Quantum phase transitions are driven by quantum fluctuations due to the uncertainty principle in many-body physics. In quantum phase transitions, the ground-state changes dramatically. The quantum entanglement, specific heat, magnetization and other physical quantities diverge according to certain functions, and show specific scaling behaviors. In addition, there is a topological quantum phase transition beyond the conventional Landau-Ginzburg-Wilson paradigm, which is relevant to emergent phenomena in strongly correlated electron systems, with topological nonlocal order parameters as a salient feature. Thus, topological order is a new paradigm in the study of topological quantum phase transitions.
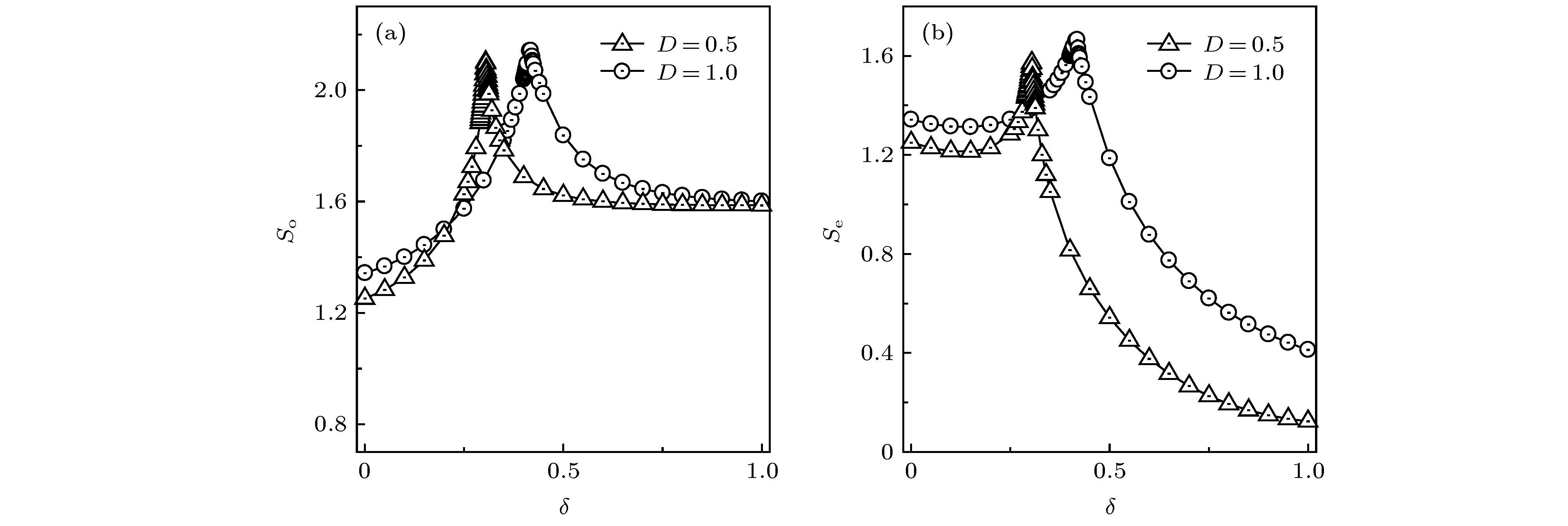
To investigate competition mechanism of the different quantum spin interactions, in this paper, the one-dimensional spin-1 bond-alternating Heisenberg model with Dzyaloshinskii-Moriya (DM) interaction is considered. The DM interaction drives the quantum fluctuations resulting in a phase transition. By using the one-dimensional infinite matrix product state algorithm in tensor network representation, the quantum entanglement entropy and order parameters are calculated from the ground-state function. The numerical result shows that with the change of bond alternating strength, there is a quantum phase transition from the topological ordered Haldane phase to the local ordered dimer phase. Based on the von Neumann entropy and order parameter, the phase diagram of this model is obtained. There is a critical line that separates the Haldane and the dimer phase. The DM interaction inhibits the dimerization of the quantum spin system and finally breaks the fully dimerization. Due to the fact that the structurally symmetry of system is broken, the local dimer order exists in the whole parameter range when the bond-alternative strength parameter changes. The first derivative of the local dimer order behaves as a peak corresponding to the critical point. Furthermore, from the numerical scaling of the first derivative of dimer order and the non-local string order near the phase transition point, the characteristic critical exponents
αand
βare obtained, respectively. It shows that the characteristic critical exponent
αdecreases, and
βincreases gradually with the interaction strength of DM increasing. The resulting state i.e. the anti-symmetric anisotropic DM interaction produced by spin-orbit coupling, affects the critical properties of the system in the phase transition. This reveals that the competition mechanism of the quantum spin interaction, also provides some guidance for the future study of the critical behavior in topological quantum phase transition with the DM interaction.