In recent years, the research on topological materials, including topological insulator and topological semimetal, has received a lot of attention in condensed matter physics. HgCdTe, widely used in infrared detection, also holds huge potential in this field. It has been reported that the strained thin Hg
0.865Cd
0.135Te can realize topological insulator phase by using a CdZnTe substrate. However, the stress caused by changing substrate has great limitations. For example, the stress cannot be changed once the sample has been grown. Hence, we try to use a piezoceramics (PZT) instead to implement the stress and control the properties of HgCdTe. The main purpose of our experiment is to verify its validity. As is well known, the band structure of Hg
1–xCd
xTe can be precisely controlled by changing the content of Cd. When
xlies between 0 and 0.165, HgCdTe features an inverted band structure, which is the premise of realizing topological phase. In this work, an inversion layer is induced on a single crystal grown HgCdTe bulk material by anodic oxidation, whose content of Cd is confirmed to be 0.149 by using XRD. Then the sample is thinned and attached to a PZT, which the tuning of stress is realized by applying a voltage to. Ohmic contacts are realized by indium in van der Pauw configuration. All measurements are carried out by using an Oxford Instruments
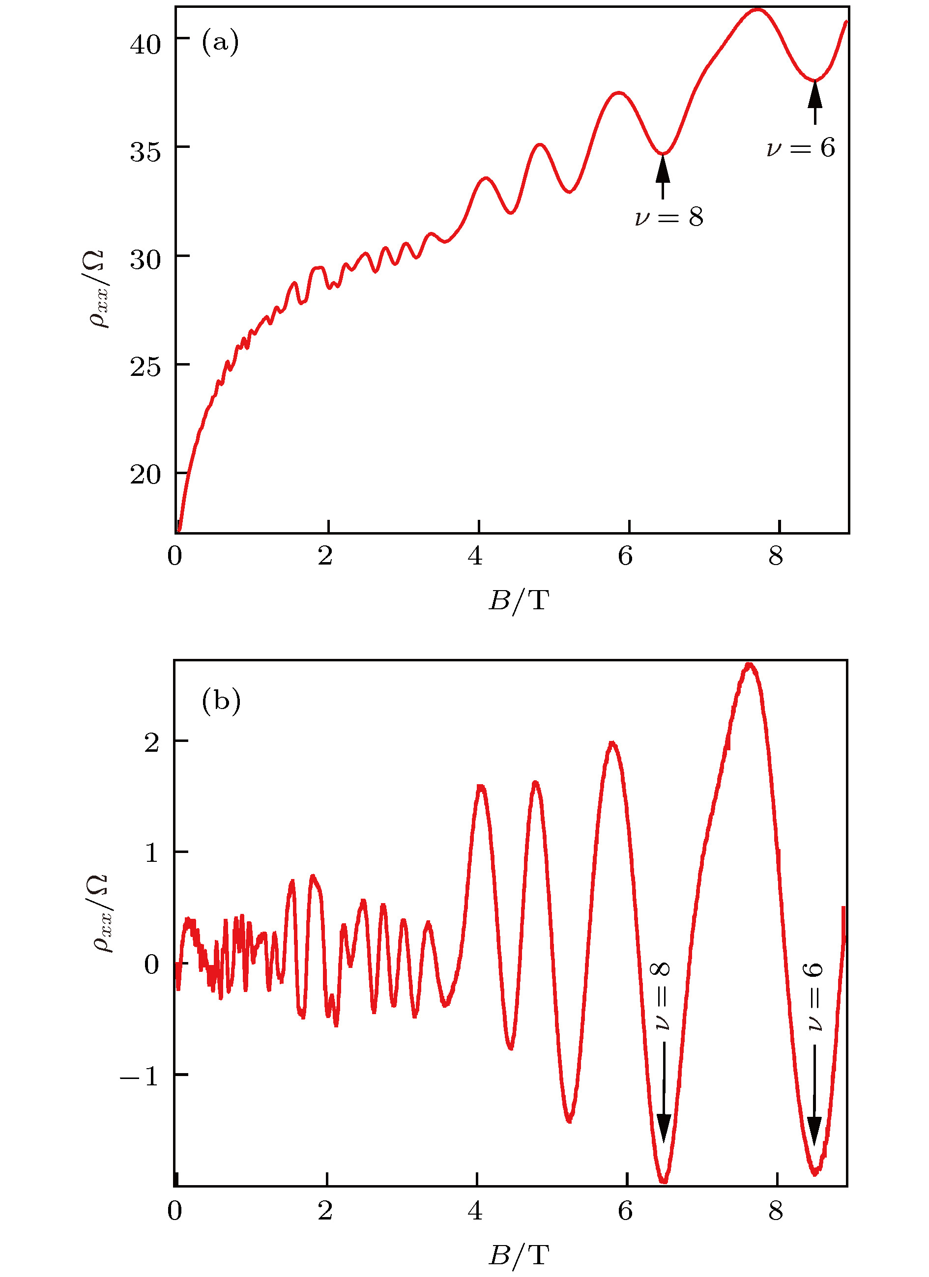
4He cryostat with magnetic field applied perpendicularly to the sample plane. At 1.5 K and zero voltage, an evident SdH oscillation is observed. By fitting the linear relationship between filling factor and the reciprocal of magnetic field, the concentration is obtained to be
${n_{\rm{s}}} = 1.25 \times {10^{16}}\;{{\rm{m}}^{ - 2}}$
. Subsequently, we scan the voltage from 200 V to –200 V continuously in different magnetic fields. Two phenomena with different characteristics are observed. It is found that the resistance changes linearly with stress at zero field while an SdH oscillation-like behavior occurs at high field. We attribute such a difference to the existence of two conductive channels: one is the bulk material and the other is the two-dimensional electron gas. It is also noteworthy that the topological phase in our sample cannot be determined because the quantum Hall conductance is polluted by the conductance of bulk material. In conclusion, our results show that it is an effective way to use the PZT to tune the stress and this method can also be applied to the research of other materials.