-
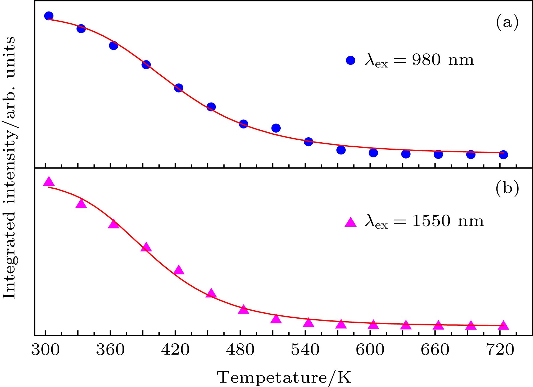
为得到最大发光强度的红光上转换Er 3+/Yb 3+共掺Ba 5Gd 8Zn 4O 21荧光粉, 采用均匀设计初步寻找Er 3+/Yb 3+共掺杂的浓度范围, 再通过二次通用旋转组合设计, 建立了Er 3+/Yb 3+掺杂浓度与荧光粉在980 nm与1550 nm激光激发下红色上转换发光强度的回归方程, 最后利用遗传算法解得回归方程的最优解, 即在980 nm与1550 nm激光激发下红光上转换最大发光强度对应的Er 3+/Yb 3+掺杂浓度, 用高温固相法分别制备出两种激发下的最优解荧光粉样品. 经X射线衍射仪分析, 证明所制备样品均为纯相Ba 5Gd 8Zn 4O 21. 在980 nm激光激发下, 最优样品的红光为双光子过程; 在1550 nm激光激发下, 最优样品的红光为三光子过程. 测量了最优样品关于温度的上转换发射光谱, 发现样品的红光上转换发光强度随着温度的升高而减弱. 所得最优样品与NaYF 4∶Er 3+/Yb 3+红光商品粉进行比较, 在980 nm和1550 nm激光激发下, 最优样品红光上转换发光强度远强于NaYF 4红光商品粉发光强度. 在相同功率密度激发下, 980 nm激光激发下的最优样品比1550 nm激光激发下的最优样品红光上转换发光强度更强.
-
关键词:
- 均匀试验设计/
- 二次通用旋转组合设计/
- 红光上转换/
- Ba5Gd8Zn4O21∶Er3+/Yb3+
In order to obtain the Er 3+/Yb 3+co-doped Ba 5Gd 8Zn 4O 21up-conversion phosphor material with maximum red luminous intensity, three steps are adopted as follows. Firstly, the uniform design in the experimental optimal design is used to find the reasonable doping concentration of Er 3+/Yb 3+. Secondly, according to the quadratic general rotary unitized design, the regression equation of the red luminescence intensity of Er 3+/Yb 3+co-doped Ba 5Gd 8Zn 4O 21under 980 nm and 1550 nm excitations is established. Finally, the optimal solution of the regression equation is obtained by genetic algorithm. The Ba 5Gd 8Zn 4O 21:Er 3+/Yb 3+phosphors are prepared by a high-temperature solid-phase method. The crystal structure for each of the prepared phosphors is analyzed by X-ray diffraction, and it is confirmed that the prepared phosphor samples of Ba 5Gd 8Zn 4O 21are all in pure phase. Using the 980 nm laser as an excitation source, the relationship between the red up-conversion luminescence intensity of the optimal sample and the operating current of the laser is studied. It is found that the red luminescence is emitted through a double-photon process by the formula fitting analysis. Using the 1550 nm laser as the excitation source, it is found that red luminescence is emitted through a three-photon process. The up-conversion emission spectrum of the optimal sample with respect to temperature is measured and discussed, and it is found that the red up-conversion luminescence intensity of the sample is weakened as the temperature increases. The optimal samples are compared with the commercial phosphors of NaYF 4:Er 3+/Yb 3+under the 980 nm and 1550 nm excitation respectively, the luminescence intensity of the optimal sample is much stronger than that of the commercial phosphor of NaYF 4:Er 3+/Yb 3+. Moreover, under the same power density excitation, the red up conversion luminescence intensity of the optimal sample at 980 nm is stronger than that at 1550 nm.-
