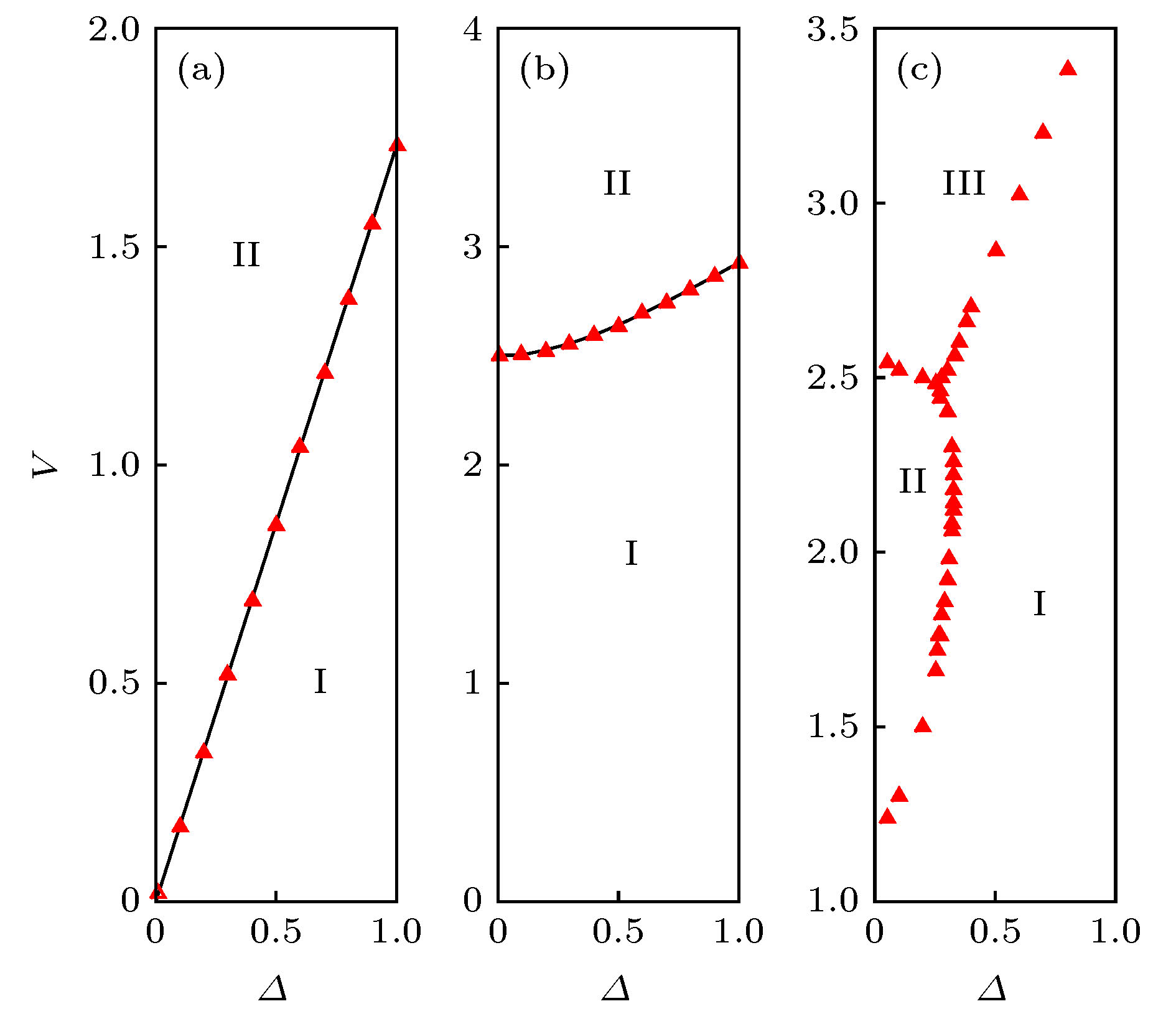
\begin{document}$Z_2$\end{document}拓扑不变量确定系统的相图, 指出系统的拓扑相变强烈地依赖于调制参数\begin{document}$\alpha$\end{document}和相移\begin{document}$\delta$\end{document}. 在非公度势调制下, 以\begin{document}$\alpha=(\sqrt{5}-1)/2$\end{document}, \begin{document}$\delta=0$\end{document}为例, 计算系统的低能激发谱、\begin{document}$Z_2$\end{document}拓扑不变量以及逆参与率等, 发现p波配对强度\begin{document}$\varDelta\in(0,0.33)$\end{document}时, 系统存在拓扑非平庸超导相, 拓扑平庸超导相和拓扑平庸局域相的转变. 而当p波配对强度\begin{document}$\varDelta > 0.33$\end{document}时, 系统存在拓扑非平庸超导相和拓扑平庸局域相的转变."> - 必威体育下载

搜索

x

留言板

姓名
邮箱
手机号码
标题
留言内容
验证码

downloadPDF
引用本文:
Citation:

武璟楠, 徐志浩, 陆展鹏, 张云波

Topological quantum phase transitions in one-dimensional p-wave superconductors with modulated chemical potentials

Wu Jing-Nan, Xu Zhi-Hao, Lu Zhan-Peng, Zhang Yun-Bo
PDF
HTML
导出引用
计量
  • 文章访问数:8365
  • PDF下载量:261
  • 被引次数:0
出版历程
  • 收稿日期:2019-12-10
  • 修回日期:2020-01-15
  • 刊出日期:2020-04-05

    返回文章
    返回