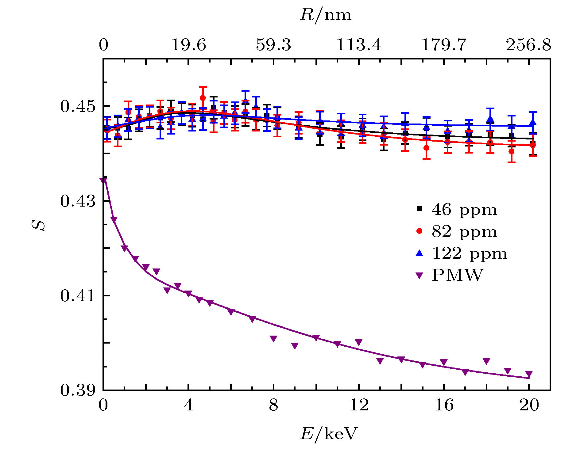
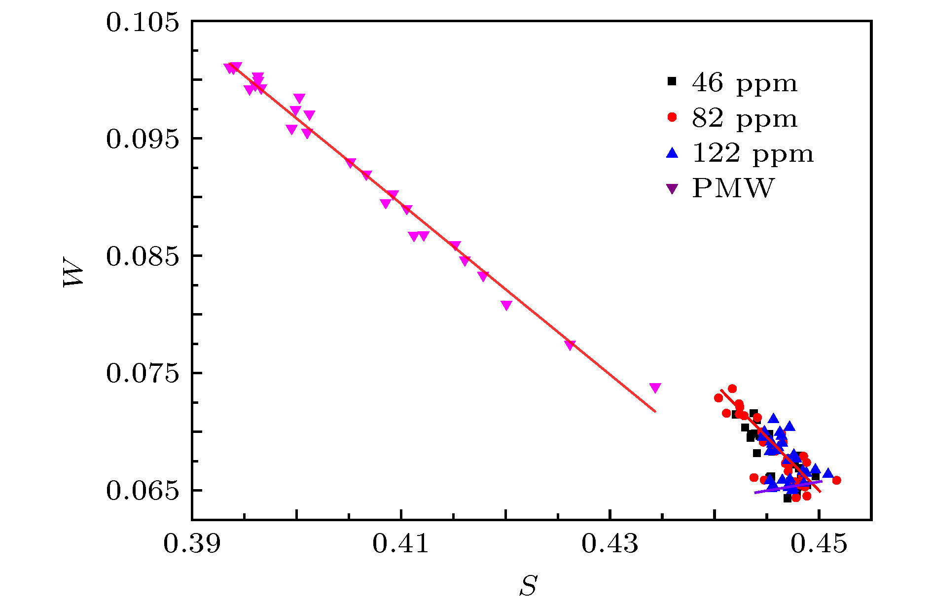
Tungsten alloy is known as a promising plasma-facing material (PFM) in IETR because of high strength, high-temperature stability, low sputtering erosion, low tritium retention, etc. However, tungsten has some disadvantages, such as high ductile-brittle transition temperature, low temperature brittleness, and radiation embrittlement. For the severe environment of PFM, various techniques have been adopted to improve W-based materials, among which the potassium doping is an effective bubble strengthening method, it can bring in nano-sized K bubbles, and enhance the toughness and strength, thermal shock performance, irradiation resistance of the materials. The K bubbles, which can pin grain boundaries (GBs) and dislocations, are the most characteristic defects in W-K alloy and have been widely reported. However, little attention is paid to other defects such as vacancies, GBs and dislocations. In fact, high-density dislocations exist in W-K alloy and vacancies play a considerable role in forming the K bubbles. Thus, positron annihilation technique (including the positron annihilation lifetime spectrum and slow positron beam Doppler broadening spectrum), which is a useful technique for detecting defects in solids, can be used to study these defects in W-K alloy samples. The positron lifetime of potassium bulk is about 376 ps and the positron lifetime of tungsten bulk is about 110 ps. But by simulating positron lifetime of defects in tungsten, it is found that potassium atoms in tungsten lattice do not exhibit the characteristic positron lifetime. Therefore, potassium is not considered in analyzing positron annihilation lifetime spectra of W-K alloy samples with different potassium content (46, 82, 122, 144 ppm). Three-state capture model is established in this paper, the dislocation density and vacancy cluster concentration of these samples are obtained. From the results, the dislocation densities in all samples are very high, but vacancy cluster concentrations are relatively low, and the vacancy cluster concentration in the sample with 82 ppm potassium content is the lowest in all samples. The behavior of potassium atoms in the sintering process is also discussed. Then the slow positron beam Doppler broadening spectra of W-K alloy samples and pure tungsten samples are measured and the obtained data are fitted by VEPFIT. It is noted that the defects in W-K alloy samples are much more than those in pure tungsten sample, and are distributed homogeneously with depth. The positron diffusion length information simultaneously obtained is compared with these values computed by dislocation density and vacancy cluster concentration, confirming the positrons trapped by potassium bubbles and grain boundaries are existent.