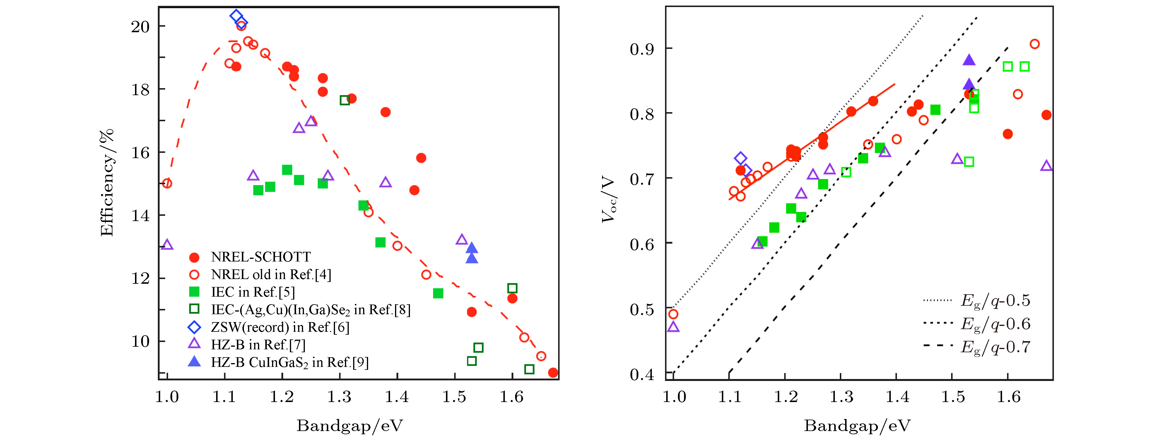
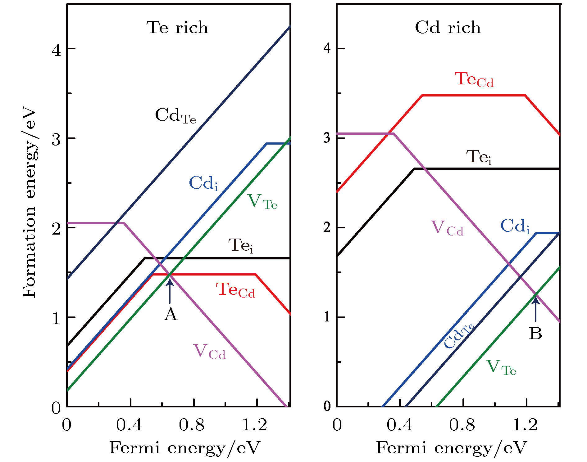
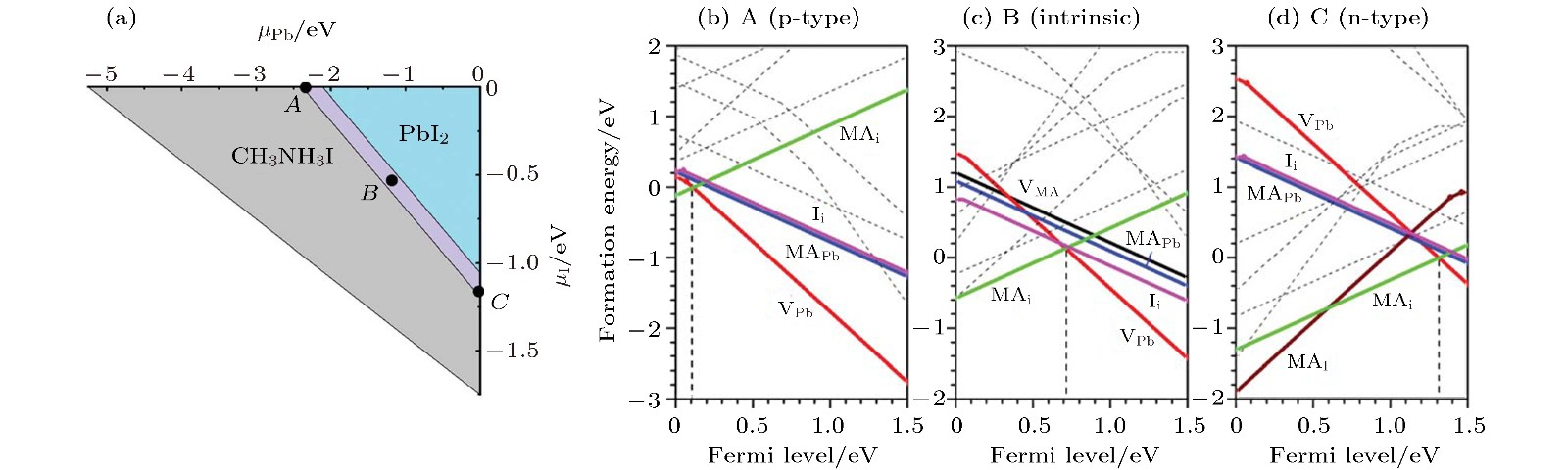
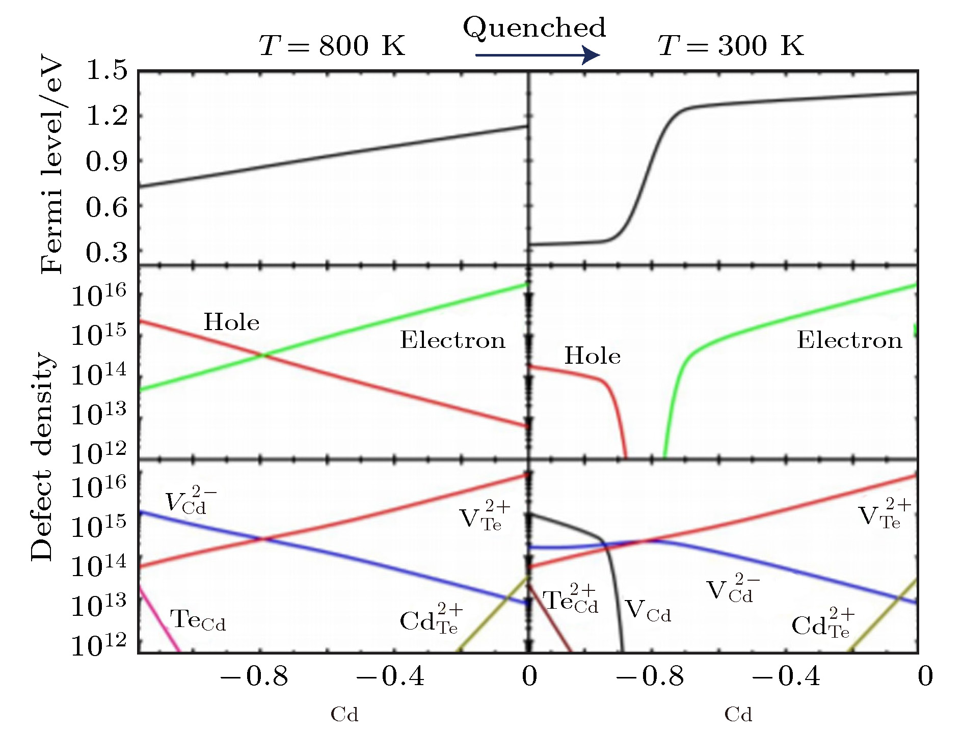
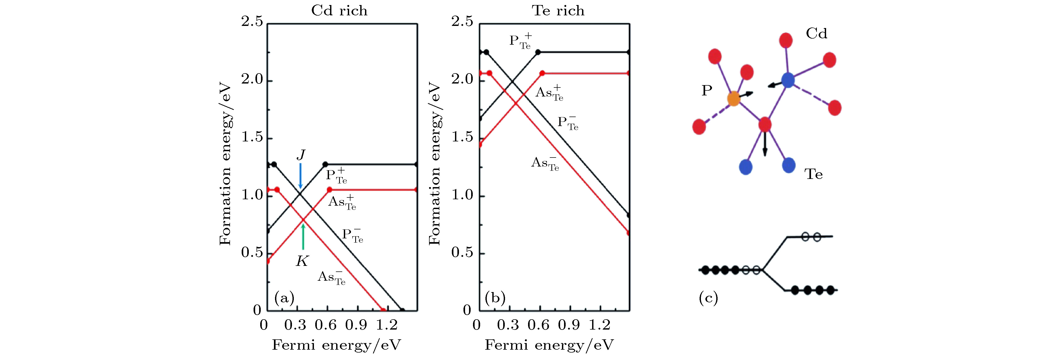
Defect control of semiconductors is critical to the photoelectric conversion efficiency of solar cells, because the defect and doping directly determine the carrier distribution, concentration, charge transfer and non-radiative recombination of photogenerated carriers. The defect types, structures and properties are complicated in the real semiconductors, which makes experimental characterization difficult, especially for the point defects. In this review, we firstly introduce the approaches of defect calculation based on the first-principles calculations, and take a series of typical solar cell materials for example, including CdTe, Cu(In/Ga)Se
2, Cu
2ZnSnS(Se)
4and CH
3NH
3PbI
3. The elucidating of computations is also conducible to understanding and controlling the defect properties of solar cell materials in practical ways. The comparative study of these solar cell materials indicates that their efficiency bottlenecks are closely related to their defect properties. Unlike the traditional four-coordination semiconductor, the unique “defect tolerance” characteristic shown in the six-coordination perovskite materials enables the battery to have a high photoelectric conversion efficiency even when it is prepared not under harsh experimental conditions. Based on the first principles, the defect calculation plays an increasingly important role in understanding the material properties of solar cells and the bottleneck of device efficiency. At present, the calculation of defects based on the first principle mainly focuses on the formation energy and transition energy levels of defects. However, there is still a lack of researches on the dynamic behavior of carriers, especially on the non-radiative recombination of carriers, which directly affects the photoelectric conversion efficiency. Recently, with the improvement of computing power and the development of algorithms, it is possible to quantitatively calculate the electron-ion interaction, then quantitatively calculate the carriers captured by defect state. These methods have been used to study the defects of solar cells, especially perovskite solar cells. In this direction, how to combine these theoretical calculation results with experimental results to provide a more in-depth understanding of experimental results and further guide experiments in improving the efficiency of solar cells is worthy of further in-depth research.