-
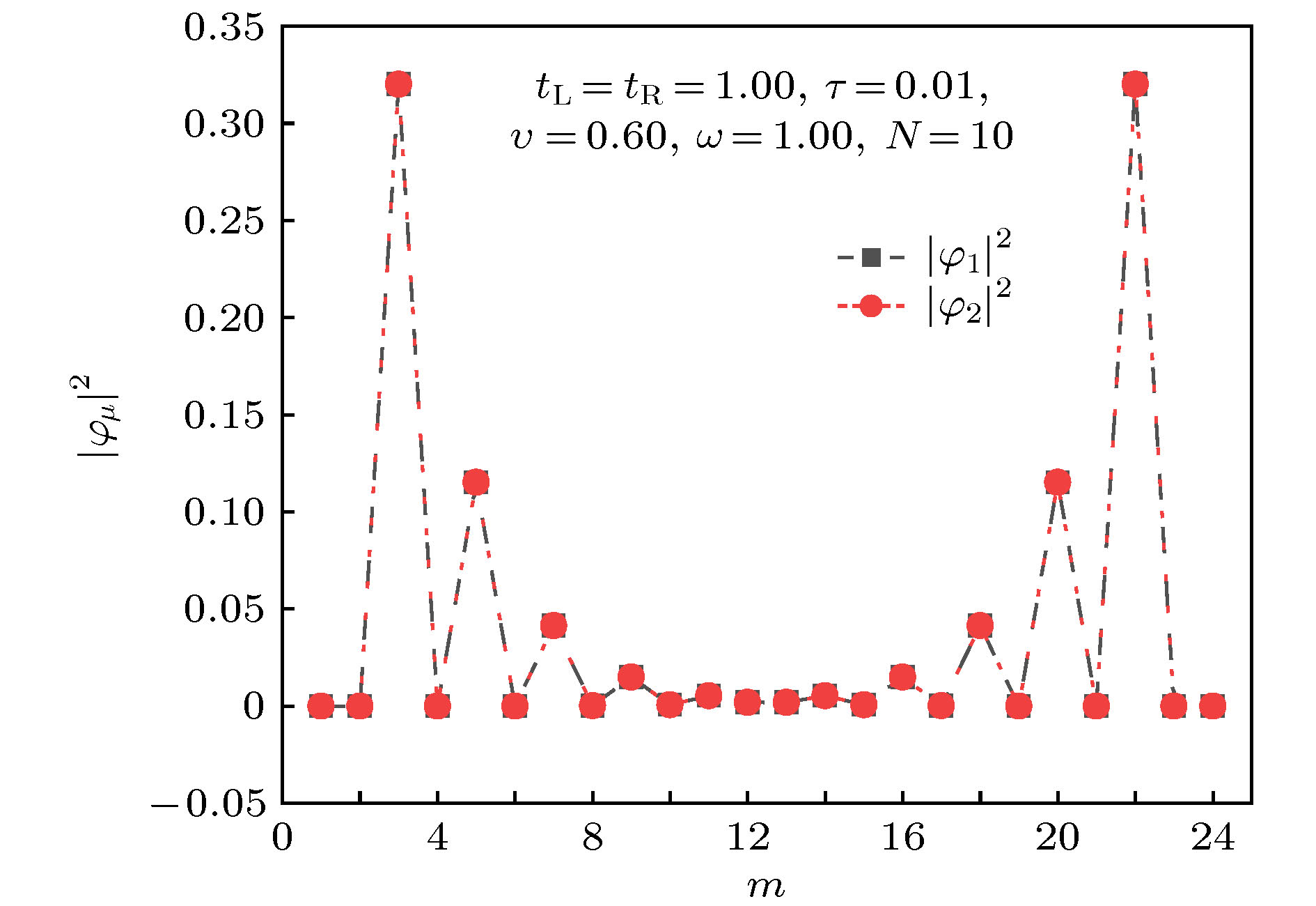
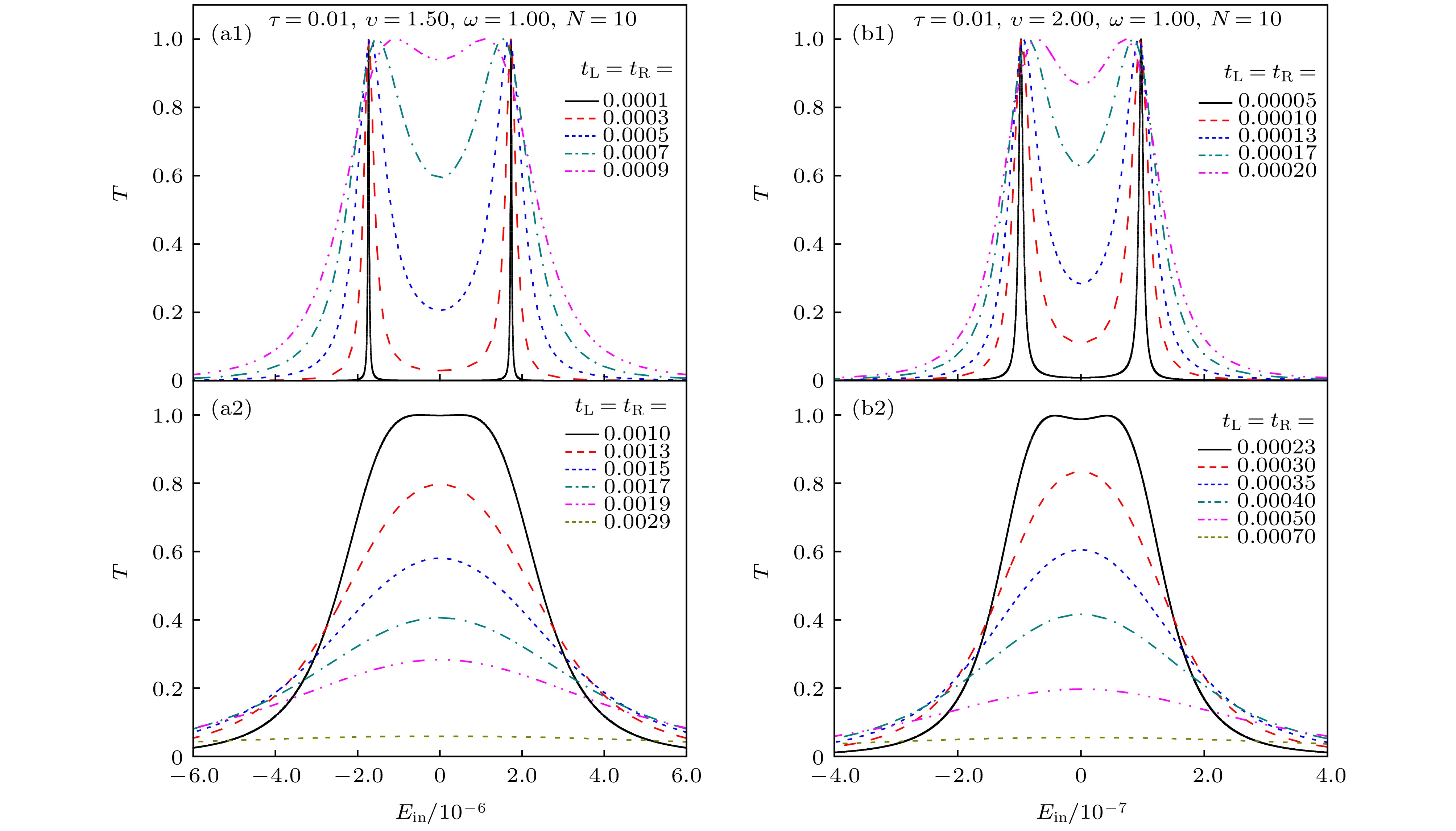
Su-Schrieffer-Heeger(SSH)原子链是典型的具有拓扑边缘态的一维系统, 并且已在光子和冷原子系统中实验实现. 本文在紧束缚近似下, 利用传输矩阵方法研究了量子点-SSH原子链系统的电子输运特性, 这里, 量子点的作用是调节SSH原子链与电极的隧穿耦合强度. 当量子点与SSH原子链弱耦合时, 量子点-SSH原子链系统的四重简并边缘态对应SSH原子链存在边缘态的情形, 而其二重简并边缘态对应SSH原子链不存在边缘态的情形; 当量子点与SSH原子链强耦合时, 其边缘态仅在胞内跳跃振幅大于胞间跳跃振幅情形下存在, 此时, SSH原子链不存在边缘态. 尤其是, 当量子点-SSH原子链系统与外加电极之间为强隧穿耦合时, 其边缘态的电子共振透射峰的个数将减少2, 例如: 对于四重简并的边缘态, 即SSH原子链存在边缘态的情形, 其电子共振透射峰的个数将变为2; 而对于二重简并的边缘态, 即SSH原子链不存在边缘态的情形, 其电子的共振透射峰将消失. 因而, 可以通过调节量子点与SSH原子链、外加电极之间的隧穿耦合强度, 观察边缘态电子共振透射峰的个数变化情况来判断SSH原子链是否处于非平庸拓扑态.
-
关键词:
- 边缘态/
- Su-Schrieffer-Heeger原子链/
- 透射率
The Su-Schrieffer-Heeger (SSH) is a typical one-dimensional system with topological edge states, which has been experimentally realized in the photon and cold atom systems.Therefore, how to confirm the existence of the edge states from theoretical and experimental has become one of the most important topics in condensed matter physics. In this paper, using the tight-binding approximation and transfer-matrix method, we have studied the transport signatures of electron through a quantum dot-SSH chain hybrid system. Here,the two quantum dots play a role in modulating the tunneling coupling strength between the SSH chain and the two electrodes.When the quantum dots are weakly coupled to the SSH chain, the quadruple-degenerate edge states of the quantum dot-SSH chain hybrid system correspond to that the SSH