Keywords:
- uniform experimental design/
- experiment scheme of quadratic general rotary unitized design/
- red up-conversion luminescence/
- Ba5Gd8Zn4O21:Er3+/Yb3+
[1] [2] [3] [4] [5] [6] [7] [8] [9] [10] [11] [12] [13] [14] [15] [16] [17] [18] [19] [20] [21] [22] [23] [24] -
因素试验
序号x1(Er3+)/
mol%x2(Yb3+)/
mol%y1550 nm y980 nm 1 1(1) 4(5.125) 3328.2 62033.4 2 2(2) 8(10.625) 11605.2 101937.9 3 3(3) 3(3.75) 32949.3 90471.5 4 4(4) 7(9.25) 38447.2 99822.8 5 5(5) 2(2.375) 79416.9 69237.5 6 6(6) 6(7.875) 145038.5 123959.0 7 7(7) 1(1) 132225.6 38588.2 8 8(8) 5(6.5) 155258.0 112564.1 9 9(9) 9(12) 105986.7 75933.5 zj(xj) z1(Er3+)/mol% z2(Yb3+)/mol% z2j(2) 9 9 z0j+ ${\varDelta _j} $(1) 8.2680 8.2680 z0j(0) 6.5 6.5 z0j– $ {\varDelta _j}$(–1) 4.7320 4.7320 z1j(–2) 4 4 ${\varDelta _j} = \dfrac{{{z_{2j}} - {z_{1j}}}}{{2r}}$ 1.7680 1.7680 ${x_j} = \dfrac{{{z_j} - {z_{0j}}}}{{{\varDelta _j}}}$ ${x_1} = \dfrac{{{z_1} - {\rm{6}}.{\rm{5}}}}{{{\rm{1}}.{\rm{7680}}}}$ ${x_2} = \dfrac{{{z_2} - {\rm{6}}.{\rm{5}}}}{{{\rm{1}}.{\rm{7680}}}}$ 序号 x0 x1 x2 x1x2 x12 x22 y1550 nm y980 nm 1 1 1 1 1 1 1 129443 76365 2 1 1 –1 –1 1 1 124201 54268 3 1 –1 1 –1 1 1 120440 89291 4 1 –1 –1 1 1 1 100410 65430 5 1 1.414 0 0 2 0 127744 67758 6 1 –1.414 0 0 2 0 101623 73300 7 1 0 1.414 0 0 2 112067 82410 8 1 0 –1.414 0 0 2 109503 53292 9 1 0 0 0 0 0 120229 86752 10 1 0 0 0 0 0 123993 80120 11 1 0 0 0 0 0 124176 82245 12 1 0 0 0 0 0 118780 96762 13 1 0 0 0 0 0 108829 86738 方差来源 偏差平方和1 偏差平方和2 自由度 t1统计量及F1比 t2 统计量及F2比 显著性水平α1 显著性水平α2 显著性1 显著性2 x0 — — 1 42.61 30.19 0.001 0.001 **** **** x1 — — 1 2.30 1.03 0.1 0.4 *** * x2 — — 1 0.95 2.80 0.4 0.02 * *** x1x2 — — 1 1.18 0.14 0.4 0.9 * 不显著 x12 — — 1 0.29 3.05 0.8 0.02 不显著 *** x22 — — 1 1.11 3.60 0.4 0.02 * *** 回归 991488682.6 1960893448 5 12.03 18.77 0.01 0.01 **** **** 剩余 115427203 146280989.8 7 — — — — — — 失拟 43457130.87 15074730.26 3 1.11 0.37 0.01 0.01 **** **** 误差 156531329.6 164236197.2 4 — — — — — — 总和 1106915886 2107174438 12 — — — — — — 注: ****极高显著水平(α≤ 0.01); ***高显著性水平(α≤ 0.1); **显著水平(α≤ 0.25); *较显著水平(α≤ 0.4). -
[1] [2] [3] [4] [5] [6] [7] [8] [9] [10] [11] [12] [13] [14] [15] [16] [17] [18] [19] [20] [21] [22] [23] [24]
计量
- 文章访问数:6797
- PDF下载量:58
- 被引次数:0












下载:






