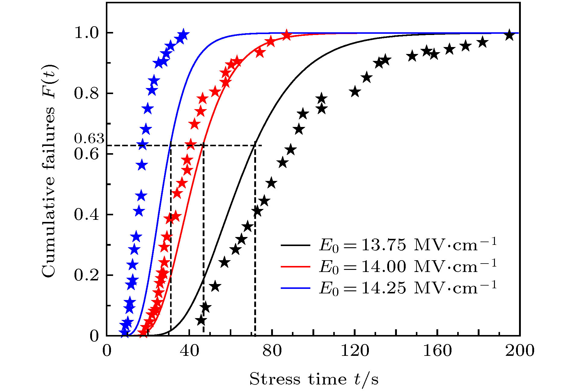
As one of the important factors affecting the reliability of Complementary metal oxide semiconductor integrated circuits, the time-dependent dielectric breakdown of gate oxide has always been the focus of domestic and foreign scientists. The previous researches have shown that when the electrons pass through the silicon dioxide lattice and collide with it, part of their kinetic energy will be dissipated, then among of which can create some sort of defects that behave as electron traps. However, when the electron traps density reaches a critical value in the gate oxide, the destructive thermal effects open a low-resistance ohmic path between the electrodes, thus, triggering the breakdown conducting mechanism. In this paper, in order to employing a statistical theoretical analysis method, the behavior related with time-dependent dielectric breakdown of gate oxide was investigated in detail. The following useful results are obtained, (i) According to the microscopic mechanism of the time-dependent dielectric breakdown of gate oxide under electrical stresses associated with the randomness and irreversibility of the electron traps generation in gate oxide, a theoretical analysis method has been proposed, which is based on the equation of the electron traps generation rate combined with the Langevin equation in random theory and the Fokker-Planck equation in the non-equilibrium statistical theory. (ii) In light of the dynamic equilibrium model, the generation rate equations of electron traps under constant current stress and constant voltage stress as well as the probability density distribution functions of electron traps density were determined. By integrating these distribution function, the cumulative failure rate was further obtained. (iii) Taking the specific metal oxide semiconductor capacitors as examples, the relationship between the most probable lifetime of the gate oxide and the constant current stress, constant voltage stress, as well as its thickness have been revealed. And the concept of "breakdown limit" was defined by analogy with the concept of "fatigue limit" in the phenomenon of solid fracture. (iv) The dependence of the cumulative failure rate on the current stress, voltage stress, and time has been presented. A characteristic value of the time was introduced to indicate the time when the cumulative failure rate reaches 0.63. At this time, most devices have breakdown failure. Besides, the test parameters are not affected by previous failures, and they are close to that of the cumulative failure rate of 1. The results show that the probability density distribution function of electron traps density satisfies lognormal distribution, and the obtained distribution of failures fits well with the experimental statistical data.