-
提出了一种三线阿基米德螺线结构产生环形磁势阱以囚禁中性原子的导引方案. 该结构具有
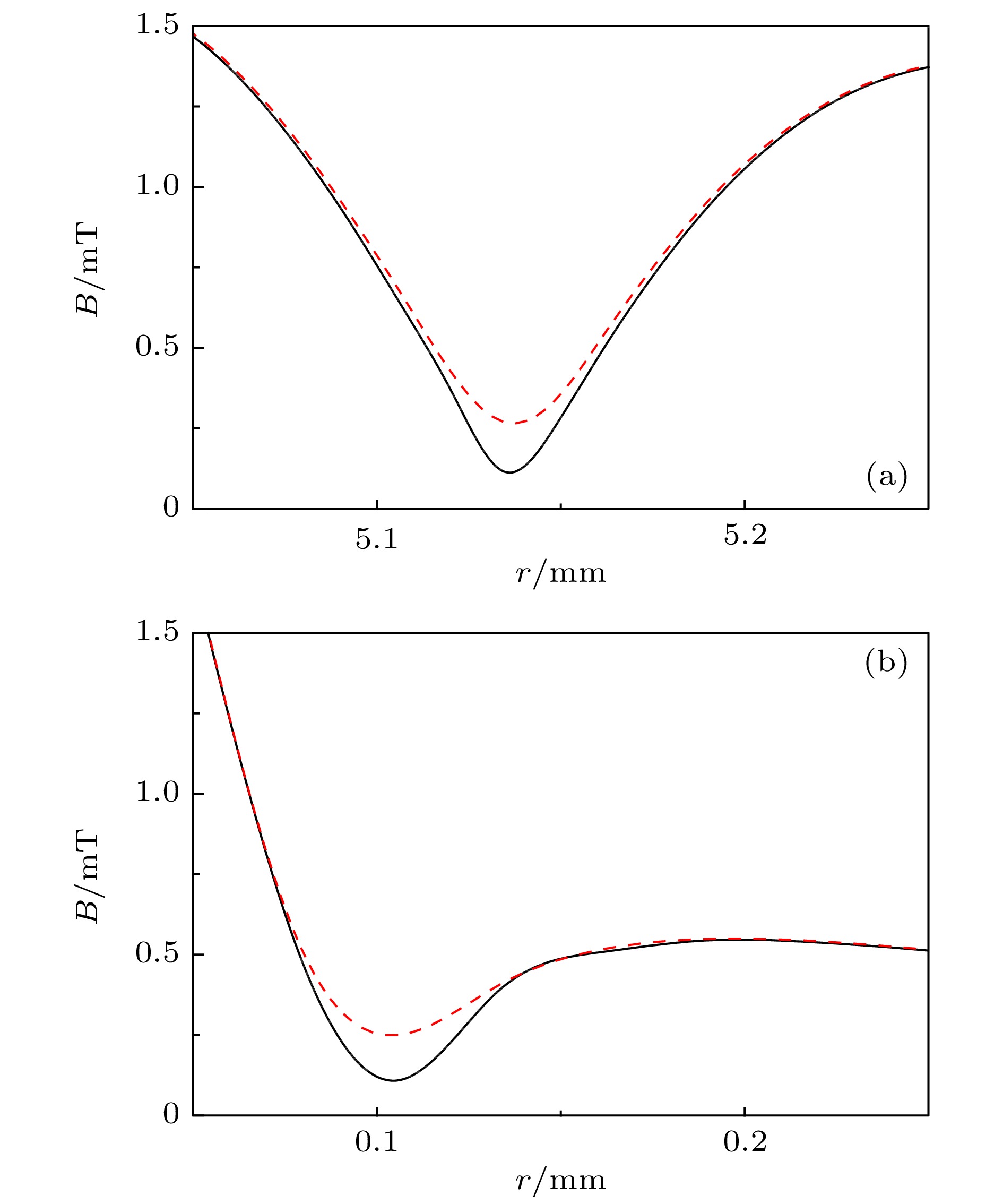
$ {\text{π}}/3$ 旋转对称性, 由三根导线组成. 每根导线包含一对由圆弧连接的阿基米德螺线, 且具有中心对称性. 这种结构能够避免电流引线端导致的导引缺口问题. 当加载直流电时, 可以形成闭合的环形磁导引, 但导引中心存在磁场零点. 利用时间轨道平均势原理, 在直流电的基础上再加载交流调制, 对调制电流的参数进行分析和讨论后给出优化方案, 使环形磁导引中心无磁场零点, 同时平滑了环形磁导引中心磁场强度在角向上的起伏变化. 该结构可以刻蚀在芯片表面, 具有生产工艺简单、调制稳定等优点, 有利于实现导引型原子芯片陀螺仪.We propose a scheme to create a ring magnetic guide based on Archimedean spirals. This scheme is significant to obtaining large circle area for atom interference and the realization of guided atom-interferometer gyroscopes. Then the scheme can be used to realize an inertial sensing system which is independent of the GPS system. The wires structure with $ {\text{π}}/3$ rotational symmetry is composed of three wires. Each wire is centrosymmetric and consists of a pair of Archimedean spirals connected by two arcs. Consequently, the leading wire ends of the layout can be arranged separately in the different place of the layout plane. If the leading wire ends are put together somewhere, the closed ring guide cannot form and a gap appears in the guide due to the concentrated distribution of the leading wire ends. Since the leading wire ends distribute in the different location with$ {\text{π}}/3$ rotational symmetry in our scheme, when direct currents are applied, the closed ring trap can be generated ingeniously.We calculate and analyze the magnetic field distribution generated by our structure after loading currents in the cylindrical coordinates system. To get higher sensitivity compared to GPS and make the ring trap locate in a proper height above the chip surface, we set the initial radius of Archimedean spirals $ a=5\ {\rm{mm}}$ and the distance between neighboring spirals$ d=0.1\ {\rm{mm}}$ . When three wires carry direct currents in an opposite current-phase-difference between the adjacent wires, a closed ring magnetic guide indeed appears but with six zero magnetic field points along the guide center. Because of the variation of the current density along rdirection in Archimedean spirals, the magnetic field of the guide center is not zero at most angle. However, the variation cannot avoid the existence of zero points and the distribution of the zero points is determined by the rotational symmetry of the wires structure.Since atoms near the zero points of the magnetic field would be lost from the trap, the zero points must be removed from the center of the ring guide. Based on the time-orbiting-potential principle (TOP), we add an ac current modulation on the direct currents above to eliminate the influence of the zero points of