-
HgTe/CdTe量子阱是一种特殊的二维拓扑材料, 其中的量子自旋霍尔效应在自旋电子器件应用方面极有潜力. “工”字形四端口体系纵向非局域电阻阻值为
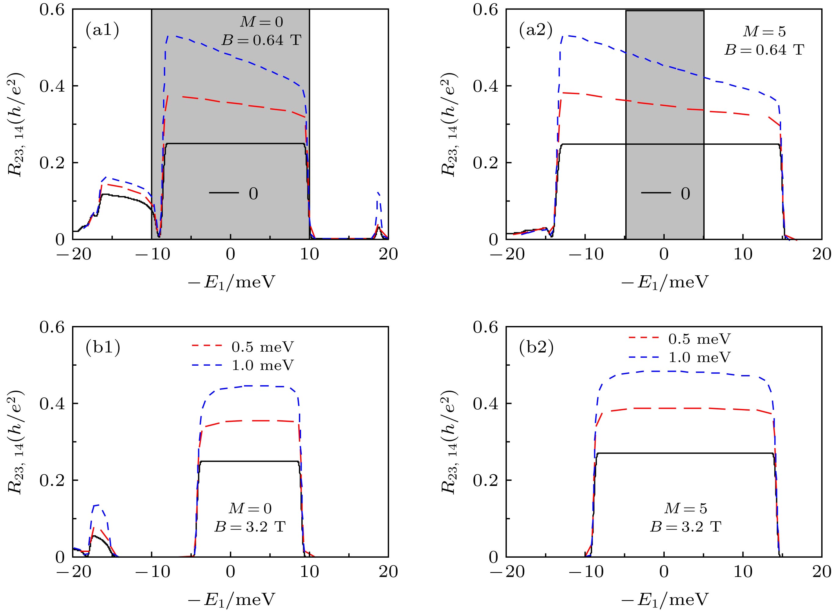
$0.25\;h/e^{2}$ 的特殊的量子化平台是判别量子自旋霍尔效应的有力证据. 本文基于二维HgTe/CdTe量子阱模型, 利用非平衡格林函数理论及Landauer-Büttiker公式计算非局域电阻, 进而研究自旋拓扑态在非静态杂质作用下的退相干效应. 计算同时考虑磁交换场和磁场的影响. 研究发现, 尽管磁交换场和外磁场会破坏时间反演对称性, 但它们都仅改变拓扑带隙的宽度和相对位置, 并不影响螺旋边缘态的拓扑性. 而退相干杂质对自旋拓扑边缘态的影响则完全不同于铁磁和弱磁场. 退相干效应不会影响拓扑带隙的位置和宽度, 但是会影响拓扑边缘态的稳定性. 其中, 自旋不守恒的退相干杂质对螺旋边缘态的影响更为明显, 轻微的退相干效应便会引起自旋翻转, 从而引起自旋相反的背散射, 最终破坏自旋霍尔边缘态.HgTe/CdTe quantum well is a typical two dimensional topological material which supports the helical edge states and quantum spin Hall effect that is imposing in applying of spin electronic devices. The special plateau valued with$0.25\;h/e^{2}$ of nonlocal resistance in H-shaped four terminal devices can be used as the fingerprint of quantum spin Hall effect. Based on the HgTe/CdTe quantum well, with the aid of nonequilibrium Green's function theory and multi-terminal Landauer-Büttiker formula, we calculate the nonlocal resistance and study the dephasing effect of spin topological states in the presence of exchange field and external magnetic field. It is found the dephasing processes play a role completely different from exchange field and external magnetic field. The latter destroy time reversal symmetry and change the width and relative position of topological gap, but do not influent the topological stability of helical edge states. In the contrary, dephasing processes don't change the width and relative position, however, they broke the topological stability. We consider two kinds of dephasing: normal dephasing and spin dephasing. In the first kind, the carriers lose only the phase memory while maintaining the spin memory. In the second kind, the carriers lose both phase and spin memories. Because of the spin locking properties, normal dephasing almost have no influence on the helical edge states. While the spin dephasing will induce spin flip backscattering and finally destroy helical edge states seriously.-
Keywords:
- quantum transport/
- quantum spin Hall/
- nonlocal resistance/
- dephasing
[1] [2] [3] [4] [5] [6] [7] [8] [9] [10] [11] [12] [13] [14] [15] [16] [17] [18] [19] [20] [21] [22] [23] [24] [25] [26] [27] [28] [29] [30] [31] [32] [33] [34] [35] [36] [37] [38] [39] [40] [41] [42] [43] [44] [45] [46] [47] [48] [49] [50] [51] [52] -
[1] [2] [3] [4] [5] [6] [7] [8] [9] [10] [11] [12] [13] [14] [15] [16] [17] [18] [19] [20] [21] [22] [23] [24] [25] [26] [27] [28] [29] [30] [31] [32] [33] [34] [35] [36] [37] [38] [39] [40] [41] [42] [43] [44] [45] [46] [47] [48] [49] [50] [51] [52]
计量
- 文章访问数:10261
- PDF下载量:144
- 被引次数:0












下载:






