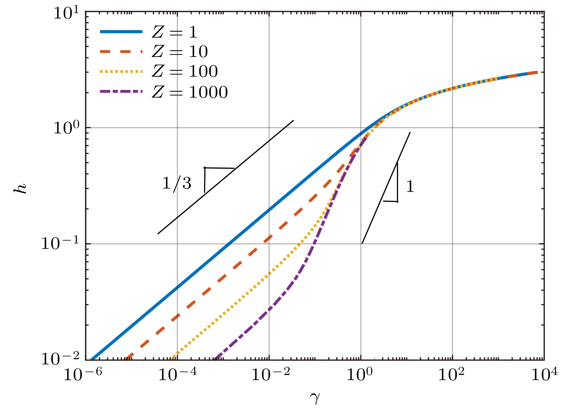
\begin{document}$\varPhi$\end{document}较高, 电量Z较低时, 纳米粒子可以渗入聚电解质刷内部. 当纳米粒子浓度\begin{document}$\varPhi$\end{document}相对较低, 电量Z较高时, 纳米粒子几乎不能渗入刷内部, 但依然可以影响刷的厚度. 在前一种情形下, 刷行为由反离子、纳米粒子的渗透压与链的熵弹性之间的竞争决定, 刷厚度满足的标度关系为\begin{document}$H \approx (Z\varPhi)^{-1/3}$\end{document}; 在后一种情形下, 刷行为由反离子的渗透压与链的熵弹性之间的竞争决定, 刷厚度满足的标度关系为\begin{document}$H \approx (Z\varPhi)^{-1}$\end{document}. 本文还探究了纳米粒子多分散性的效应."> - 必威体育下载

搜索

x

留言板

姓名
邮箱
手机号码
标题
留言内容
验证码

downloadPDF
引用本文:
Citation:

    瞿立建

    Analytical strong-stretching theory of polyelectrolyte brushes loaded with charged nanoparticles

    Qu Li-Jian
    PDF
    HTML
    导出引用
    计量
    • 文章访问数:5751
    • PDF下载量:61
    • 被引次数:0
    出版历程
    • 收稿日期:2020-03-22
    • 修回日期:2020-04-25
    • 上网日期:2020-05-08
    • 刊出日期:2020-07-20

      返回文章
      返回