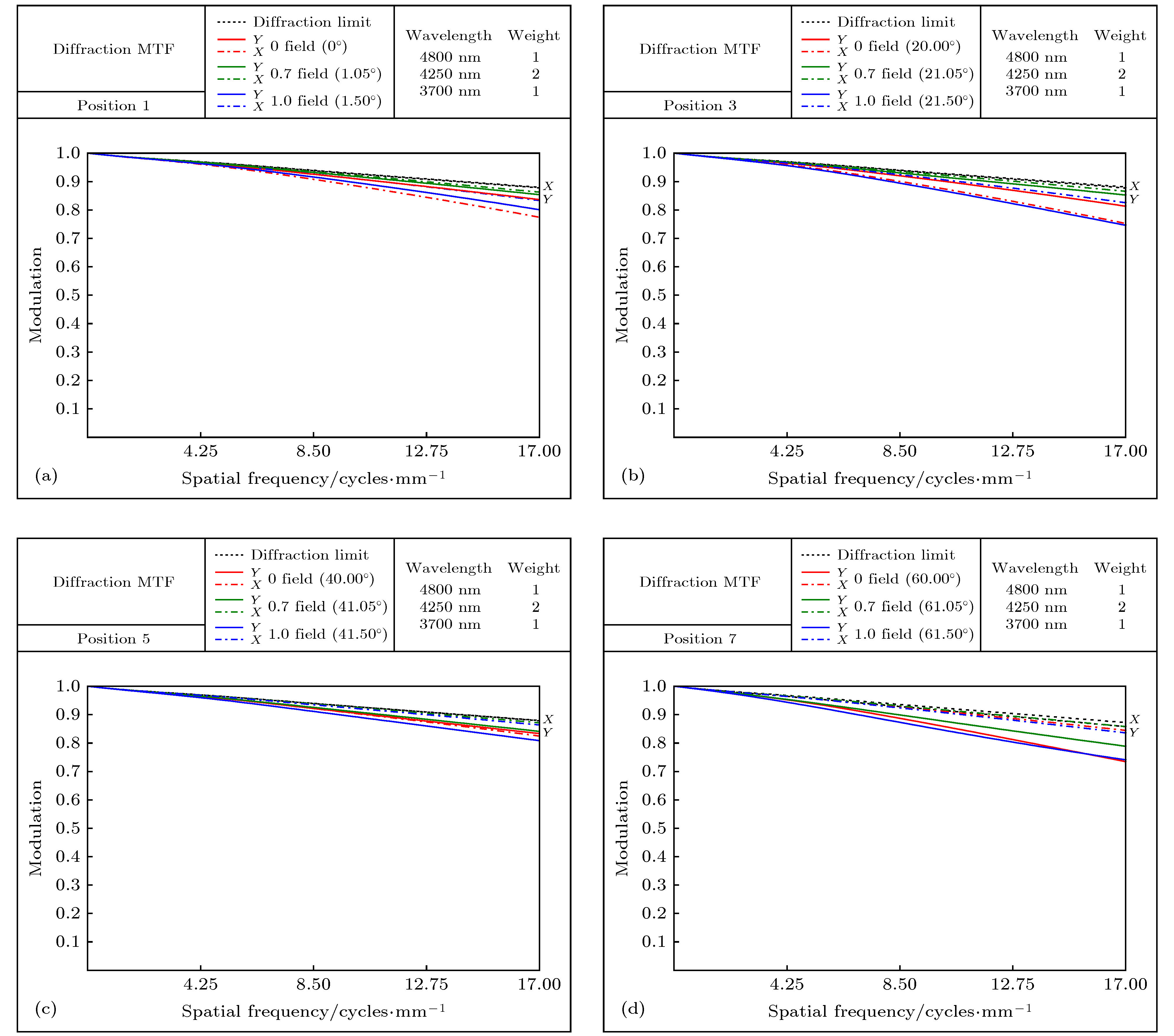
The traditional window of high-speed aircraft is hemispherical, and the aberration produced by such a window is constant. However, the hemispherical window is difficult to meet the requirements of a high speed flight of aircraft. Aspheric windows are usually used to replace hemispherical windows to increase the aerodynamic performance. However, the aspheric window will introduce dynamic aberrations that fluctuate with the change of scanning field-of-view (FOV), which becomes the key issue of the development of optoelectronic imaging systems for high-speed aircraft. For the ellipsoidal window optical system with scanning FOV of ±60°, an aberration correction method in large FOV combined with the static correction and non-wavefront-sensor adaptive optical correction is studied. In the initial optical structure design, the types of system aberration are reduced and the fifth-order Zernike aberration is eliminated during initial aberration correction, thus, the number of the subsequent adaptive optimization control variables is reduced. According to the characteristics of the deformable mirror, the driving voltage of the driver is generally taken as a variable of the genetic algorithm. However, when the deformable mirror used has many units, too many variables will directly lead the optimization speed of the algorithm to greatly decrease. So, according to the aberration characteristics of the ellipsoidal optical window, using the conversion matrix between the Zernike polynomial coefficients and the voltages of the deformable mirror driver, the optimization variable is reduced from 140 driver voltages to 2−9 Zernike stripe polynomial coefficients in number. Finally, the genetic algorithm based on Zernike model is used to control the shape of the deformable mirror and correct the residual aberration. Taking 2−9 Zernike mode coefficients, 2−16 Zernike mode coefficients and 140 driver voltages as the variables of genetic algorithm respectively, the optimization generations of genetic algorithm under different variables are obtained. The simulation results show that the optimization speed of each typical scanning field of view is increased more than 95% by changing the variable from 140 driver voltages to 2−9 Zernike mode coefficients, and the imaging quality is close to the diffraction limit. This optimization method can not only correct the aberrations caused by the special-shaped optical window, but also compensate for the error caused by processing and aligning the optical system.