搜索

x

留言板

姓名
邮箱
手机号码
标题
留言内容
验证码

downloadPDF
引用本文:
Citation:

    李春雷, 徐燕, 郑军, 王小明, 袁瑞旸, 郭永

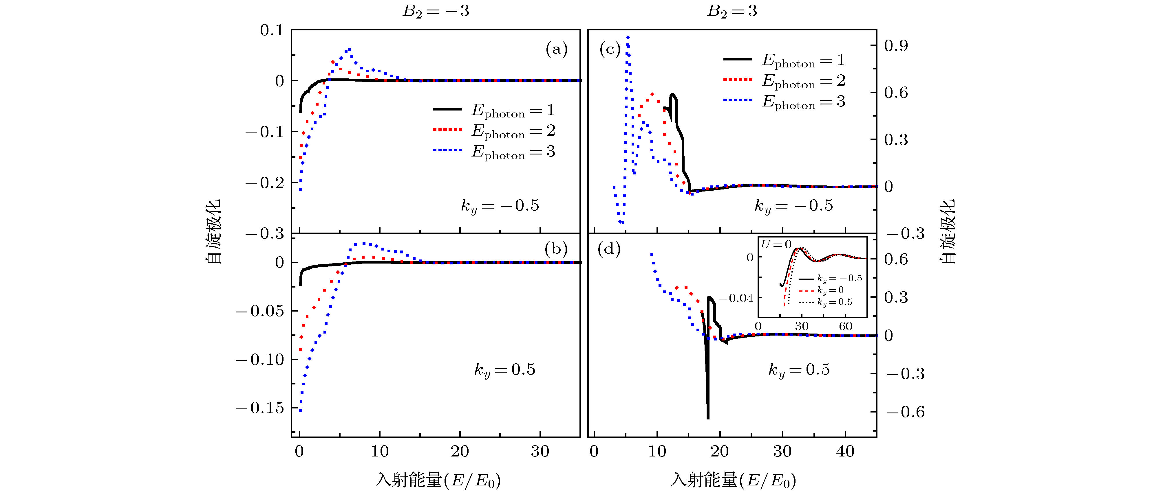
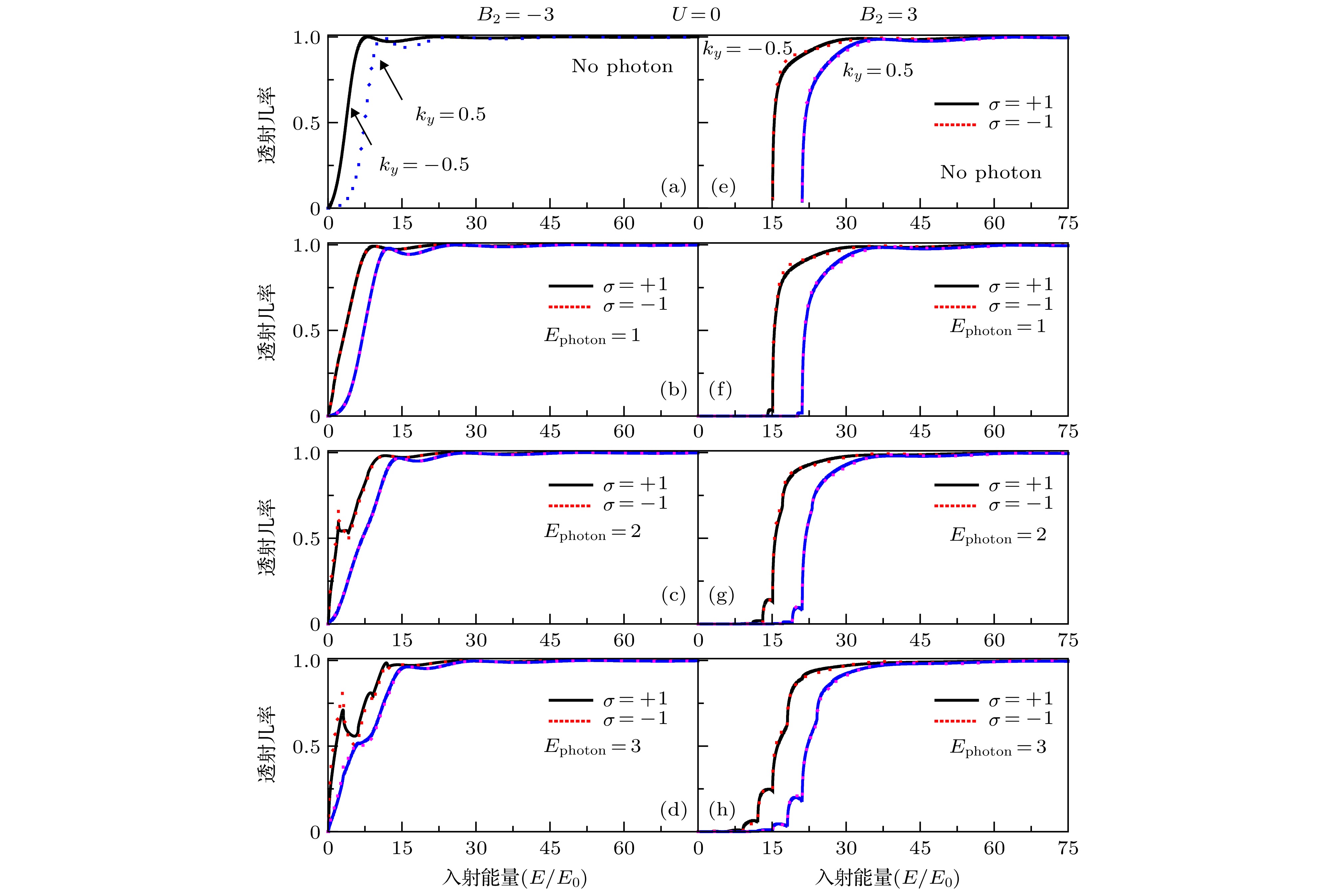
    Light-field assisted spin-polarized transport properties in magnetic-electric barrier structures

    Li Chun-Lei, Xu Yan, Zheng Jun, Wang Xiao-Ming, Yuan Rui-Yang, Guo Yong
    PDF
    HTML
    导出引用
    计量
    • 文章访问数:5973
    • PDF下载量:94
    • 被引次数:0
    出版历程
    • 收稿日期:2020-02-18
    • 修回日期:2020-03-17
    • 刊出日期:2020-05-20

      返回文章
      返回