chain has two degenerate zero-energy edge states; whereas the twofold-degenerate ones correspond to that the SSH chain has no edge states. While the quantum dots are strongly coupled to the SSH chain, the edge states only exist when the intra-cell hopping amplitude is larger than the inter-cell hopping amplitude. In this situation, however, there is no edge states in the SSH chain. In particular, when the quantum dot-SSH chain hybrid system is strongly coupled to the two external electrodes, the number of transmission resonance peaks of the edge states of the quantum dot-SSH chain hybrid system will be reduced by 2. For example, in the case of the quadruple-degenerate edge states, the number of transmission resonance peaks will be two; whereas in the case of twofold-degenerate ones, that will disappear. Therefore, by modulating the tunneling coupling strength between the quantum dots and the SSH chain and that between the quantum dots and the two external electrodes, we can observe the variation of the number of transmission resonance peaks of edge states to detect whether the SSH chain is in the nontrivial topological state or not.[1] [2] [3] [4] [5] [6] [7] [8] [9] [10] [11] [12] [13] [14] [15] [16] [17] [18] [19] [20] [21] [22] [23] [24] [25] [26] -
[1] [2] [3] [4] [5] [6] [7] [8] [9] [10] [11] [12] [13] [14] [15] [16] [17] [18] [19] [20] [21] [22] [23] [24] [25] [26]
计量
- 文章访问数:7575
- PDF下载量:241
- 被引次数:0












下载:






