Fluid-structure interaction pipeline systems are extensively adopted to transfer matter, energy and momentum, which are widely used in various fields. Due to the fluid-structure interaction effect, the pipe wall proves to produce strong vibration and noise under fluid action, which has a serious influence on the safety and concealment of the equipment, even leading to serious damages. Therefore, it is of great significance to study the vibration characteristics of fluid-structure interaction pipeline and methods to reduce the vibration of pipeline both in theory and in practice.
Phononic crystal can suppress the propagation of elastic waves in a specific frequency range by their special band-gap characteristics, which have wide application prospects in the field of vibration and noise reduction. Especially, the band gap characteristics of phononic crystal pipeline used to design fluid-structure interaction pipeline system have been widely studied, thus providing a new technical approach to reducing the vibration and noise of the pipeline.
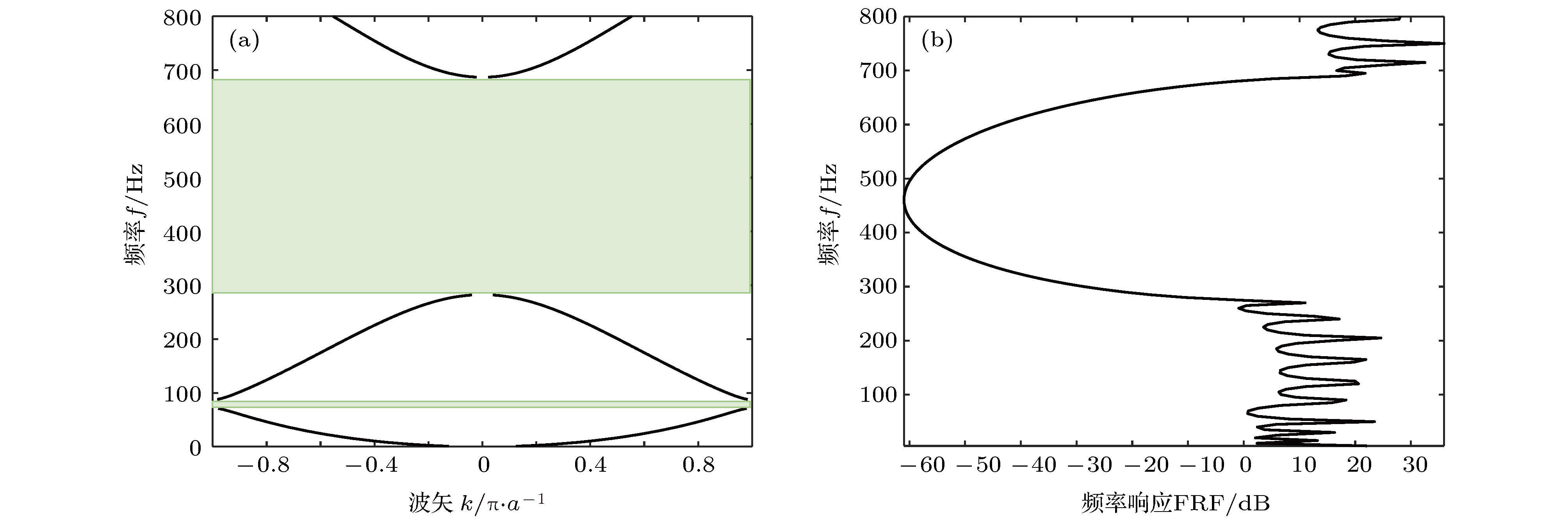
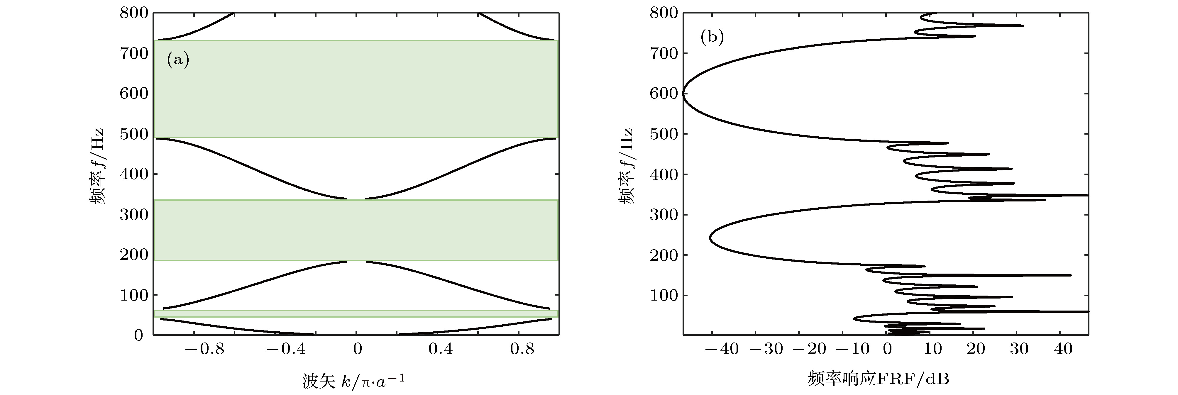
In this paper, based on the theory of phononic crystal, the vibration transfer characteristics of the Bragg phononic crystal pipeline under fluid-structure interaction are studied. Combining the transfer matrix method and the finite element method, the band structure and band gap characteristics are calculated. Using the finite element method, the vibration characteristics of the phononic crystal pipeline under fluid-structure interaction effect, the shock excitation of pipe wall and the shock excitation of the fluid are considered. The influence of the fluid-structure interaction on the vibration transmission characteristics of the phononic crystal pipeline is also analyzed.
The research results indicate that when the fluid velocity in the fluid-structure interaction pipeline system is small the Bragg phononic crystal pipeline has a good attenuation effect on the shock excitation of pipe wall in the band gap range, and that when the fluid velocity increases the fluid-structure interaction effect becomes significant, the attenuation effect becoming weaker. Bragg phononic crystal pipeline has a certain attenuation effect on the pipe wall vibration caused by the fluid shock excitation near the band gap. The research results are expected to be able to provide a technical reference for the vibration control of pipeline systems under fluid-structure interaction conditions.