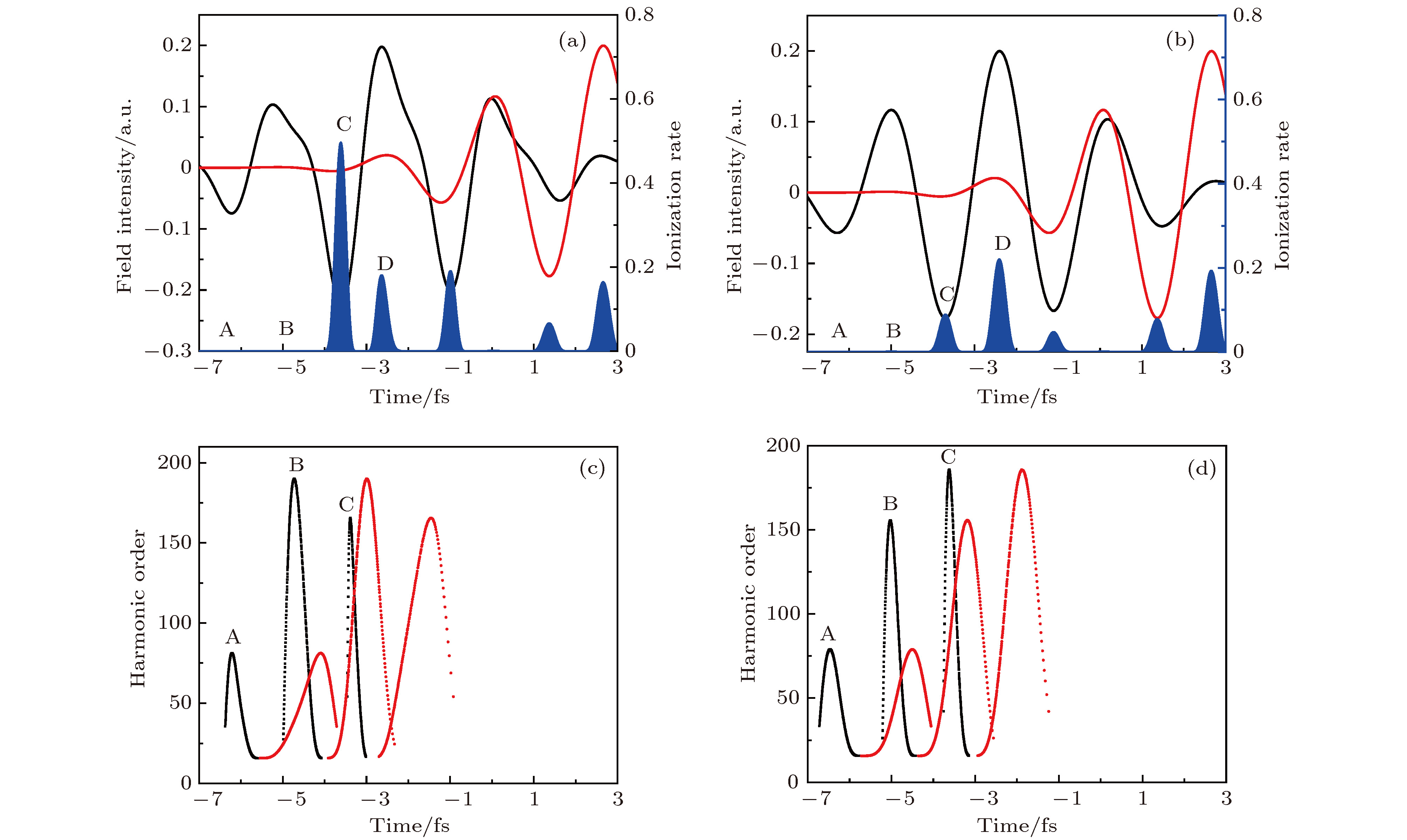
Isolated attosecond pulses make it possible to study and control the ultrafast electron processes in atoms and molecules. High order harmonic generation (HHG) is the most promising way to generate such pulses, benefiting from the broad plateau structure of the typical HHG spectrum. In previous HHG studies on the polarization gating scheme, atomic ionization caused by the laser cycles before the polarization gate not only places a limit on the pulse width and intensity of the driving laser, but also affects the phase matching of harmonics generated in a polarization gate. According to these, in this paper we propose a new double optical gating scheme, in which the polarization of the laser pulse changes from linear to elliptical and back to linear again. Thus, only the linearly polarized field in the leading of the pulse contributes to high harmonic generation. By using a strong field approximation theory, we first simulate high order harmonic and attosecond pulse generation from helium atom irradiated by a double optical gating pulse based on the orthogonal polarization field. Here the orthogonal polarization field consists of two linearly polarized pulses with a certain time delay, orthogonal polarization directions and equal amplitudes. And for the double optical gating pulse, the second harmonic of the driving field is added to an orthogonal polarization field with an appropriate phase and energy. It is found that the high harmonic spectrum with higher efficiency and supercontinuum plateau is obtained by reasonably adjusting the parameters of the combined pulse. After inverse Fourier transform, an isolated 143-as pulse with higher intensity can be realized by superposing supercontinuum harmonics from the 50th to the 150th order. Compared with the double optical gating scheme proposed by Chang et al. (Zhao K, Zhang Q, Chini M, Wu Y, Wang X, Chang Z 2012
Opt. Lett.
373891), our scheme not only overcomes the limit on the pulse duration and intensity of the incident pulse laser, but also avoids the harmonic phase mismatching in the process of the propagation due to unwanted ionization of the gas target caused by the laser cycles before the polarization gate.