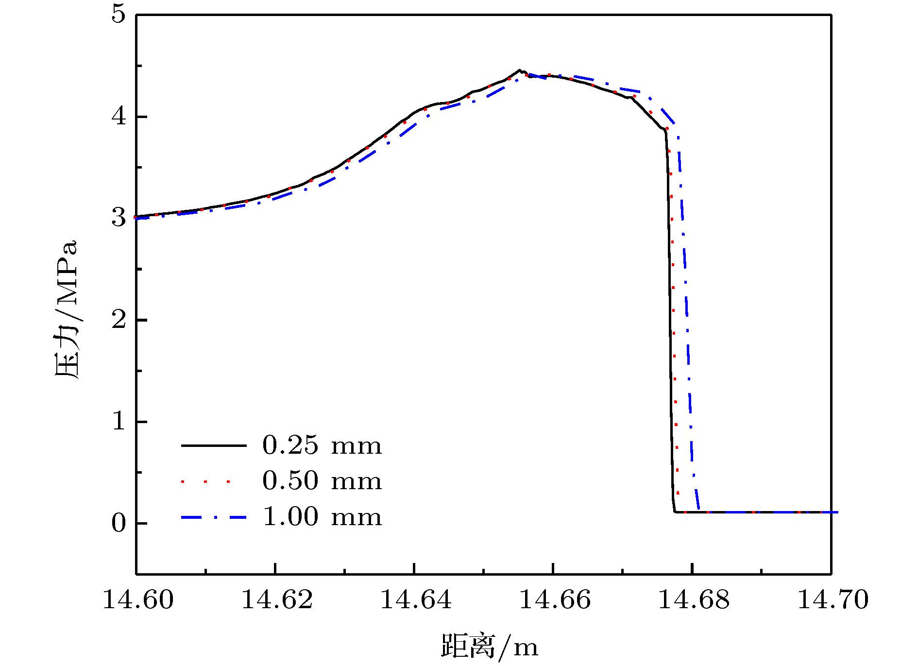
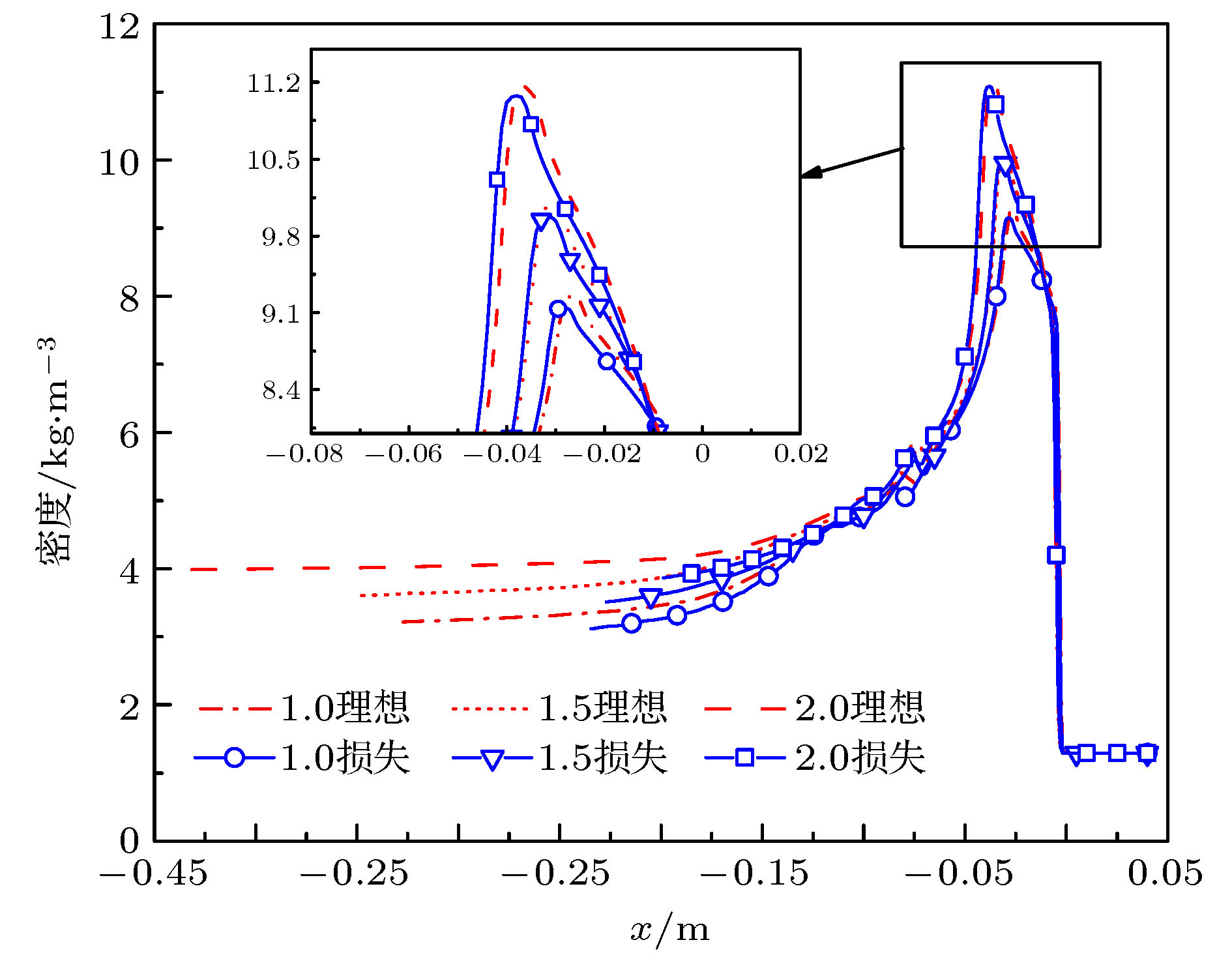
In this paper, a one-dimensional unsteady model is established for the detonation of magnesium particle-air mixture. Through numerical simulation, the influences of the loss caused by the side wall of the detonation tube, the diameter of the magnesium particles, the initial equivalent ratio of the magnesium particles, and the deposition process on the surface of the particles, and the ignition energy on the structure and development of the detonation wave and the distribution of the flow field parameters inside the detonation wave are obtained. The studies show that there appear oscillations during the propagation of the fully developed one-dimensional unsteady detonation wave of magnesium particle-air mixture, but the amplitude is less than 1 m/s. Considering the loss of the wall, the pressure and temperature inside the detonation wave decrease with the inner diameter of the detonation tube decreasing, thus leading the propagation velocity and the thickness of the detonation wave decreasing. In the case without the wall loss, as the initial particle size increases, the detonation wave velocity remains unchanged, and the detonation wave thickness monotonically increases. With the wall loss taken into consideration, the stable velocity and thickness of detonation wave are lower than without considering the wall loss under the same initial conditions. Both the difference between the velocities and the difference between thickness values under the conditions with and without considering the wall loss increase as initial particle size increases. The detonation wave thickness with a double-size-distribution initial particle size is more than that with an equivalent single-size-distribution. Meanwhile