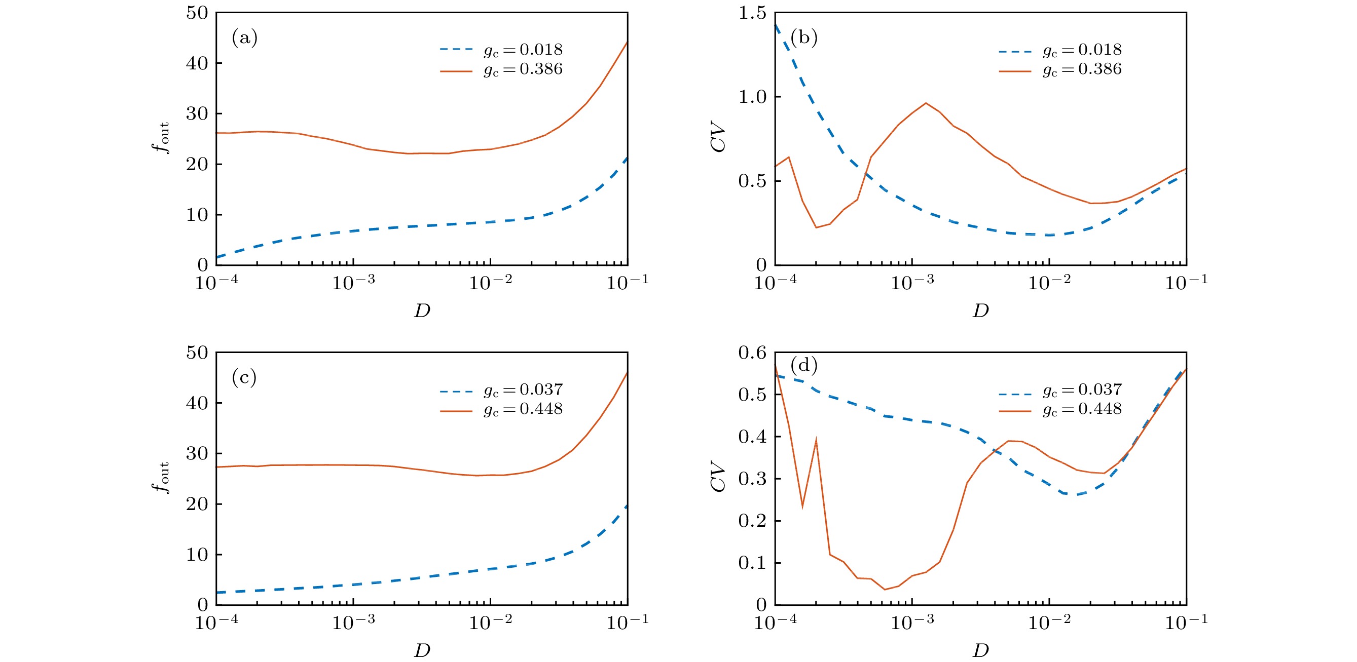
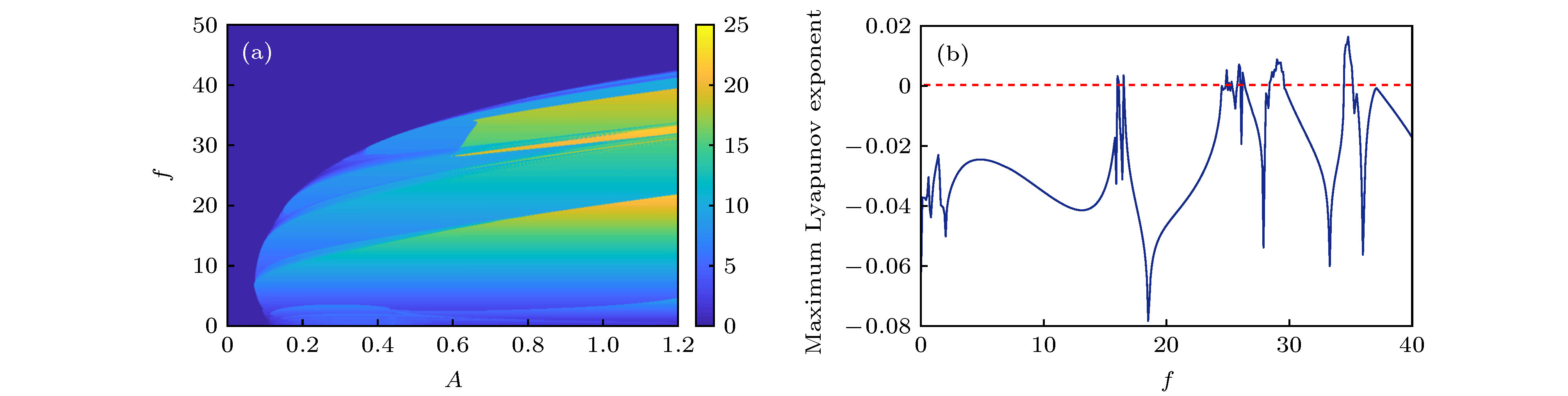
The autaptic structure of neurons has the function of self-feedback, which is easily disturbed due to the quantum characteristics of neurotransmitter release. This paper focuses on the effect of conductance disturbance of chemical autapse on the electrophysiological activities of FHN neuron. First, the frequency encoding of FHN neuron to periodic excitation signals exhibits a nonlinear change characteristic, and the FHN neuron without autapse has chaotic discharge behavior according to the maximum Lyapunov exponent and the sampled time series. Secondly, the chemical autaptic function can change the dynamics of FHN neuronal system, and appropriate autaptic parameters can cause the dynamic bifurcation, which corresponds to the transition between different periodic spiking modes. In particular, the self-feedback function of chemical autapse can induce a transition from a chaotic discharge state to a periodic spiking or a quasi-periodic bursting discharge state. Finally, based on the quantum characteristics of neurotransmitter release, the effect of random disturbance from autaptic conductance on the firing activities is quantitatively studied with the help of the discharge frequency and the coefficient of variation of inter-spike interval series. The numerical results show that the disturbance of autaptic conductance can change the activity of ion channels under the action of self-feedback, which not only improves the encoding efficiency of FHN neuron to external excitation signals, but also changes the regularity of neuronal firing activities and induces significant coherent or stochastic bi-resonance. The coherent or stochastic bi-resonance phenomenon is closely related to the dynamic bifurcation of FitzHugh-Nagumo(FHN) neuronal system, and its underlying mechanism is that the disturbance of autaptic conductance leads to the unstable dynamic behavior of neuronal system, and the corresponding neuronal firing activity may transit between the resting state, the single-cycle and the multicycle spike states, thereby providing the occurring possibility for coherent or stochastic bi-resonance. This study further reveals the self-regulatory effect of the autaptic structure on neuronal firing activities, and could provide theoretical guidance for physiological manipulation of autapses. In addition, according to the pronounced self-feedback function of autaptic structure, a recurrent spiking neural network with local self-feedback can be constructed to improve the performance of machine learning by applying a synaptic plasticity rule.