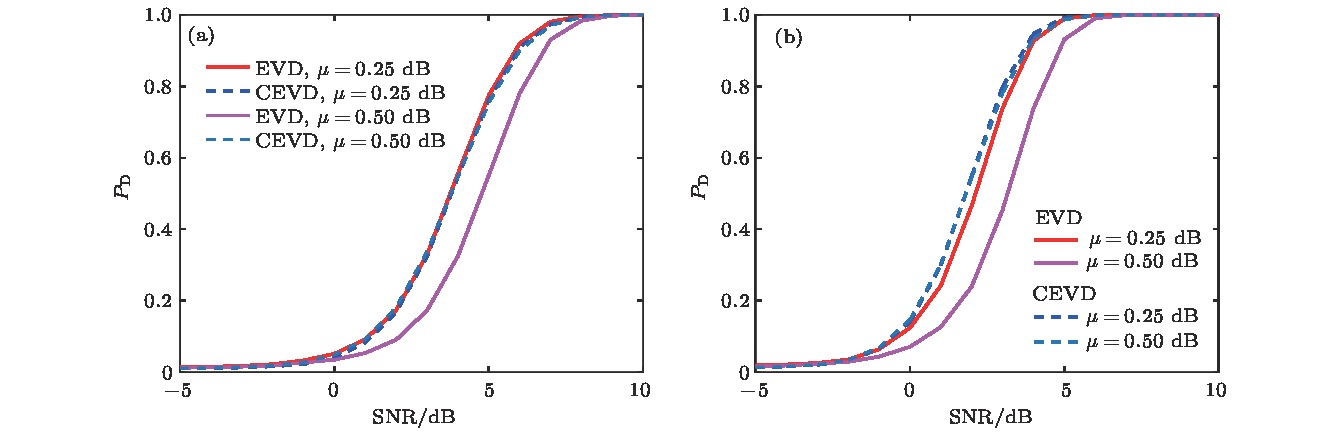
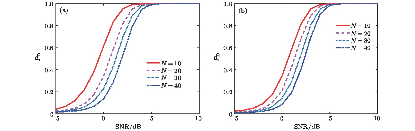
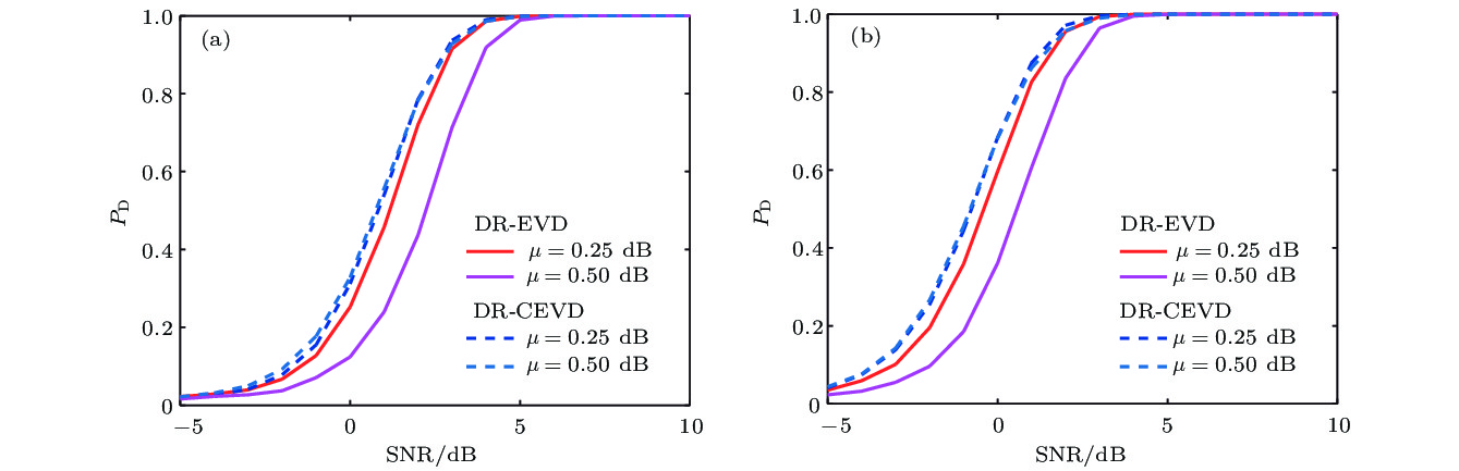
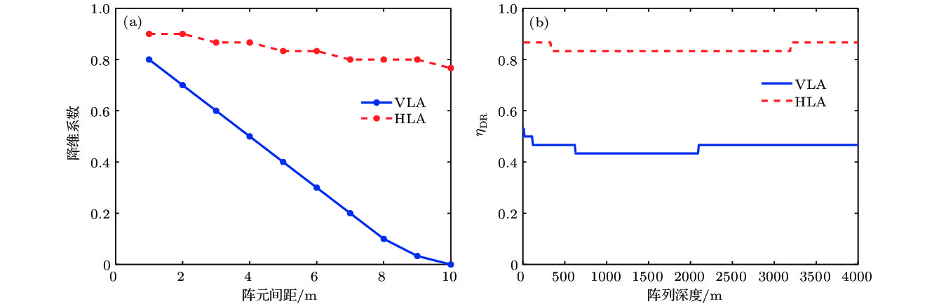
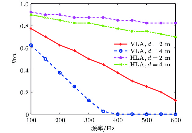
针对深海波导中的水下声源检测, 结合声传播与接收特性, 提出了一种基于简正波模态信息降维处理的窄带声源检测方法, 运用广义似然比(generalized likelihood ratio, GLR)方法导出了深海波导中的特征值检测器和恒虚警率特征值检测器(下统称为GLR检测器). 理论分析表明, 给定阵列输入信噪比下, GLR检测器的输出信噪比随接收数据空间维度的减小而增大. 根据简正波理论, 阵列接收信号声场位于由各阶采样简正波模态信息张成的空间(简称模态空间). 由于阵列孔径尺寸的限制, 在深海波导中常会出现“有效模态空间”维度小于阵元域接收数据空间维度的情况. 基于此性质并根据阵列采样的简正波模态信息, 提取“有效模态空间”以构造降维矩阵, 分别导出了使用垂直线列阵和水平线列阵时的降维GLR检测统计量. 数值仿真给出了GLR检测器的检测性能分析与对比, 验证了降维GLR检测器的性能改善效果, 同时表明水平线列阵接收声场位于更低维的“有效模态空间”, “有效模态空间”维度随阵元间距和声源频率的增大而减小.In this paper, two generalized likelihood ratio (GLR) detectors are presented for the case of multiple snapshots of test data to detect the presence of an underwater acoustic source in the deep ocean. The two GLR detectors are termed the eigenvalue detector (EVD) and the constant false alarm rate eigenvalue detector (CFAR EVD), respectively. Theoretical analysis and numerical results show that for a given input signal-to-noise ratio (SNR) of the array, the GLR detectors achieve higher output SNRs when the spatial dimension of test data decreases. To further enhance the detection performances of the GLR detectors, we propose a dimension-reduced (DR-GLR) method based on array sampling of modal information. This DR-GLR method combines the characteristics of sound propagation and array receiving. According to normal mode theory, acoustic signals emitted from the acoustic source lie in the modal space spanned by the sampled modal information of the array. Resulting from the restriction of the array size, it often occurs in deep ocean when the dimension of " effective modal subspace” is