Supercritical fluids (SCF) have been widely utilized in the industrial processes, such as extraction, cleaning, drying, foaming and power generation driven by primary energy. Therefore, SCF have attracted more and more attention in recent years. At supercritical state, liquid, and gas phase are not clearly distinguished, but the thermal-physical properties of fluid show an interesting characteristic, especially near the pseudo-critical temperature. Thus, it is of great significant to study the structure and density time series evolution of SCF.Due to high pressure and temperature for SCF, it can be challenging to collect experimental data of SCF. However, the advantage of molecular dynamics simulation in convenience, safty and cost over experiments. Therefore, in this paper,molecular dynamics simulation was performed to investigate the fluid structure and density series fluctuation curves at supercritical state, and the influence of parameters varitation including pressure and temperature onstructural characteristics was analyzed. In the simulation system, more than 10
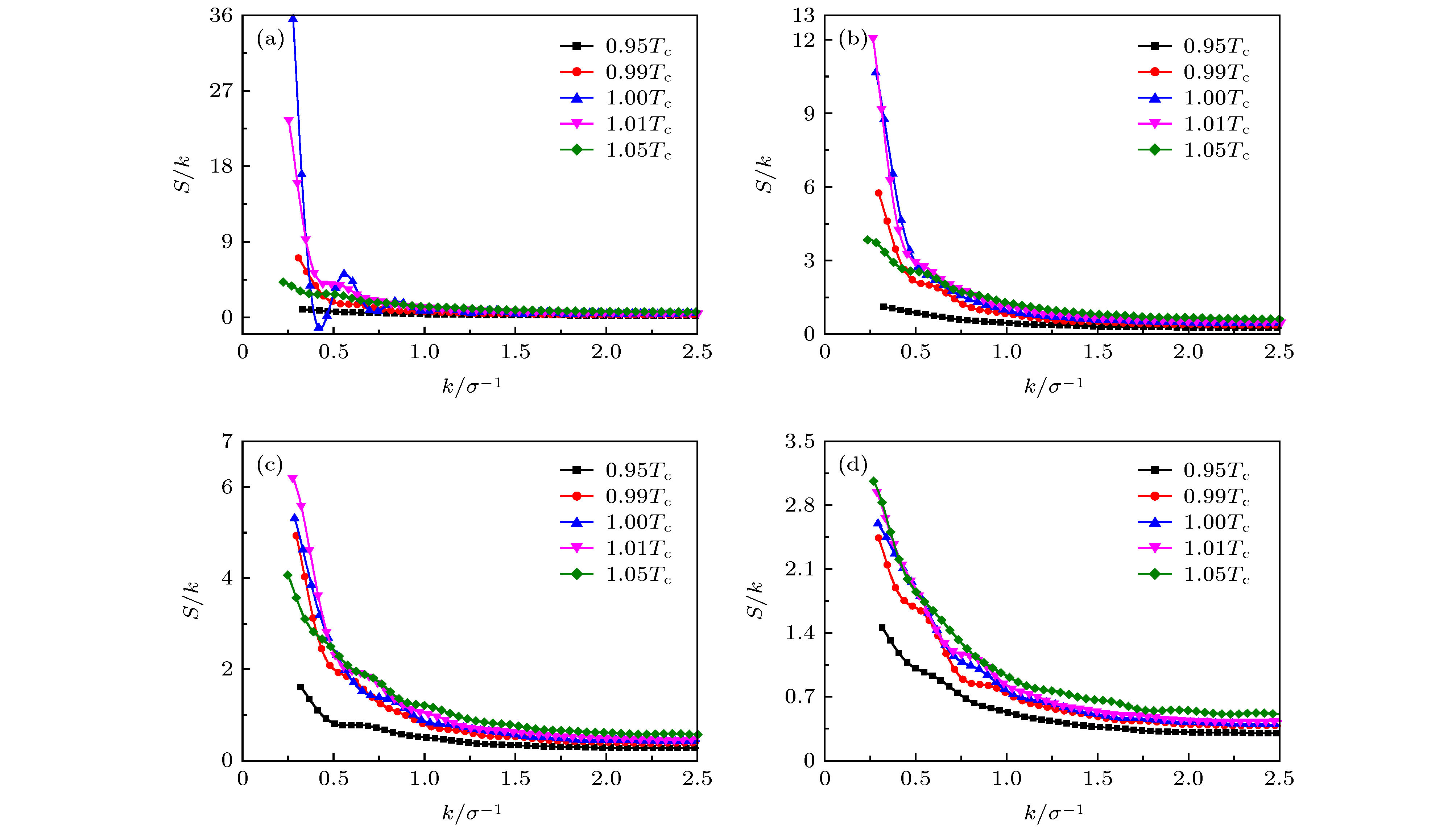
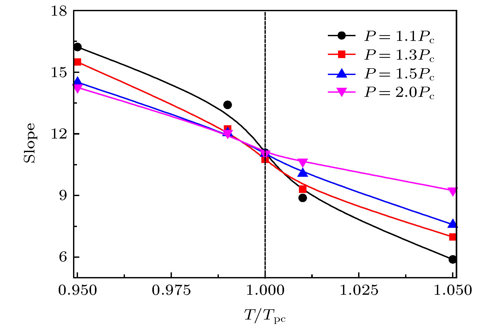
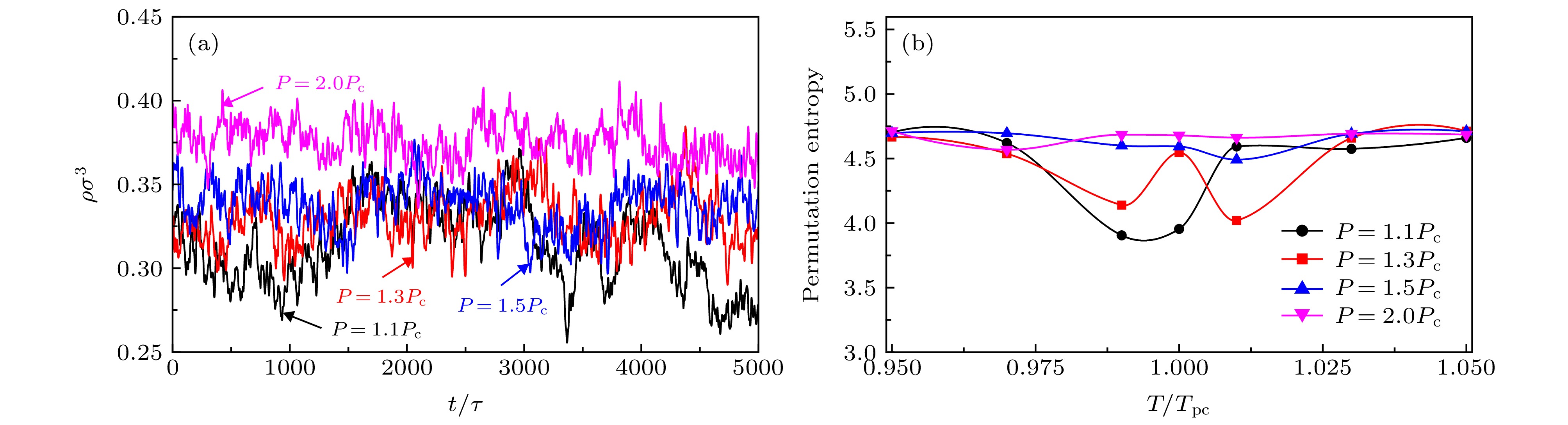
4atoms and simple Lennard-Jones(LJ) supercritical fluids were contained. The radial distribution function(RDF), coordination number(CN), density time series curve and permutation entropy of fluids at different pressures and temperatures were calculated. At specified pressure, the position of the first peak value of RDF gradually moves to the right with the increase of temperature, and the trend weakens with the increase of pressure. CN shows a downward trend with the increase of pressure and the CN difference at different temperatures gradually decreases. Simultaneously, the CN distribution area becomes narrow with the increase of pressure. The high/low density region calibrated by CN is stable, concentrated and large area distribution at low pressure, and the average density region is small, with the increase of pressure, the area of high/low density region is only a size of a few molecular and fluctuates sharply with time, and the area of average region is constantly expanding. At relatively low pressure, the density time series curve shows the characteristic that both the fluctuation range and quasi-period are large at pseudo-critical temperature. Simultaneously, the permutation entropy obtained from the time series curve shows three cases: (i) at low pressure (
P= 1.1
P
c), the minimum permutation entropy is obtained under the temperature that is lower than pseudo-critical temperature, and the system has higher orderliness; (ii) at moderate pressure (
P= 1.3
P
cand 1.5
P
c), the state points corresponding to minimum permutation entropy is consistent with that corresponding to the maximum of isothermal compression coefficient and (iii) at high pressure (
P= 2.0
P
c), the permutation entropy curve fluctuates slightly and remains basically on the horizontal line. The results provide reliable support for revealing the characteristics of SCF from the microscale, and also provide useful inspiration for the practical application of SCF.