the stable propagation velocity of the former is less than that of the latter. In the range of initial particle equivalent ratio of 0.5–2, as the initial equivalent ratio increases, the stable velocity of ideal detonation wave first increases and then decreases, and the thickness of the detonation wave first decreases and then increases. Considering the loss of the wall, with the increase of the initial equivalence ratio, the stable velocity of detonation wave first decreases and then increases and the thickness of the detonation wave monotonically decreases. When the initial equivalence ratio of the initial particles is in a lower range (0.337–0.382), the melting of MgO occurs near the CJ plane. As a result, the melting process of MgO has no significant effect on the stability of the detonation wave propagation, but has a greater influence on the structure of the detonation wave: when the initial equivalence ratio is lower in the above range, MgO in the detonation wave is partially melted and then re-solidified. When the initial equivalence ratio is higher in the above range, the MgO at the CJ plane is still in the melting process, and there is a low-strength secondary compression process in the detonation wave. Considering the fact that the combustion products are deposited on the particle surface, the detonation wave velocity increases while the corresponding thickness of the detonation wave remains almost unchanged with the increase of the deposition rate. The parameters of the ignition region have no influence on the final stable propagation state of the detonation wave, but will affect the development process of the detonation wave. Selecting appropriate paraneters of ignition zone can shorten the distance of denotation wave reaching to the steady propagation.