less than that of the test data which is equivalent to the number of hydrophones. Based on this phenomenon, we reconstruct the modal information by merely retaining the " effective modal subspace” to formulate the dimension reduction matrix. The DR-GLR test statistics is deduced by employing the dimension reduction matrix when using the vertical linear array (VLA) and the horizontal linear array (HLA), respectively. The DR-GLR detectors when using an HLA require more computational amount than when using a VLA. Simulation experiments are conducted to analyze the detection performances of the two GLR detectors, and verify the performance improvement effects of DR-GLR detectors. The numerical results show that the CFAR EVD presents good robustness to the uncertainty of the noise power and the DR-GLR detectors outperform the GLR detectors in detection performance. It also turns out the acoustic signals received by the HLA lie in a lower-dimensional " effective modal subspace” than by the VLA, and thus when using an HLA the DR-GLR detectors present higher detection probabilities than using a VLA. Moreover, the smaller the dimension of the " effective modal subspace”, the better the performance improvement of the DR-GLR detectors will be. The dimension of the " effective modal subspace” increases with hydrophone spacing and/or the source frequency increasing.
-
Keywords:
- deep-ocean waveguide/
- generalized likelihood ratio/
- effective modal space/
- dimension reduction
[1] [2] [3] [4] [5] [6] [7] [8] [9] [10] [11] [12] [13] [14] [15] [16] [17] [18] [19] [20] [21] [22] -
[1] [2] [3] [4] [5] [6] [7] [8] [9] [10] [11] [12] [13] [14] [15] [16] [17] [18] [19] [20] [21] [22]
计量
- 文章访问数:7044
- PDF下载量:57
- 被引次数:0












下载:













