The adsorptions of various gas molecules (H
2, H
2O, CO, NH
3, NO, and NO
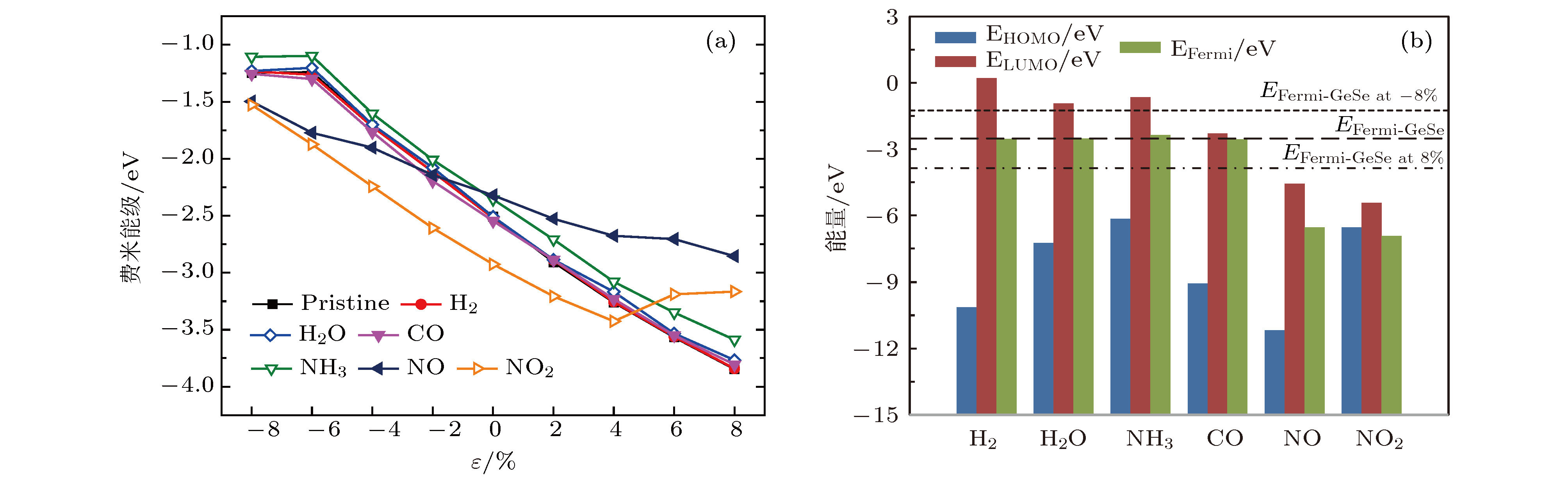
2) on monolayer GeSe versus the external biaxial strain in a range of –8% to 8% are investigated by first-principles calculations. The band structures, the equilibrium heights, the adsorption energy, and the amount of charge transfer are determined. The calculated results show that monolayer GeSe changes from indirect-to-direct and semiconducting-to-metallic under a certain biaxial strain. The adsorbed gas molecules hardly change the band gap of monolayer GeSe even under a biaxial strain in the whole range from –8% to 8%. The calculated adsorption energies under different strains reveal that the external biaxial strain has no significant effect on the adsorption stability of the gas molecules on monolayer GeSe, so it seems impossible to promote the desorption of the gas molecules by applying strain. It is found that NO
2under the biaxial tensile strain of 8% tends to be bound with the monolayer GeSe by chemical bond which leads to being-difficult-to-desorb. Besides that case, the investigated gas molecules are physisorbed on the GeSe surface and have a certain probability of adsorption and desorption. The charge transfers of CO, NH
3, NO and NO
2adsorbed systems under the biaxial strain from –8% to 8% change somehow but are still non-negligible, while for H
2and H
2O, their charge transfers are too small to be detected by the monolayer-GeSe-based gas-sensor. Thus, due to the moderate adsorption energy and charge transfer, monolayer GeSe can be a promising candidate as a sensor for CO, NH
3and NO under the biaxial strain from –8% to 8%, and for NO
2in the range from –8% to 6%. It is worth noting that because of the appropriately lower adsorption energy and bigger charge transfer, a bigger biaxial compressive strain, ranging from –6% to –8%, can improve the response speed and sensibility to CO and NO of monolayer GeSe. Furthermore, the effect of the external biaxial strain on the adsorption stability and the charge transfer are discussed based on the two mechanisms of charge transfers, i.e. the traditional and the orbital mixing charge transfer theory. The charge transfer of NH
3is governed by mixing the molecular HOMO with the orbital of GeSe, while for CO, NO and NO
2, their charge transfers are most likely determined by different mechanisms under different external strains, which results in different influences on the charge transfer. The present study would be valuable for fully excavating the gas-sensing potential of the two-dimensional GeSe, and then providing sufficient theoretical basis for designing high performance gas sensors based on two-dimensional materials.