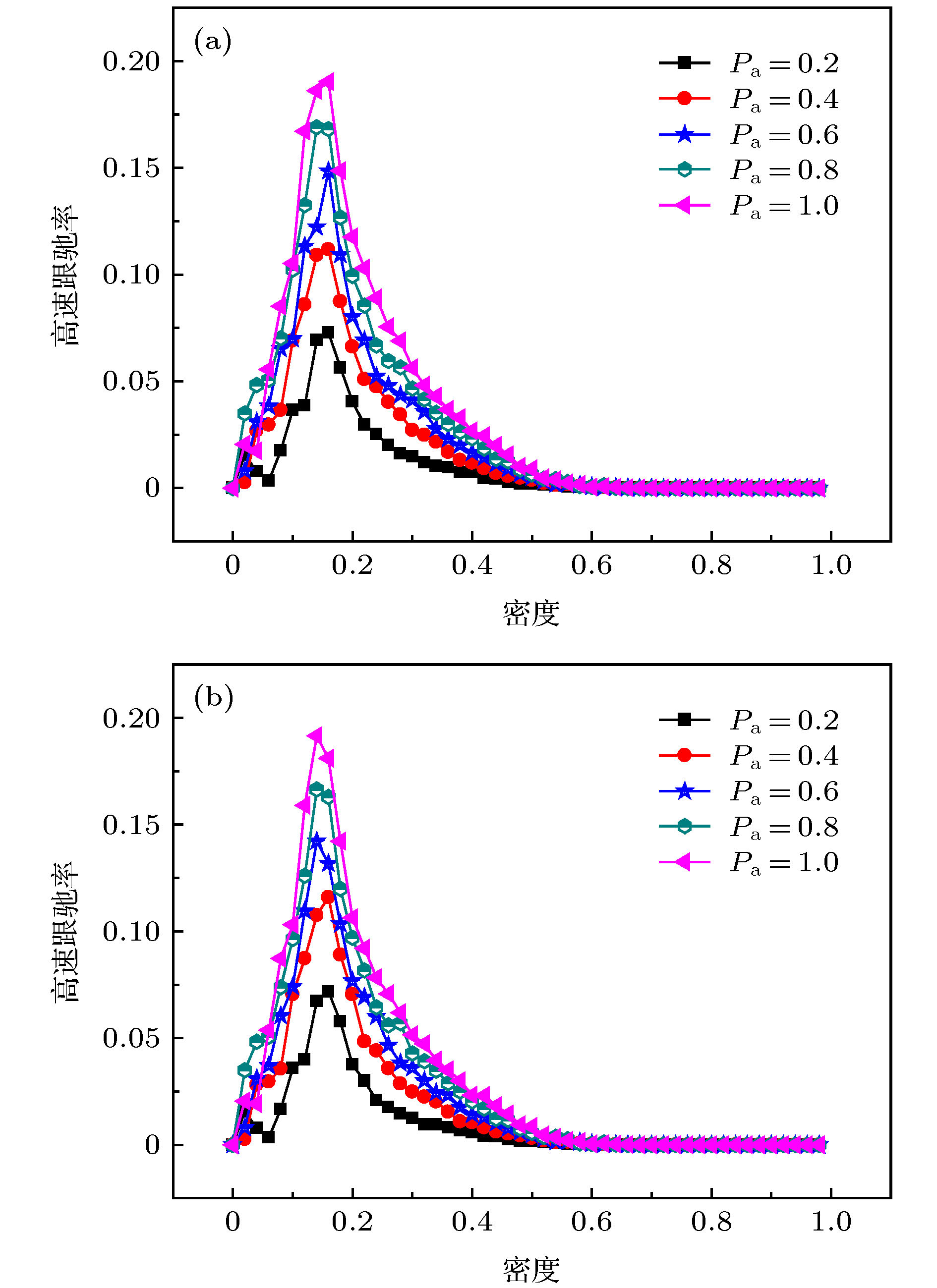
For the physical phenomenon of high-speed car following in the road traffic flow, all the vehicles with small spacing do not run at low speed. The speeds of the vehicles are significantly higher than those they normally should be when they are in this vehicles’s density. There are more than 7% of high-speed following vehicles in the measured data. At present, the traditional traffic flow model cannot simulate the phenomenon of high-speed car following, so a new nonlinear dynamic mathematical model is needed to describe and analyze the physical phenomenon. In order to study the physical phenomenon of high-speed car following in road traffic, a traffic flow dynamics model for simulating the phenomena is proposed, which combines with the prospect theory and takes into account some factors such as driver’s decision-making behavior and randomization. It is called HCCA (high-speed car following celluar automat) model. In the model, the prospect theory is used to analyze the driver’s lane changing behavior under the uncertain conditions. Combined with the characteristics of the radical driver, the dynamic prediction speed is considered for the front car followed by the radical driver, and the HCCA dynamics rules of high-speed following traffic flow mechanics are defined. By the computer numerical simulation, the evolution mechanism and the characteristics of high-speed car-following flow are studied. The results show that compared with the symmetric two-lane cellular automata (STCA) dynamic model, the HCCA dynamic model established in this paper can simulate abundant traffic physical phenomena, and reproduce complex traffic phenomena such as free flow, synchronous flow and wide-range motion congestion. Finally, the phenomenon of high-speed car following is simulated and the results of high-speed car following rate over 7% with small spacing are in good agreement with the measured results. It overcomes the shortage that traditional STCA model cannot simulate the synchronous flow. It is found that the larger the proportion of radical drivers, the larger the high-speed car following rate and traffic flow with small spacing are under the same road density. The high-speed car following traffic flow mechanics model proposed in this paper has a certain reference significance and practical value for analyzing the physical phenomenon of high-speed car following and enriching the traffic flow theory.