The quantum system decay can be frozen and slowed down when it is repeatedly and frequently measured, which is described as the quantum Zeno effect (QZE). On the other hand, the evolution of the quantum system can be sped up if the measurement is not frequent enough, which is called quantum anti-Zeno effect (QAZE). Both the QZE and QAZE have been experimentally observed in many different physical setups, and have attracted tremendous theoretical and experimental interest due to their significant potential applications in quantum information processing.
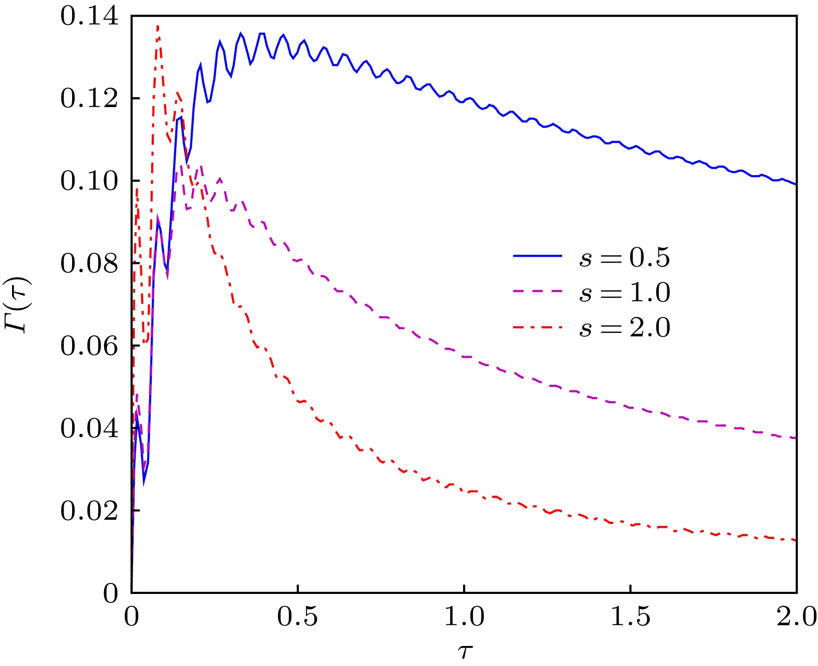
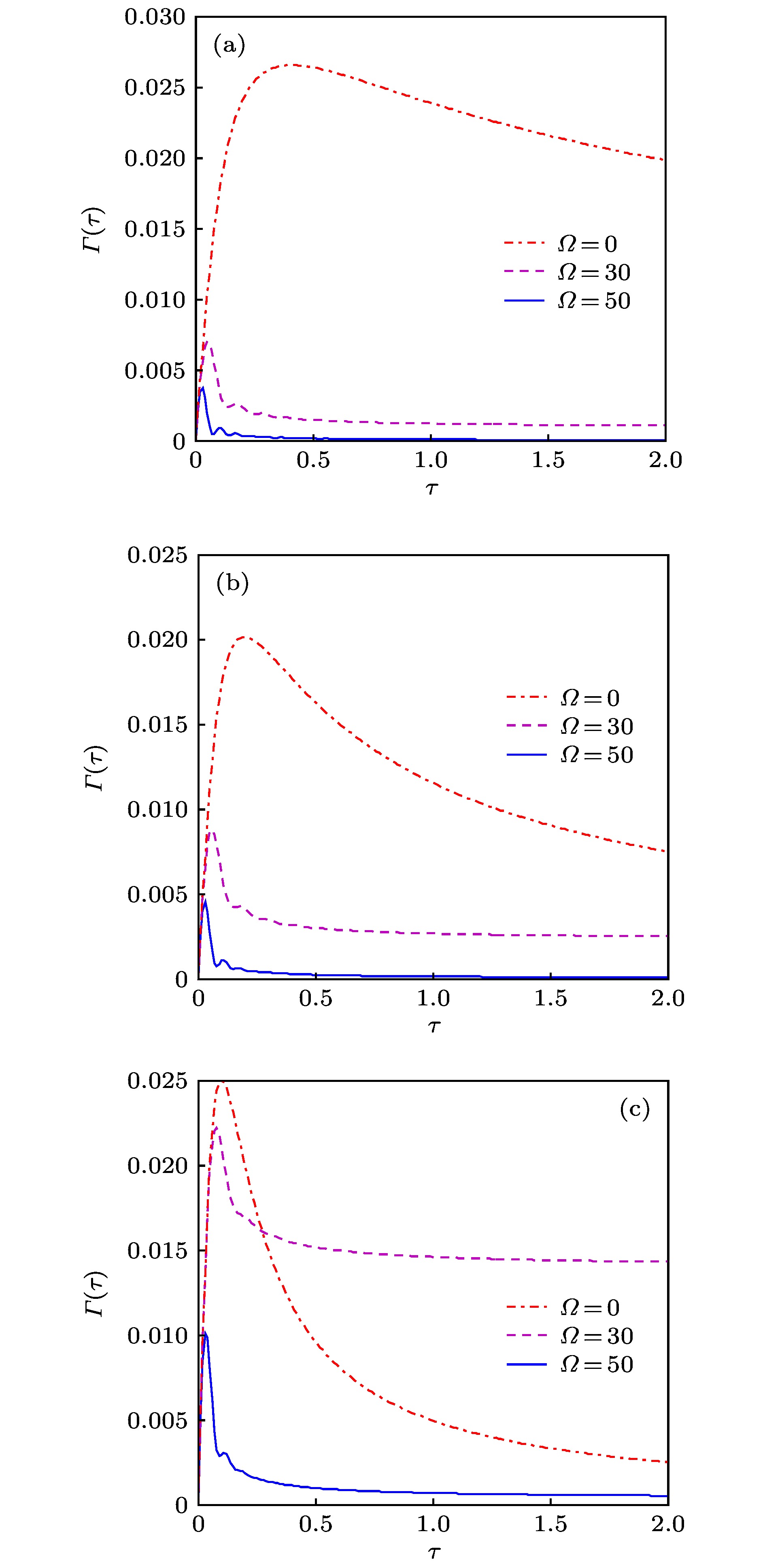
A recent research has demonstrated that the effective lifetime of the quantum system when being measured repeatedly depends on the spectral density of the environment, the system parameters, and the system-environment coupling. Then, how to prolong the survival time of the quantum system subjected to being repeatedly measured is an issue that deserves to be studied. In the present paper, considered is a classical-field-driven two-level system interacting with a bosonic reservoir at zero temperature. We investigate the dynamics of the effective decay rate versus the measurement interval, and propose a scheme to prolong the lifetime of the quantum system subjected to being measured repeatedly, with a classical field driven. The results show that when the initial state of the quantum system is excited, QZE-to-QAZE transitions occurs several times. In an identical time interval, the decay rate for the initial superposition state is far smaller than that for the initial excited state. More importantly, the effective decay rate is very small when the classical driving is strong enough, which indicates that the classical driving can improve the survival probability of the two-level system subjected to being measured frequently and repeatedly. In addition, the environmental ohmicity plays an important role in keeping the quantum state alive. The detuning between the two-level system and the classical field has an adverse effect on the decay rate. In other words, the survival probability decreases as the detuning increases. Fortunately, this negative influence from the detuning can be suppressed by increasing the strength of classical driving or choosing the appropriate ohmicity parameter of the environment.