Medium entropy alloys have attracted much attention because of their excellent physical and chemical properties. Nano-scaled
L1
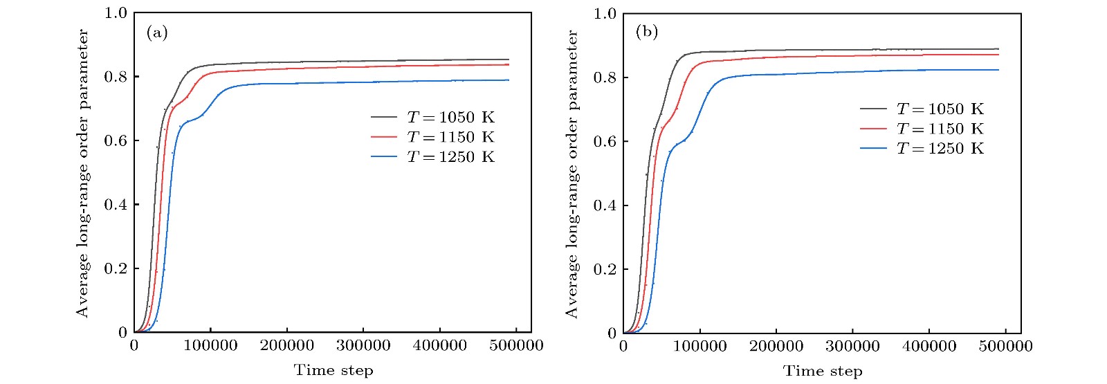
2structure ordered phase plays an important role in strengthening the mechanical properties of medium entropy alloys, and its local atomic arrangement plays a decisive role in yield strength of medium entropy alloys. In this paper, the microscopic mechanism of the precipitation process of Ni
60Al
20V
20medium entropy alloy is studied by using the micro diffusion phase field dynamics model, in which the probability of atoms to occupy the lattice position is taken as a field variable to describe the configuration of atoms and the morphology of precipitates. In this model, the shape and concentration of precipitate phase, the position and appearance of new phase cannot be set in advance. Combined with the inversion algorithm, the precipitation mechanism of ordered phases of
γ'(
L1
2-Ni
3Al) and
θ(
DO
22-Ni
3V) is discussed by analyzing the evolution of atomic images, the change of order parameters and volume fraction. The result shows that two kinds of ordered phases are precipitated in the kinetical process of disordered phase ordering into Ni
60Al
20V
20medium entropy alloys, which are of
$ {\gamma }' $
phase with
L1
2structure and of
$ \theta $
phase with
DO
22structure.The two ordered phases constitute a pseudo binary system. The
L1
0phase precipitates at the same time as
DO
22, and the
L1
0phase gradually transforms into the
L1
2-
γ′phase, while the traditional Ni
75Al
7.5V
17.5alloy first precipitates
L1
0phase, and then the
DO
22phase precipitates at the boundary of anti-phase domain of
L1
2phase. In the transition from L1
0to
L1
2, α position of fcc lattice is occupied by Ni atom, and the
βposition is occupied by Al atom and V atom. The congruent ordering of atoms results in the formation of
θsingle-phase ordered domain of
DO
22structure, followed by spinodal decomposition; the non-classical nucleation of
L1
0structure gradually transforms into
L1
2-
γ′phase and spinodal decomposition. The interaction potential between the first-nearest-neighbor atoms of Ni-Al increases linearly with temperature, and increases gradually with the increase of long range order parameters. The incubation period of Ni
60Al
20V
20medium entropy alloy lengthens with temperature increasing. This study can be applied to the design of Ni-Al-V medium entropy alloy.