-
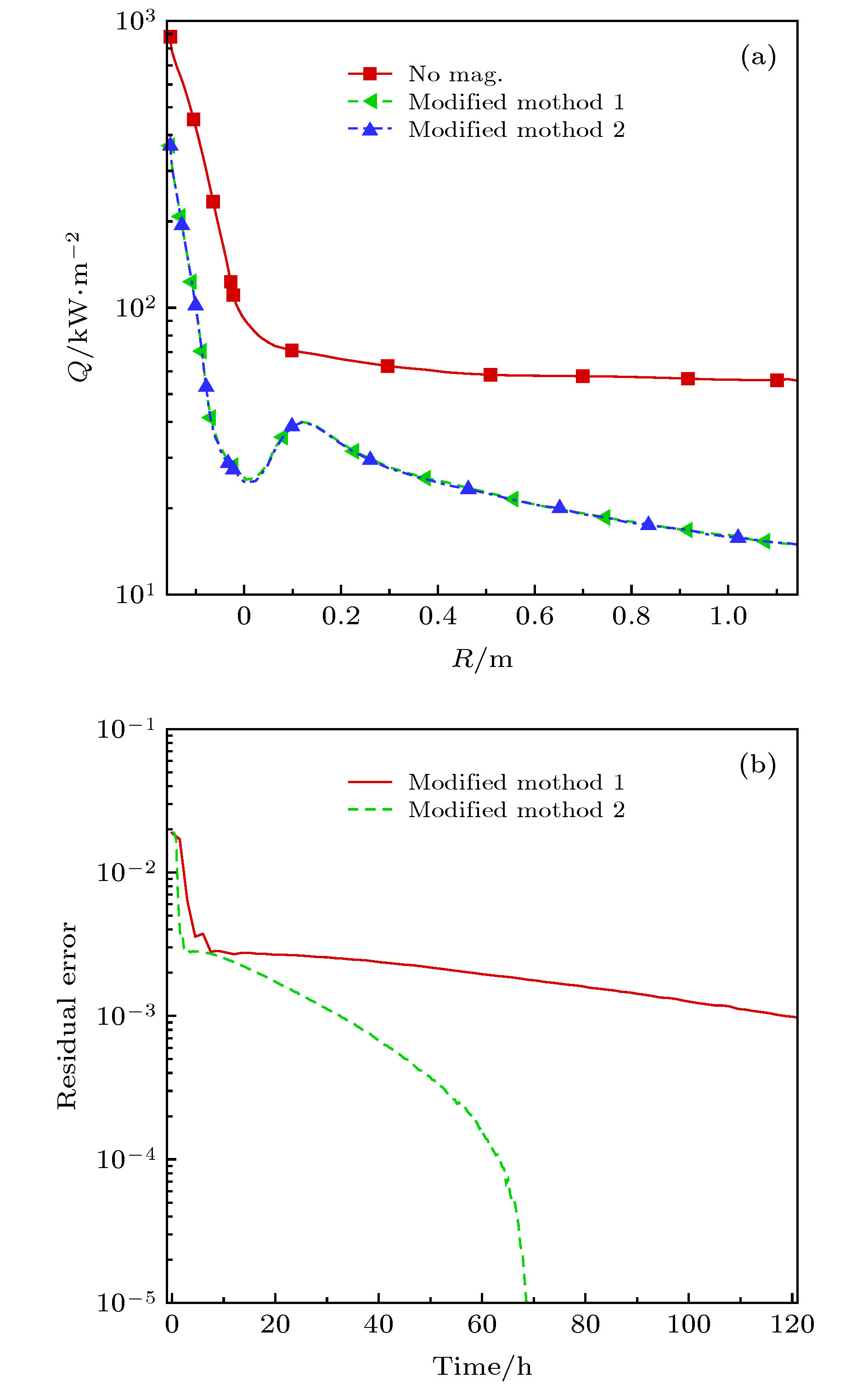
针对低磁雷诺数方法的适用性问题, 分析了当前低磁雷诺数条件应用上存在分歧以及全磁流体力学方法在高超声速领域局限性产生的原理. 在低磁雷诺磁流体力学控制数值模拟方法的基础上, 基于感应电流积分计算磁矢量势, 考虑截断因子对计算域的缩减, 提出了一种考虑感应磁场修正的低磁雷诺数磁流体力学计算方法, 并加以验证. 结合RAM-C钝锥体试验飞行状态数值模拟, 分析了“忽略感应磁场”造成的计算偏差, 探讨了“低磁雷诺数假设”在高超声速领域的使用原则. 研究表明: 1)本文建立的修正计算方法, 突破低磁雷诺数条件的限制, 拓展了低磁雷诺数方法在高超声速领域的适用性和应用范围, 数值模拟结果可信度高, 同时通过积分区域限制等方法使计算效率得到了较大的提升; 2)高超声速流动过程中感应磁场的影响, 在宏观上表现为对外加磁场的削弱和扭曲, 一定程度上降低了磁控效果; 本文计算条件下, “ Re m< 0.1”的低磁雷诺数条件可能过于保守, 建议取为 Re m< 1.0, 同时其特征电导率和特征尺度应综合考虑实际的等离子体分布.Aming at the applicability of low magnetic Reynolds number method, in this paper we analyze the differences in the application of low magnetic Reynolds number condition and the limitation of full MHD method when it is applied to hypersonic flow. According to the low magnetic Reynolds number magneto-hydrodynamic control numerical simulation method, computing magnetic vector potential through integrating induced current, and considering the reduction of computation domain caused by truncation factors, we propose a low magnetic Reynolds number MHD computation method which is adjusted by the induced magnetic field, and the validation of this method is also presented. Through the numerical simulation of RAM-C blunt cone in flight test condition, we analyze the discrepancy caused by “neglecting induced magnetic field”, and also discuss the principle of the application of low magnetic Reynolds number assumption of hypersonic flow. The obtained results are as follows. (1) The adjusted computation method developed in this paper breaks through the limit of low magnetic Reynolds number, and expands the application range of low magnetic Reynolds number method to hypersonic flow, the numerical simulation result is reliable; Compared with direct integration of Biot-Savart law, the computation efficiency is considerably improved. (2) In the hypersonic flow, the influence of induced magnetic field is presented, thus weakening and distorting the applied magnetic field macroscopically, as a result weakening the effect of magnetic control to some extent. Under the condition of this paper, the low magnetic Reynolds number condition “ Rem< 0.1” is probably too conservative, and it is better to adopt Rem< 1.0, and the characteristic conductivity and characteristic length should be chosen according to the actual plasma distribution.
[1] [2] [3] [4] [5] [6] [7] [8] [9] [10] [11] [12] [13] [14] [15] [16] [17] [18] [19] [20] [21] [22] [23] [24] [25] [26] [27] [28] [29] [30] [31] [32] [33] [34] [35] [36] -
计算方法或条件 总阻力系数 增大比例 No Mag. 0.292 — 一般低$R{e_{\rm{m}}}$方法 0.991 239% 修正方法 0.980 234% -
[1] [2] [3] [4] [5] [6] [7] [8] [9] [10] [11] [12] [13] [14] [15] [16] [17] [18] [19] [20] [21] [22] [23] [24] [25] [26] [27] [28] [29] [30] [31] [32] [33] [34] [35] [36]
计量
- 文章访问数:5446
- PDF下载量:50
- 被引次数:0












下载:








