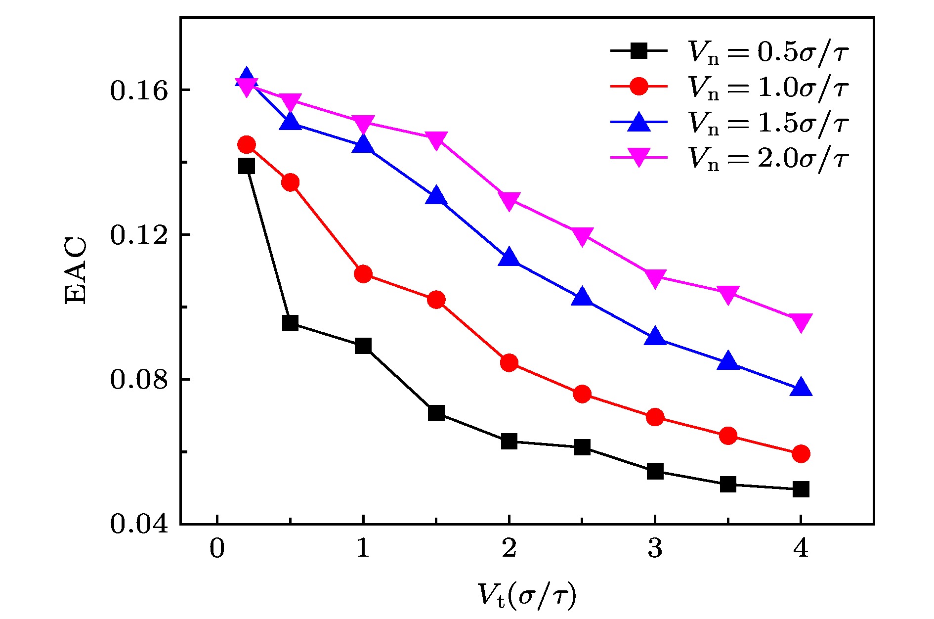
The accommodation coefficient is an important parameter in the field of rarefied gas dynamics, representing the adaptation level of the momentum and energy between gas molecules and solid surfaces, which is frequently used in the boundary conditions of numerical simulation of rarefied gas flow. In this paper, a physical model of the interaction between a single gas molecule Ar and the metal Pt surface is constructed, which greatly saves computational resources by omitting the collision between gas molecules in the bulk flow. The Pt surface is constructed by the Phontom model to reflect real physical properties. The surface roughness is modeled by a typical pyramid model, which is physically realistic and stable in structure. The molecular dynamics method is used to simulate the collision process of the gas molecules on the solid surface. The velocity sampling method is used so that the incident gas molecules possess the characteristics of macroscopic velocity. According to the average momentum and energy of the gas molecules before incidence and after reflection, the tangential momentum accommodation coefficients (TMACs), the normal momentum accommodation coefficients (NMACs) and the energy accommodation coefficients (EACs) are obtained. Moreover, the variation regularities of the accommodation coefficients with the macroscopic tangential velocity and the macroscopic normal velocity are analyzed under the smooth and rough surface, respectively. The results indicate that the accommodation coefficients have a strong correlation to macroscopic velocity and roughness. The increase of tangential velocity shortens the interaction time of gas molecules with solid surface, which results in the decrease of TMAC, NMAC and EAC of gas molecules, indicating that the tangential velocity has a negative effect on gas-solid adaptation. In addition, the momentum is found to be transformed from the tangential direction to the normal direction at a large tangential velocity, and this transformation tendency becomes more apparent as the tangential velocity increases. However, the influence of normal velocity on the momentum and energy accommodation coefficient is different. With regard to the smooth surface, the increase of normal velocity contributes to the tangential momentum and energy adaptation of gas molecules with the surface. While for the rough surface, the adaptation level of tangential momentum and energy between gas molecules and the surface is weakened as the normal velocity increases. This paper reveals the mechanism of gas molecules scattering on the surface from a microscopic point of view, which is quite different from the macroscopic phenomena. The conclusions of this paper indicate the irrationality of traditional scattering kernel models to represent the degree of accommodation through constant values, which is of great significance for the improvement of boundary conditions in rarefied gas flows.