the guide center. We give the ac current expressions and discuss the effects of currents parameters on the ring guide. The current phase reflects how the currents change in three wires. The modulation depth determines the effect of the modulation: if the modulation depth is too high, the trap may disappear; if the modulation depth is too low, the effect is minimal. The modulation frequency reflects the change rate of the modulation magnetic field. To ensure the smoothness of the guide along angular direction and adiabatic following of the magnetic field, we set the modulation depth $ I_j/I_i=0.1$ , the current-phase$ \phi=2{\text{π}}/3$ and the modulation frequency$ \omega_b=2{\text{π}}\times10\ {\rm{kHz}}$ . The numerical calculation results indicate that ac current modulation can change the magnetic field intensity of the guide center and smooth the variance of the magnetic field intensity of the guide along angular direction. We take the cross section of the guide with$ \theta={\text{π}}/2$ , for example. The minimum of the instantaneous magnetic field rotates and our structure has formed a TOP trap in both the rand zdirections. In angular direction, the magnetic field intensity of the guide center changes near$ 0.25\ {\rm{mT}}$ . The difference between the maximum and the minimum is$ \Delta\,B\approx0.007\ {\rm{mT}}$ which is small enough compared to applying direct current only.Therefore, based on the Archimedean spirals and ac current modulation, we obtain an enclosed and smooth ring magnetic guide without zero magnetic fields along the guide center for neutral atoms. The location of the guide center also changes along the angle direction. The amplitudes of variation along rand zdirections are $ \Delta r=0.015\ {\rm{mm}}$ ,$ \Delta z=0.005\ {\rm{mm}}$ , which are$ \Delta r/l\approx0.3\,\%$ ,$ \Delta z/l\approx0.1\,\%$ compared with$ l\approx2{\text{π}} a/6\approx5.236\ {\rm{mm}}$ .Compared to other schemes, our structure can be etched on an atom chip and is easily to apply modulation currents, which is simple and stable to form a ring magnetic guide. This scheme can be used to realize a compact, low power and stable inertial sensor based on atom-chip gyroscope device. -
Keywords:
- ring magnetic guide/
- Archimedean spirals/
- atom chip/
- AC modulation
[1] [2] [3] [4] [5] [6] [7] [8] [9] [10] [11] [12] [13] [14] [15] [16] [17] [18] [19] [20] [21] [22] [23] [24] [25] [26] [27] [28] -
[1] [2] [3] [4] [5] [6] [7] [8] [9] [10] [11] [12] [13] [14] [15] [16] [17] [18] [19] [20] [21] [22] [23] [24] [25] [26] [27] [28]
计量
- 文章访问数:6867
- PDF下载量:147
- 被引次数:0












下载:






