搜索

x

留言板

姓名
邮箱
手机号码
标题
留言内容
验证码

downloadPDF
引用本文:
Citation:

    陈华俊

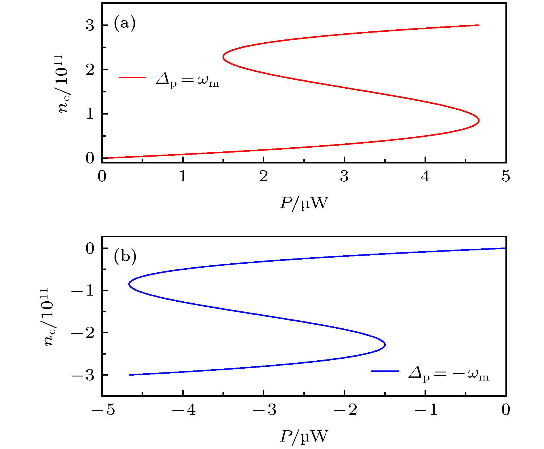
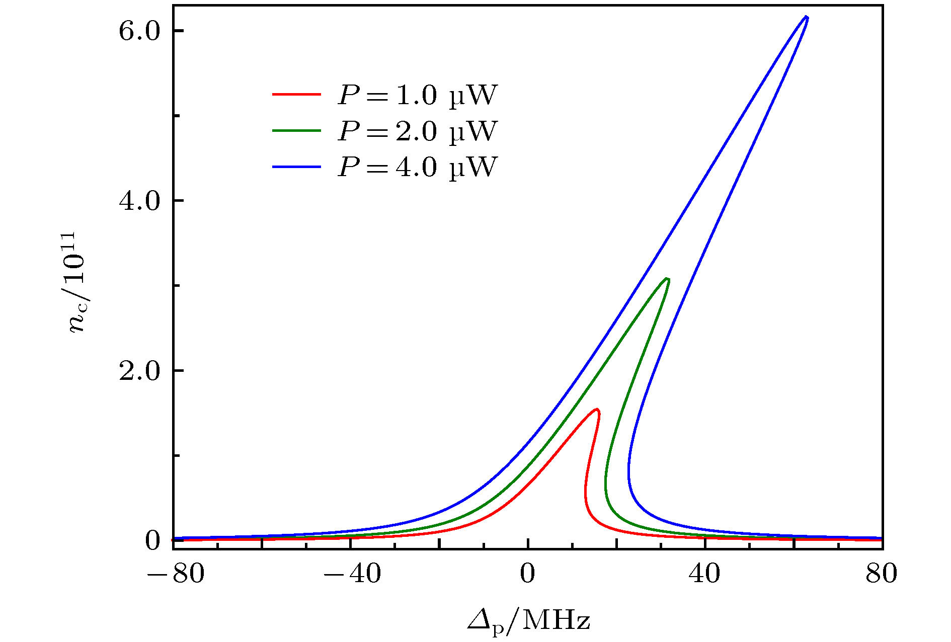
    Nonlinear optical effect and nonlinear optical mass sensor based on graphene optomechanical system

    Chen Hua-Jun
    PDF
    HTML
    导出引用
    计量
    • 文章访问数:6312
    • PDF下载量:137
    • 被引次数:0
    出版历程
    • 收稿日期:2019-11-13
    • 修回日期:2020-04-15
    • 上网日期:2020-05-09
    • 刊出日期:2020-07-05

      返回文章
      返回